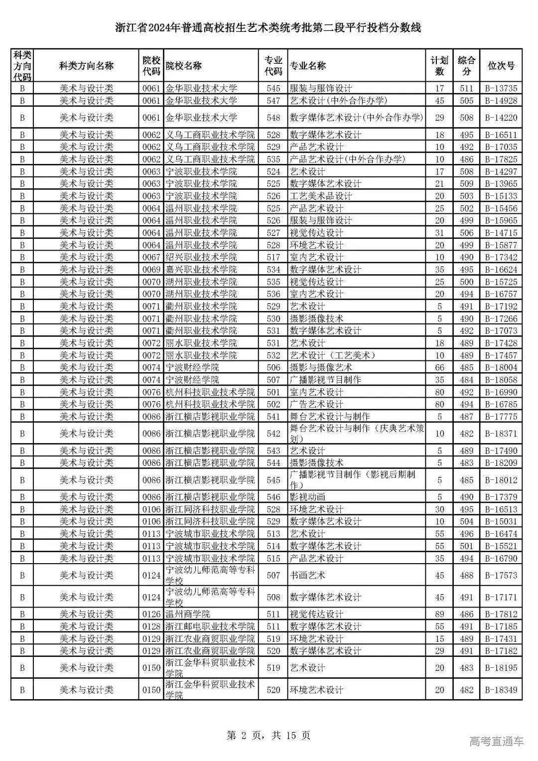
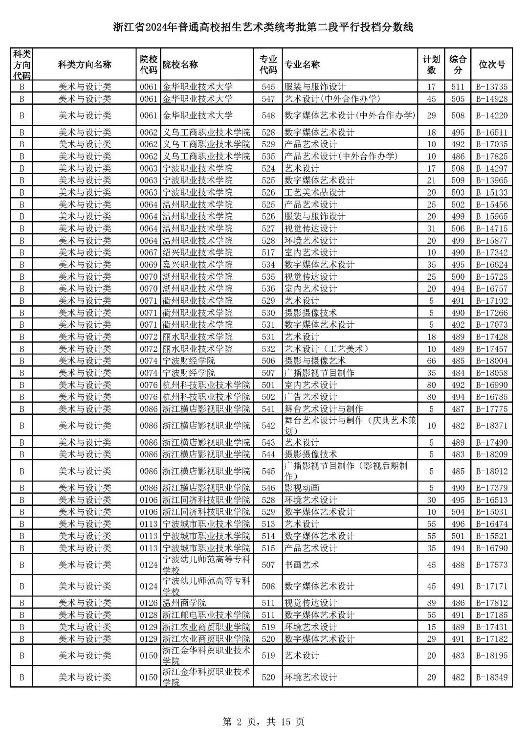
浙江2024年高考招生二段志愿填报已于昨日结束,根据我省录取进程,艺术类统考批第二段和体育类第二段平行志愿于今天下午投档,相关高校专业投档分数线随即出炉。考生可按照自己的志愿顺序,依次对照投档分数位次与自己的成绩位次,预判投档去向。预计7月30日晚可查询本次投档录取情况。
艺术类以考生高考总分及选考科目符合所填报志愿为前提,分科类按综合分成绩实行专业平行志愿投档,直接投到考生所填报的具体高校的具体专业。体育类以选考科目符合所填报志愿为前提,以综合分成绩为依据实行专业平行志愿投档。投档比例均为1:1。 综合分成绩相同情况下,综合分位次在前者优先投档,位次相同时志愿顺序在前者优先投档,位次和志愿顺序均相同则一并投档。考生若综合分上线但位次或志愿序号未达到,仍未成功投档到该高校专业。

















