根据实际录取进度,2022年普通高校招生第七轮征集志愿工作定于8月11~12日进行。本轮征集志愿是2022年普通高等学校招生本科层次最后一次征集志愿,涉及文理科二本及预科批部分高校。
一、时间安排
考生填报、确认开始时间为8月11日14:00,考生填报、确认截止时间为8月12日12:00。
二、填报方式
实行网上填报、网上确认或现场确认。考生在规定时间内登录2022年云南省普通高等学校招生考生服务平台(https://gk.ynzs.cn,以下简称志愿填报系统)在“我的志愿”栏目内进行志愿填报,在填报截止时间前完成填报并提交,在确认截止时间前通过短信验证码进行网上确认或到高考报名确认点进行现场签字确认。完成确认的考生志愿方为有效志愿。
三、成绩要求
文科不低于465分,理科不低于390分。院校有分数要求的,按院校要求执行。
四、填报资格
自愿放弃录取、已投档、已录取的考生不参加本轮征集志愿。填报征集志愿的考生,应认真阅读招生院校招生章程,结合自身条件进行填报。
五、注意事项
(一)考生应在确认完成后,再次登录志愿填报系统查看并核对所填志愿。志愿确认后如需修改,需在填报、确认截止时间前由考生本人向报名确认点提出申请,经确认点取消确认,再由考生取消提交自行修改。修改完毕后须再次进行提交、确认。
(二)考生应妥善安排志愿填报时间,避免在填报、确认截止时间临近时进行志愿填报和确认。
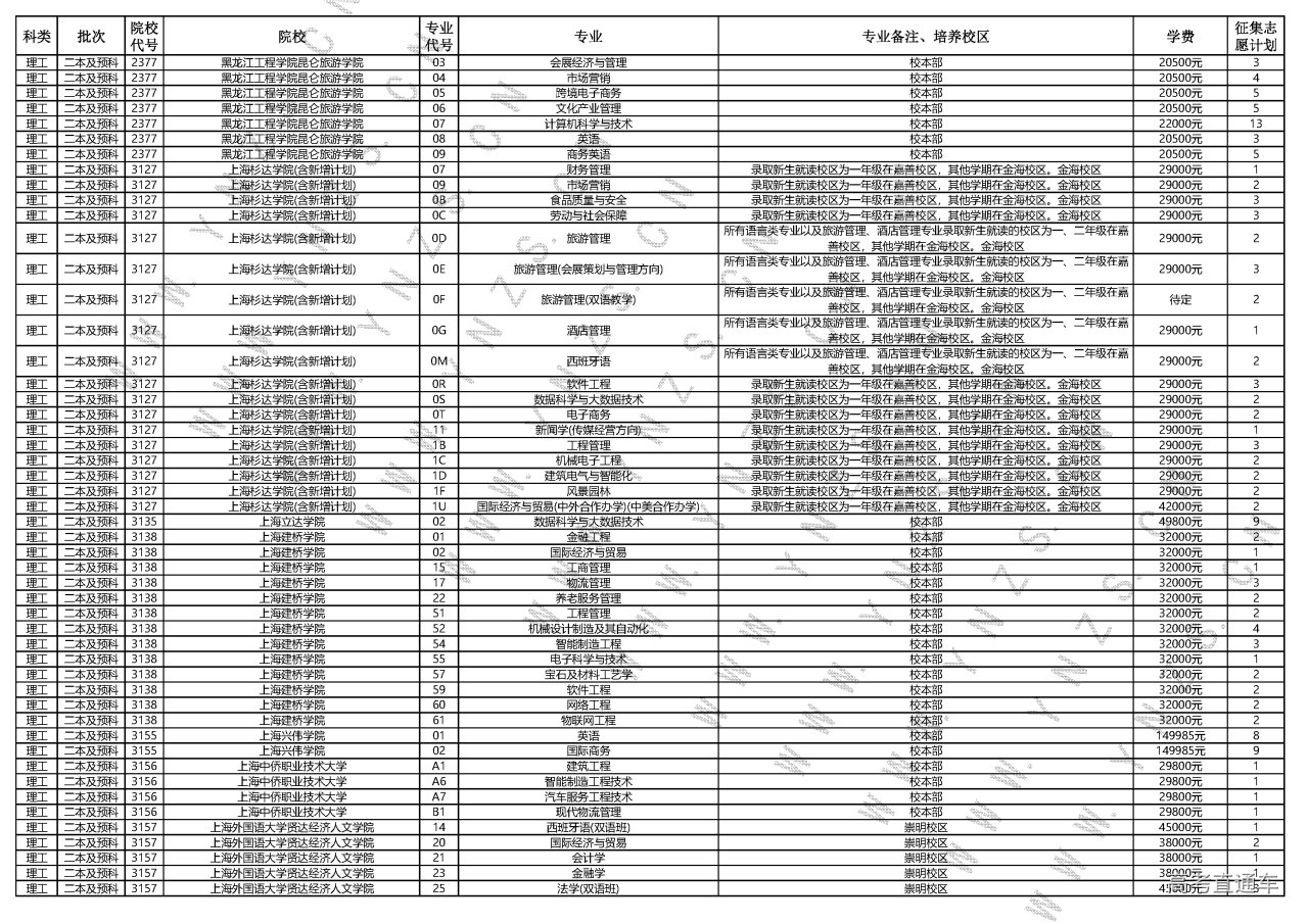
(三)征集志愿招生计划通过云南省招考频道发布。考生操作流程及其他注意事项参见云南省招考频道“2022年普通高校招生网上填报志愿考生须知”。
(四)确认点现场确认时间为:8月11日14:00—18:00,8月12日9:00—12:00。选择现场确认方式进行志愿确认的考生应严格遵守当地疫情防控要求,做好个人防护。









