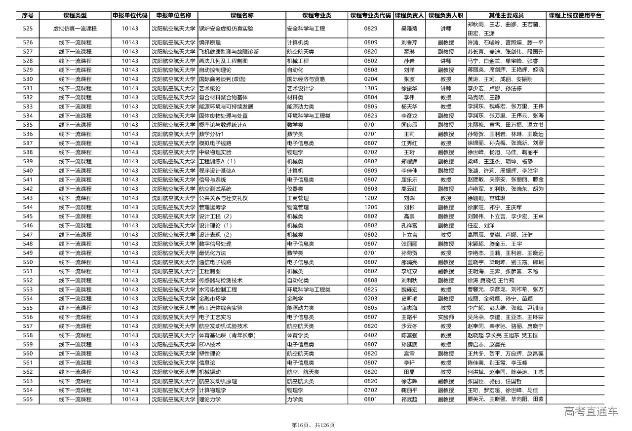
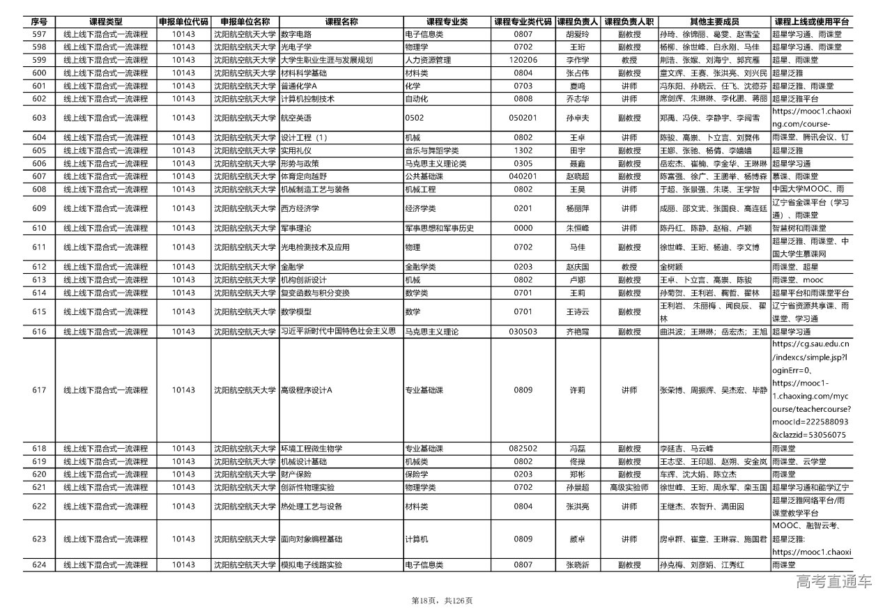
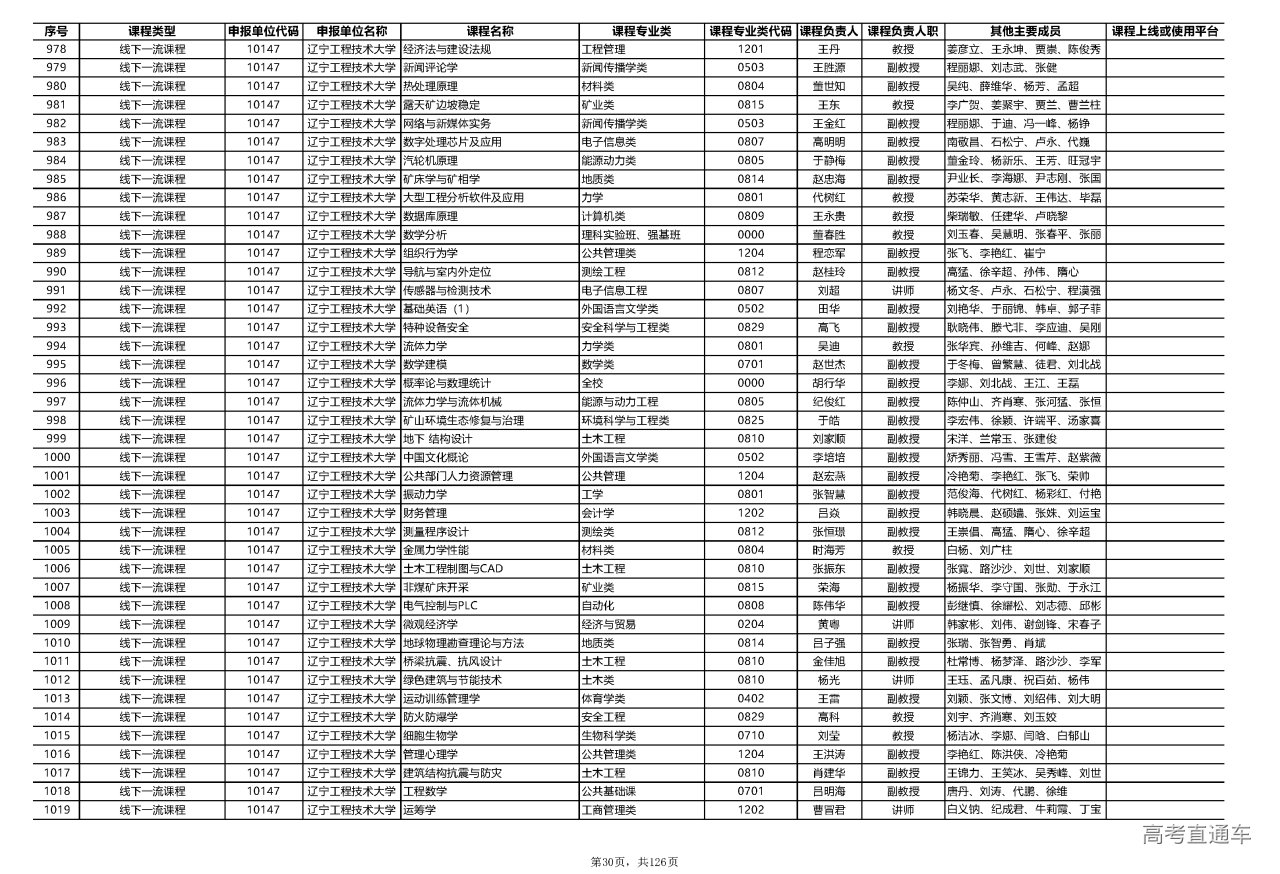
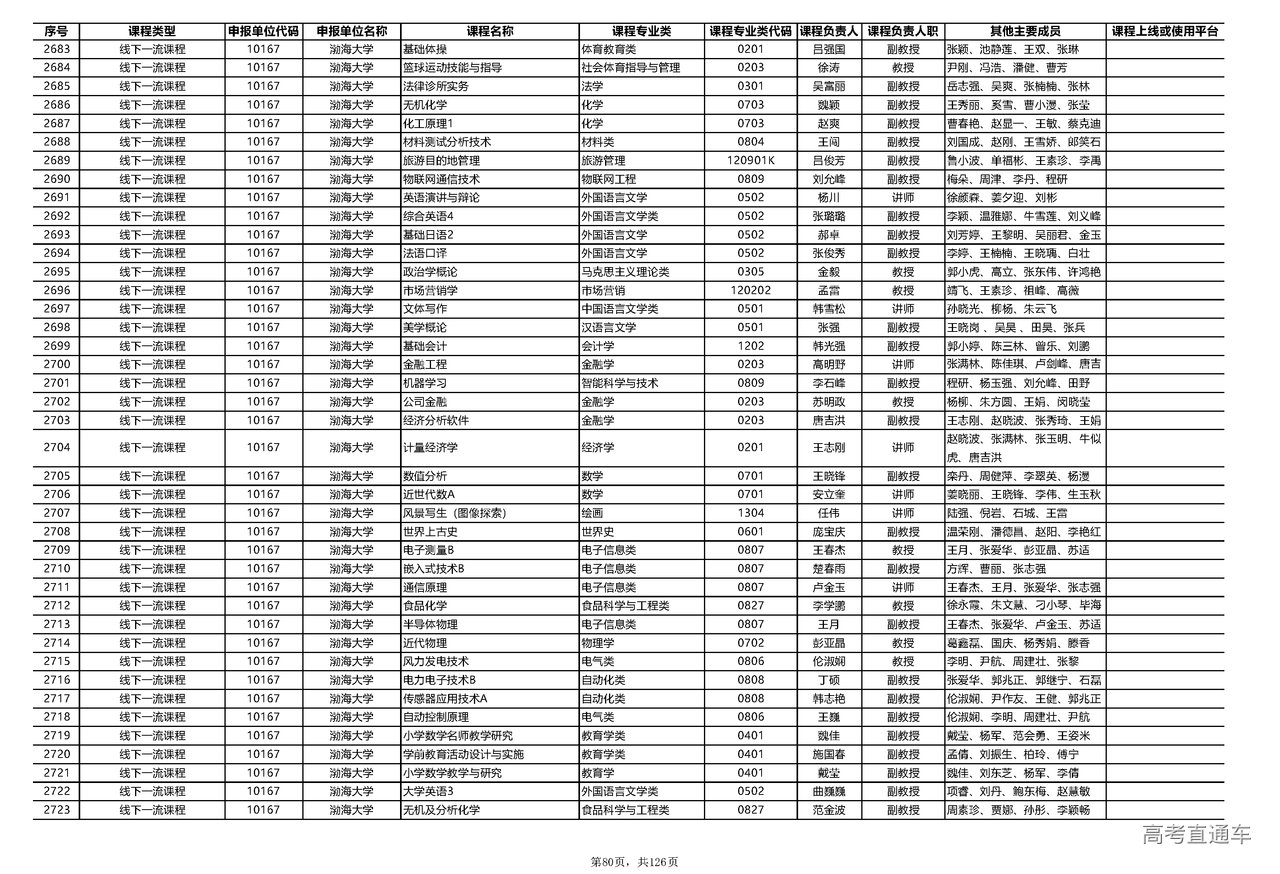
