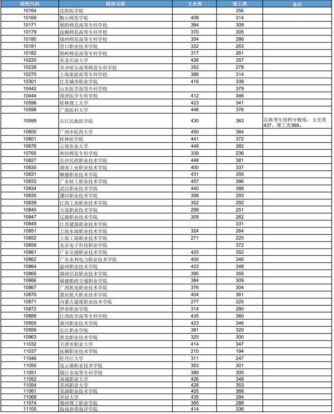
广西2023年普通高校招生高职高专普通批最低投档分数线

2023-08-13 14:36 广西招生考试院 评论

说明:

1.23397石家庄邮电职业技术学院(邮政班)需进行面试,按学校提供的合格名单进行投档。  

2.10599右江民族医学院对少数民族考生投档比例有要求,按少数民族考生数不低于65%的比例投档。

3.表中空白处表示无相应科类招生计划或无符合条件的出档考生。



图片

图片

图片

图片

图片

图片

图片

图片

图片

图片

图片

图片


登录高考直通车APP
查看完整试题答案
好的
查看完整试题
特别声明:
1. 本站注明稿件来源为其他媒体的文/图等稿件均为转载稿,本站转载出于非商业性的教育和科研之目的,并不意味着赞同其观点或证实其内容的真实性。如转载稿涉及版权等问题,请作者在两周内速来电或来函联系,本站根据实际情况会进行下架处理。
2. 任何媒体、网站或个人未经本网协议授权不得转载、链接、转贴或以其他方式复制发表,违者本站将依法追究责任。
举报理由选择
确定
高考直通车官网

哇哦!快加入高考直通车APP,发现更多精彩内容,与学霸一起交流学习吧!