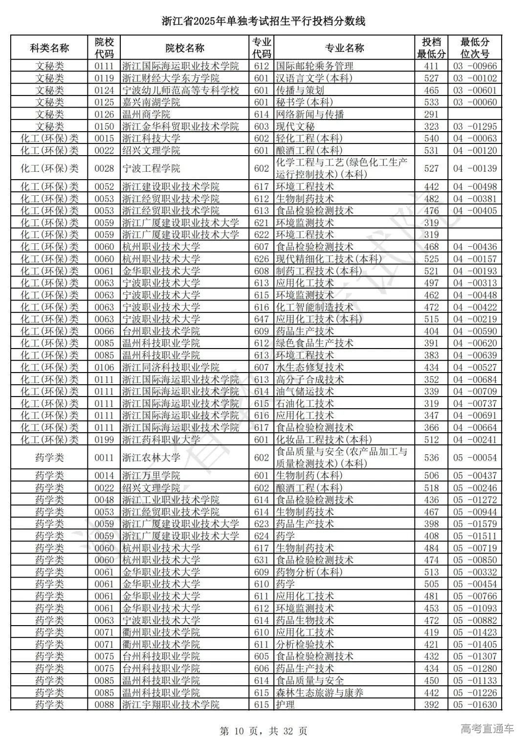
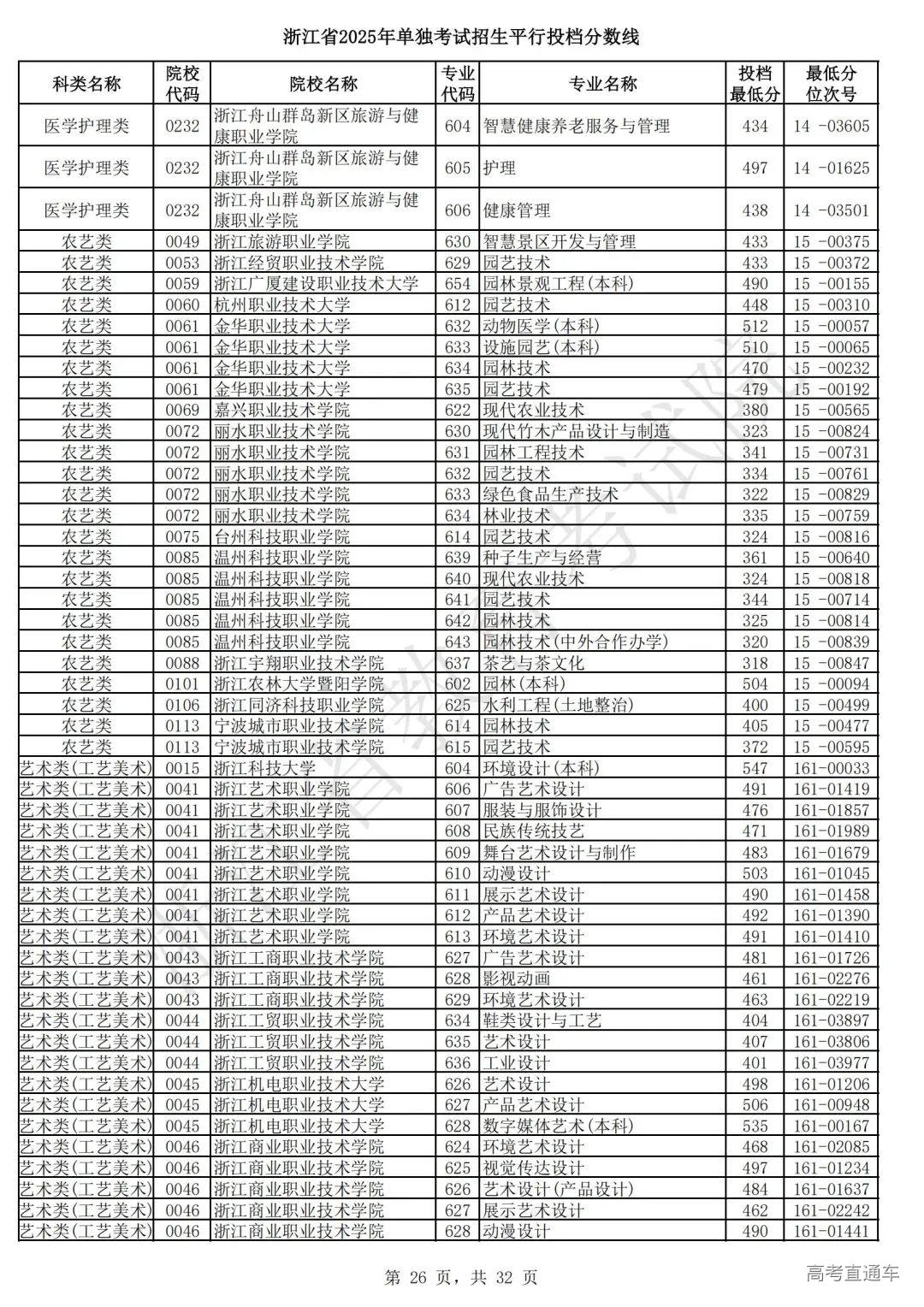
浙江省2025年单独考试招生平行志愿于今天上午投档,各类别专业投档分数线和位次号出炉。考生可对照自己所填报的志愿,预估目前可能投档的高校和专业。本次投档后,预计考生可于7月7日晚通过浙江省教育考试院网站(www.zjzs.net)或“浙江考试”微信公众号查询相关录取情况。
浙江省2025年单独考试招生
平行投档分数线
单独考试招生平行投档规则: 单独考试招生录取,按考生总成绩分类别实行专业平行投档。投档比例为1:1。考生总分相同时,则按文化总分高低投档,文化总分仍相同时再按单科顺序及分数高低依次投档。单科排列顺序为职业技能、语文、数学。同一学校总分、文化总分和单科成绩均相同时,再按志愿顺序投档。
