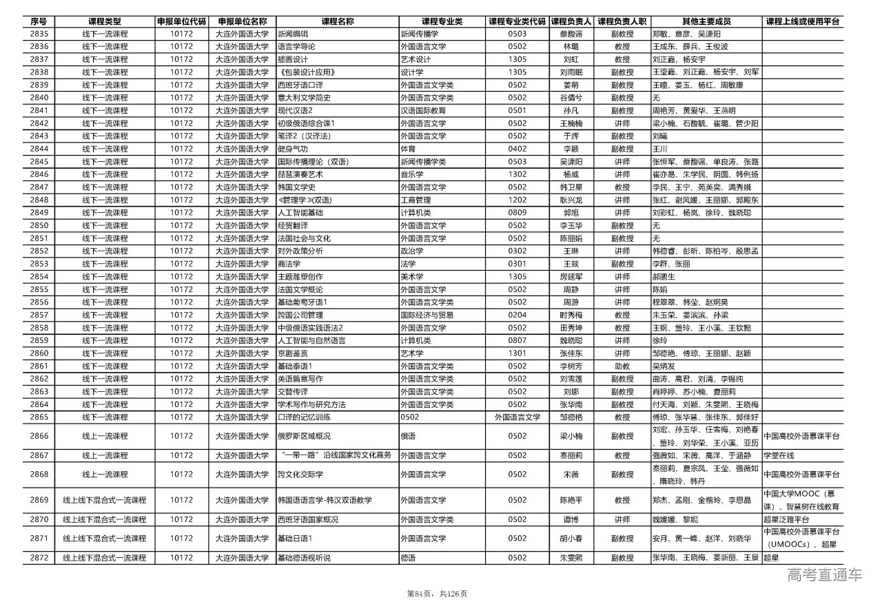
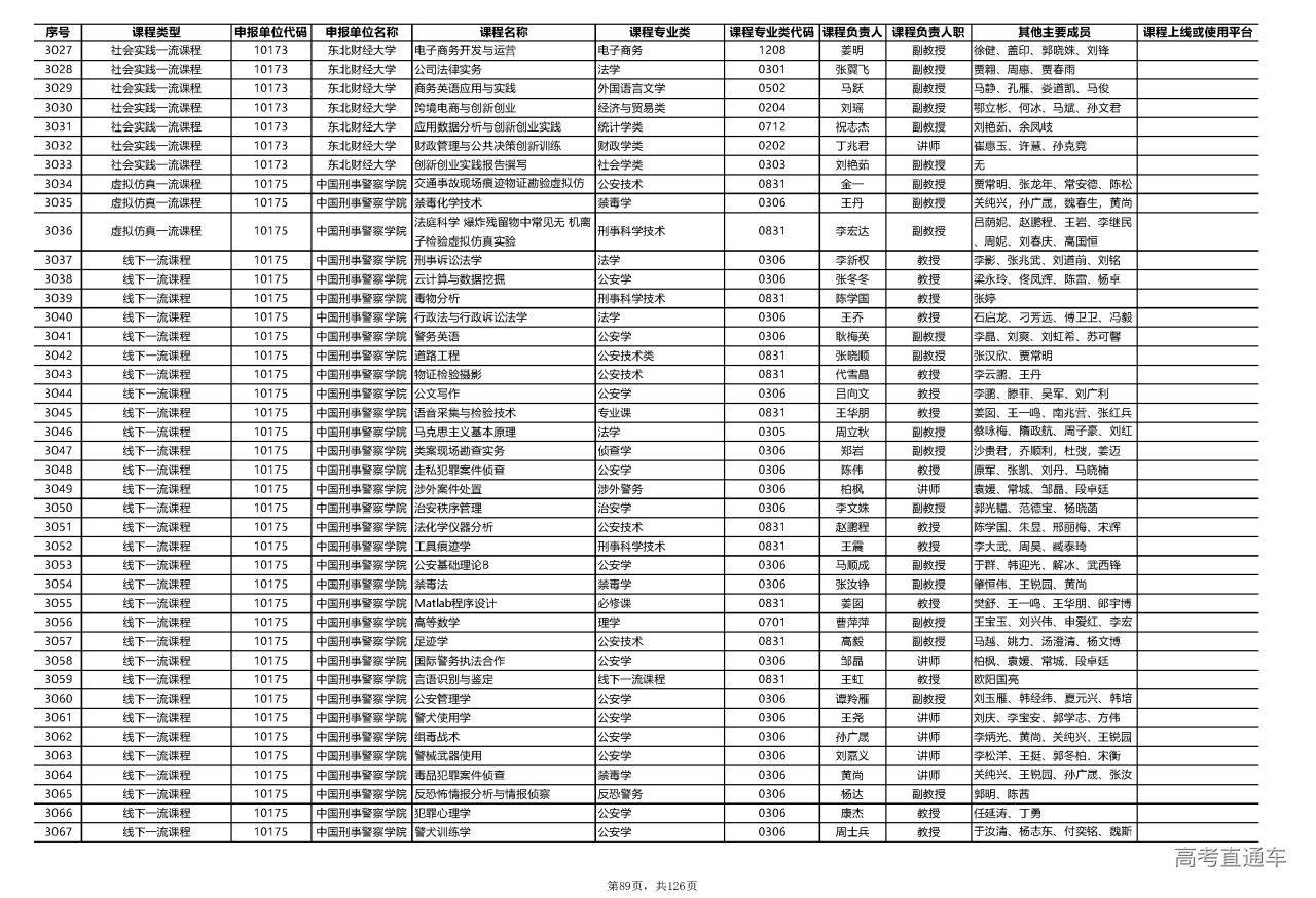
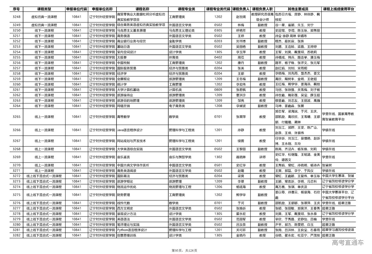
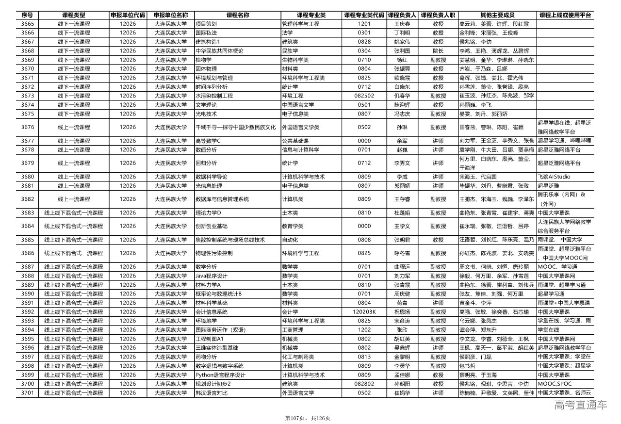
