各市(区)考试管理中心(教育考试中心、教育考试院、招生办):
现将《2023年上半年陕西省高等教育自学考试课程安排》印发你们,请遵照执行,并就有关事项说明如下:
一、2023年上半年陕西省高等教育自学考试时间为:4月15日至16日。共开考专业45个,停考过渡专业8个,其中专科层次21个,本科层次32个(专升本)。
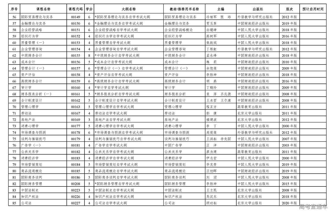
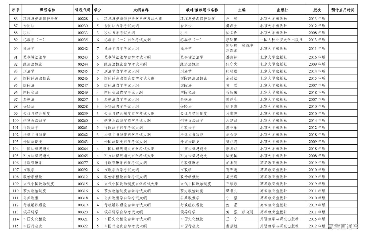
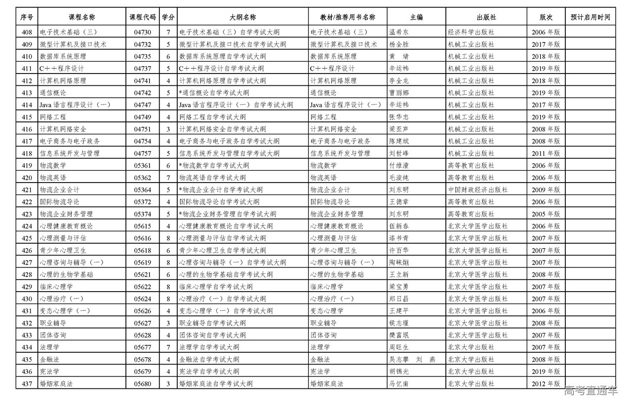
二、全国考办对部分课程大纲、教材进行了修订,并公布了2023年高等教育自学考试全国统考课程使用的考试大纲、教材目录(见附件1)。其中,大纲名称前加“*”的,表示大纲允许考试过程中携带不具存储功能的计算器。
三、省考课程教材详见2023年上半年高等教育自学考试省考课程使用的教材目录(见附件2)。
1.2023年高等教育自学考试全国统考课程使用的考试大纲、教材目录
2.2023年上半年高等教育自学考试省考课程使用的教材目录



























