深圳中学港澳班
深圳实验学校(高中部)
深圳实验学校光明高中部
深圳实验学校明理高中
深圳实验学校崇文高中
深圳实验学校卓越高中
深圳外国语学校
深圳外国语学校龙华高中部
深圳外国语学校致远高中
深圳外国语学校弘知高中
深圳外国语学校博雅高中
深圳市高级中学中心校区
深圳市高级中学东校区
深圳市高级中学创新高中
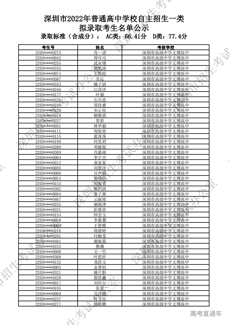
深圳市高级中学文博高中
深圳市高级中学理慧高中
深圳市第二高级中学
深圳市第二高级中学深汕实验学校
深圳市第三高级中学(出国留学班)
深圳大学附属中学
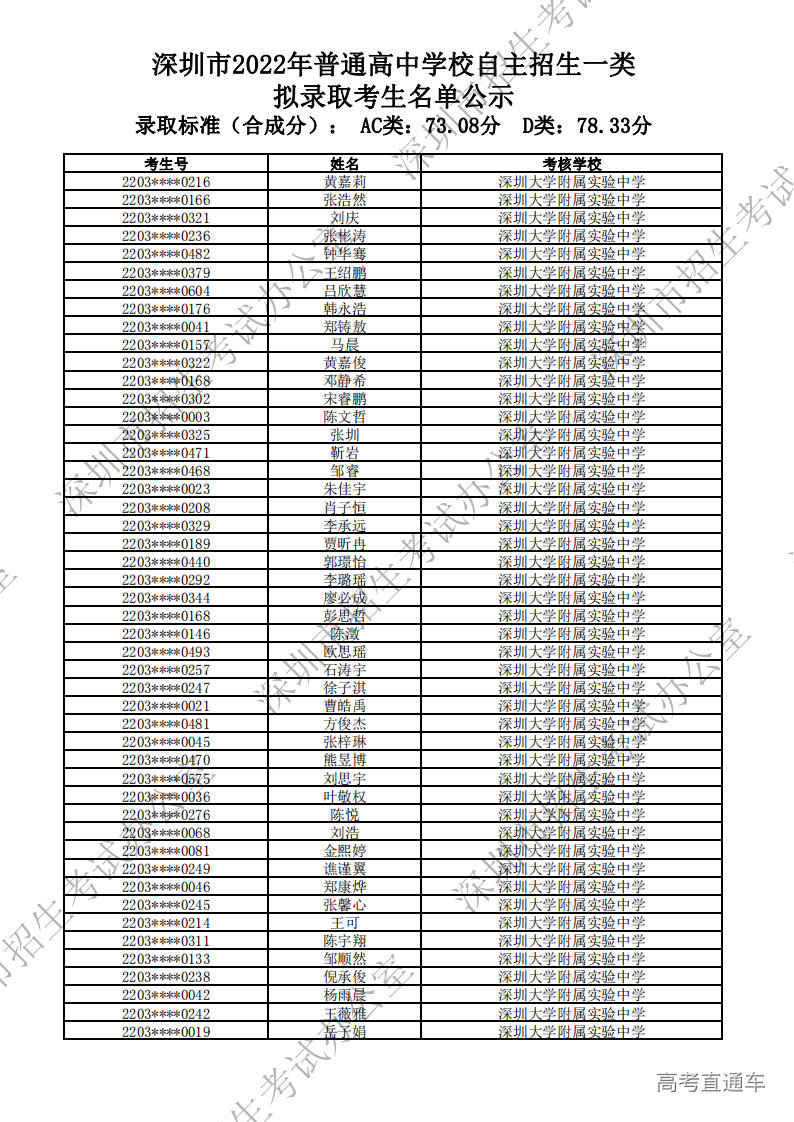
深圳大学附属实验中学
深圳市第二实验学校
深圳第二外国语学校小语种班
深圳第二外国语学校航空班
深圳科学高中
南方科技大学附属中学
深圳技术大学附属中学
广东实验中学深圳学校
东北师大附中深圳学校
红岭中学
福田区外国语高级中学
耀华实验学校(民办)
翠园中学
罗湖外语学校
育才中学
华侨城中学
深圳市南山外国语学校(集团)高级中学
北师大南山附属学校中学部
深圳市为明学校(民办)
深圳市盐田区梅沙双语学校(民办)
