2020山东8月13日提前批第2次志愿填报!(附:院校专业计划表)
2020-08-12 14:00
山东教育考试院
评论
刚刚,山东省教育招生考试院发布了《普通类、艺术类、体育类、春季高考提前批第2次志愿院校专业计划》。
考生们注意啦!
明天(8月13日)9:00-18:00
,填报普通类提前批、艺术类本科提前批和体育类提前批第2次志愿;填报春季高考技能拔尖人才第2次志愿。
2020年春季高考技能拔尖人才第2次志愿院校专业计划:
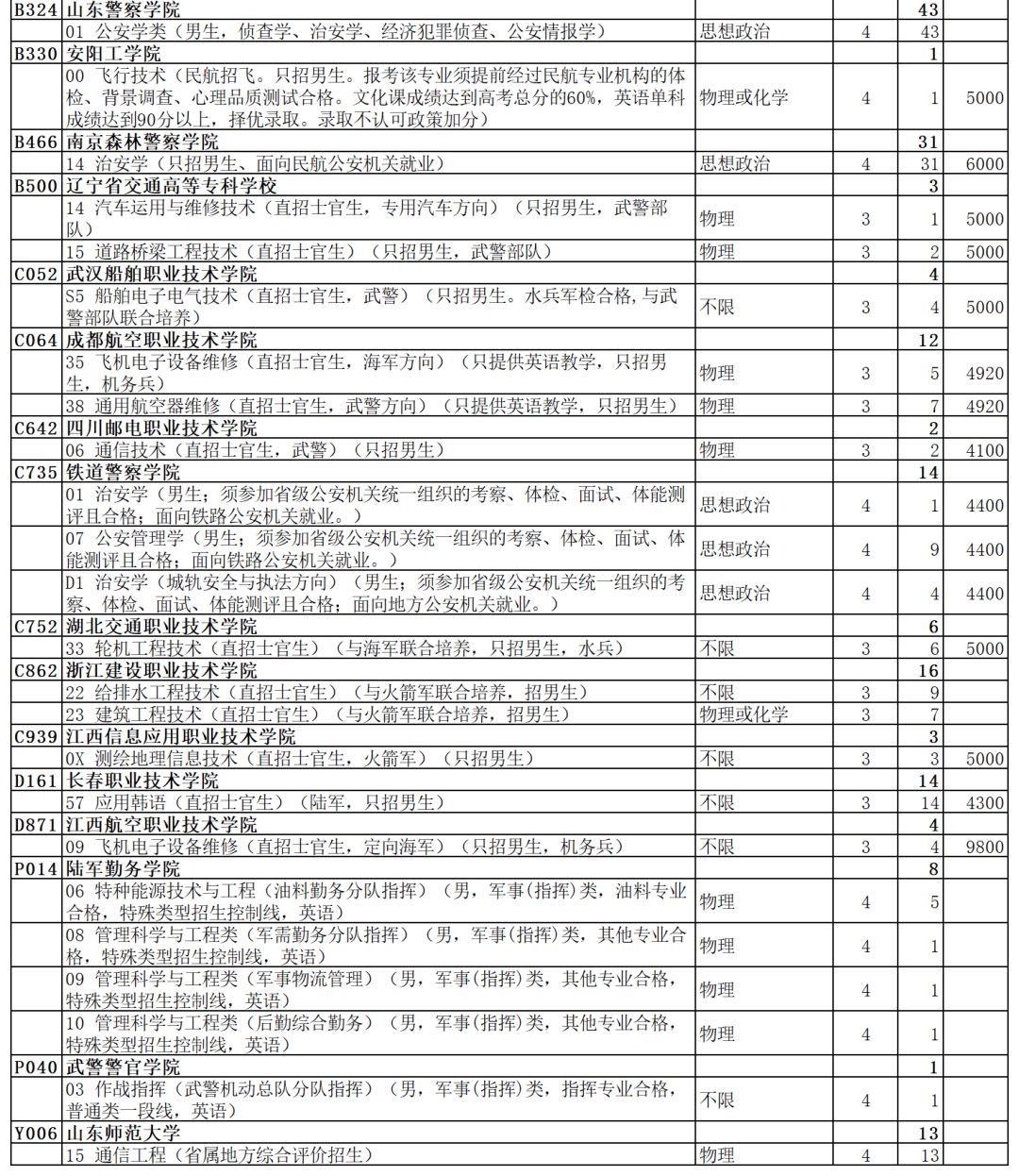
2020年普通类本科提前批第2次志愿院校专业计划:
2020年体育类本科提前批第2次志愿院校专业计划:
2020年艺术类本科提前批第2次志愿院校专业计划:
登录高考直通车APP
查看完整试题答案
好的
查看完整试题
登录查看完整试题答案
2
阅读数:4.5 k
特别声明:
1. 本站注明稿件来源为其他媒体的文/图等稿件均为转载稿,本站转载出于非商业性的教育和科研之目的,并不意味着赞同其观点或证实其内容的真实性。如转载稿涉及版权等问题,请作者在两周内速来电或来函联系,本站根据实际情况会进行下架处理。
2. 任何媒体、网站或个人未经本网协议授权不得转载、链接、转贴或以其他方式复制发表,违者本站将依法追究责任。
相关图文
评论区 (2)
最热
最新
努力加载中...
举报理由选择
涉及到广告的信息
黄赌毒/政治敏感等有害信息
辱骂等不友善行为
确定
高考直通车官网
哇哦!快加入高考直通车APP,发现更多精彩内容,与学霸一起交流学习吧!
复制下载链接