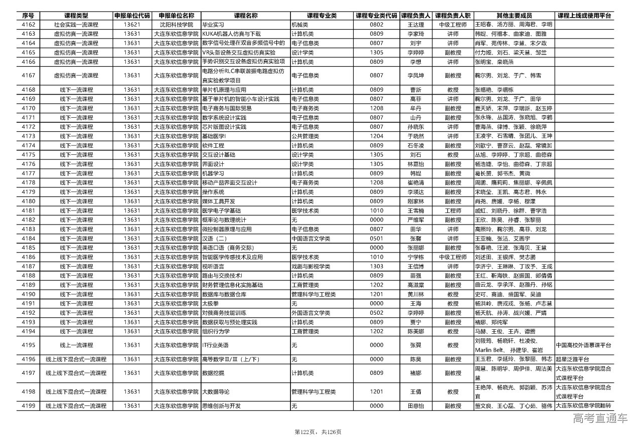
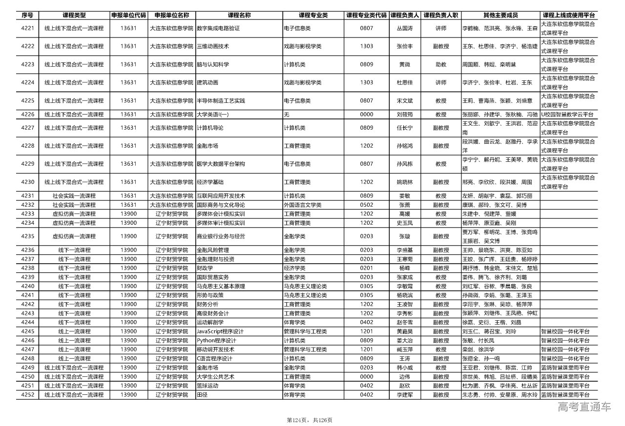
按照《辽宁省教育厅办公室关于开展2022年省级一流本科课程推荐工作的通知》(辽教办〔2022〕251号),省教育厅组织开展了省级一流本科课程推荐工作。学校共推荐各类课程4322门(具体名单见附件),现予以公示。公示时间为2022年11月4日-10日。