宝安中学(集团)高中部
新安中学(集团)高中部
深圳市桃源居中澳实验学校(民办)
龙城高级中学
华中师范大学龙岗附属中学
深圳市建文外国语学校(民办)
龙华高级中学
深圳市格致中学
深圳市汉开数理高中(民办)
光明区高级中学
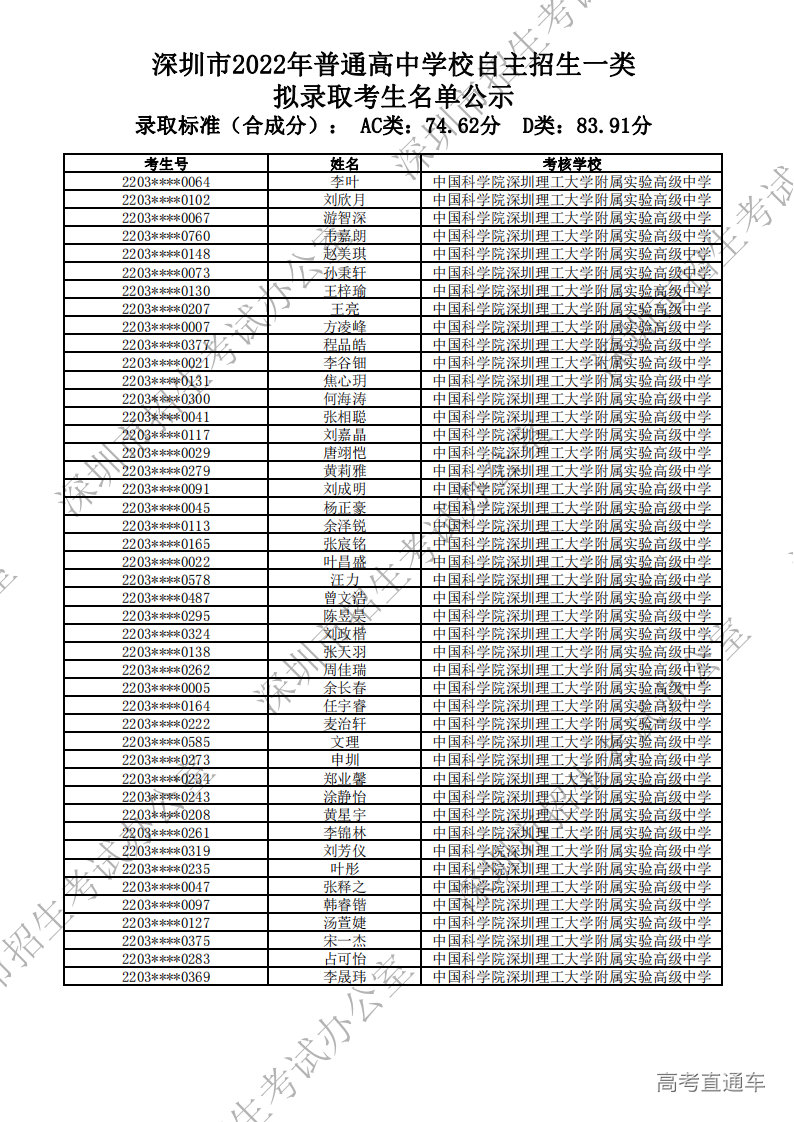
中国科学院深圳理工大学附属实验高级中学
深圳中招录取工作日程安排 7月19日至23日: 7月24日: 7月25日: 7月26日: 7月27日: 7月28日至8月1日: 以上日程如有变动,以录取期间公布的时间为准。 第三批次录取结束后,如有高中阶段学校招生计划未完成,将统一进行第二次划线录取。第二次划线录取志愿填报时间初步定于8月2日至3日,请考生密切关注市招考办最新通知公告。 特别提示: 民办普高划线录取考生须于8月1日(含)前到录取学校报到,逾期未报到视为放弃录取,并取消其当年录取资格。因考生放弃录取资格而未完成的招生计划,作为民办普高补录计划向社会公布。自动放弃录取资格的考生无法参加民办普高补录。





















































