2021年吉林省成人高校招生继续实行网上征集志愿,专科层次征集志愿有关情况通知如下:
1.本次征集志愿仅限于高起专层次。原报名时所填报的高起专层次志愿无效。未被录取的考生可以依据吉林省教育考试院网站公布的招生计划重新进行填报;
2.考生录取结果通过吉林省教育考试院网站查询,网址:http://www.jleea.com.cn/;
3.征集志愿在吉林省成人高考报名网站填报,登录网址:http://crgk.jleea.com.cn/;
4.登录用户名为考生的身份证号码,密码为考生报名时所设置的密码;
5.考生忘记密码,可以通过报名时所留的手机号码,找回密码,也可以持本人身份证,到报名时所选择的报名确认点重新设置;
6.征集志愿计划,在吉林省教育考试院网站公布,请考生及时查询;
7.征集志愿设一个院校志愿;
8.对于征集志愿生源不足,且符合教育部文件规定的降分政策的院校,可适当降分投档。具体降分院校专业的降分后录取最低控制线在征集志愿计划中有注明,未注明的专业原录取规则不变;
9.降分投档只适用于征集志愿,不适用原报名时所报志愿;
10.本次征集志愿截止时间:2021年12月22日15:00。从即日起,考生可登录网站填报征集志愿;
11.请填报征集志愿的考生做好时间安排,尽量不要在接近截止时间时填报,以免网络拥堵。
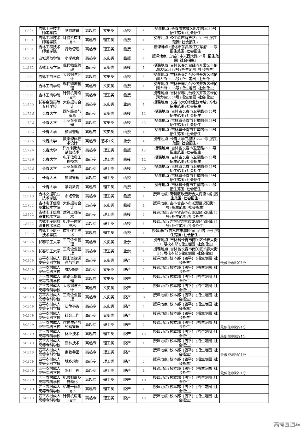
附件1:2021年成人高校招生“高起专”征集志愿计划.xls
吉林省教育考试院
2021年12月21日