任何单位和个人可在公示期内对课程提出异议。如有异议,请以书面形式反映,并写明联系人姓名、地址、联系电话。单位提出异议的,须加盖本单位公章;个人提出异议的,须签署真实姓名。
联系人及电话:张越,024-86610566;联系地址:沈阳市皇姑区崇山东路46-1号辽宁省教育厅高等教育处,邮编:110032。
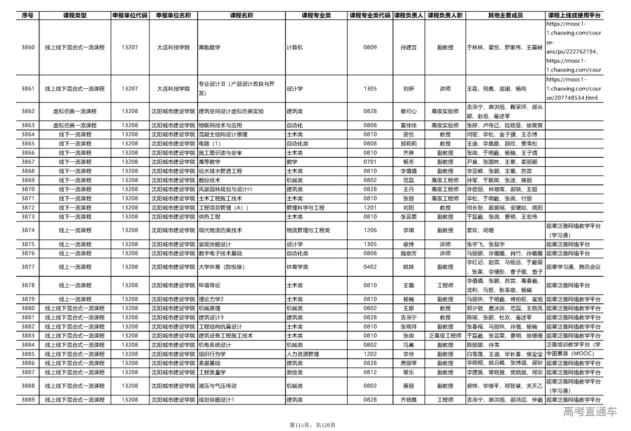
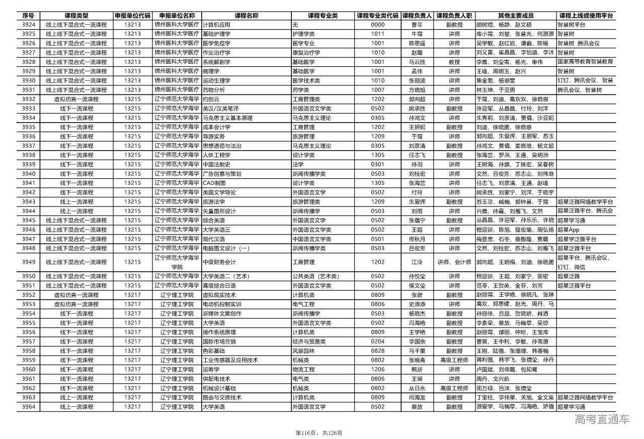
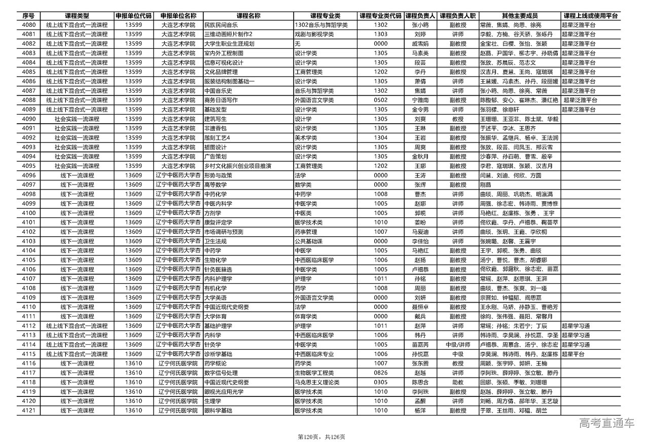
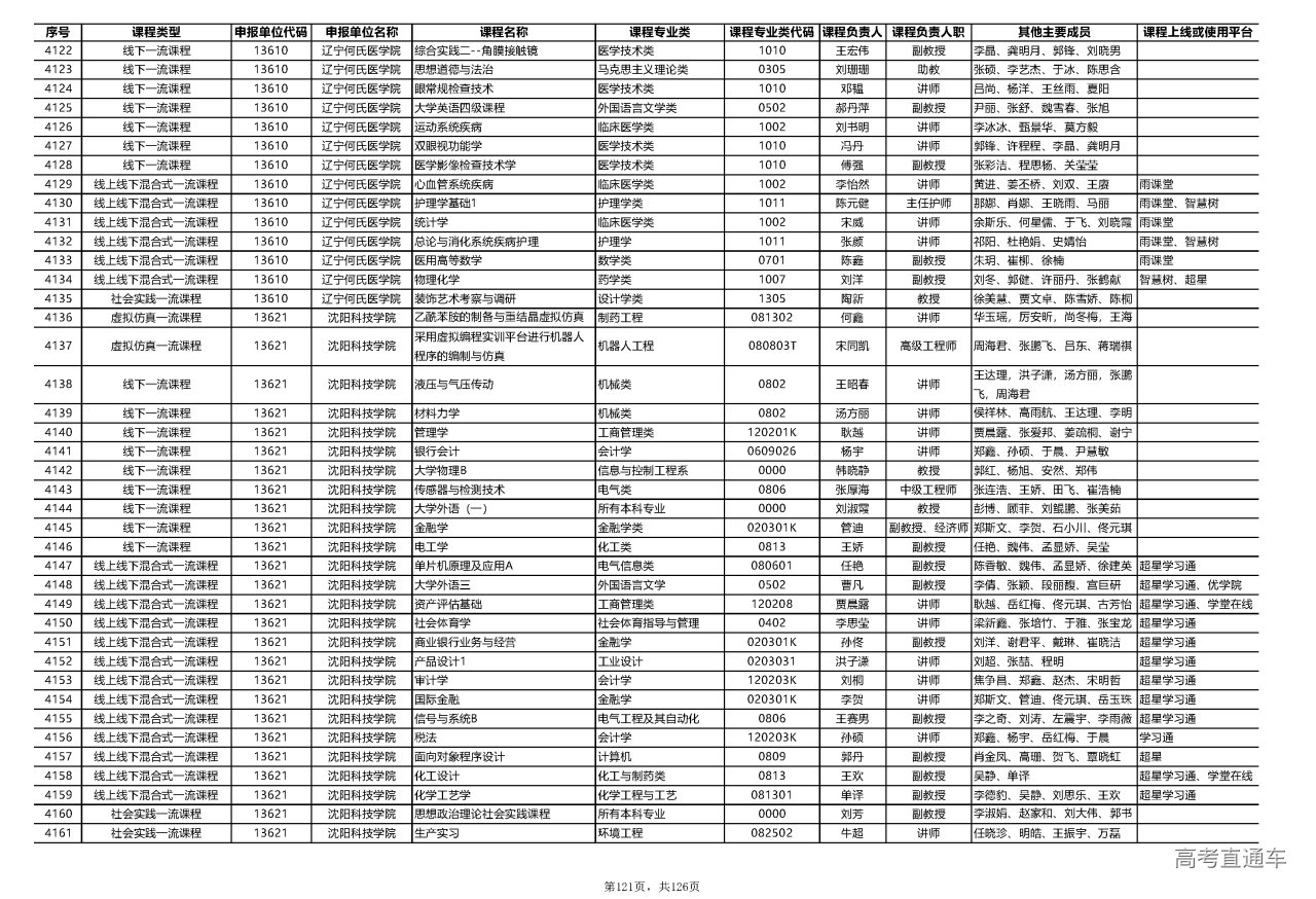
附件(可下载):拟认定2022年辽宁省一流本科课程公示名.pdf
辽宁省教育厅
2022年11月4日





























































































































