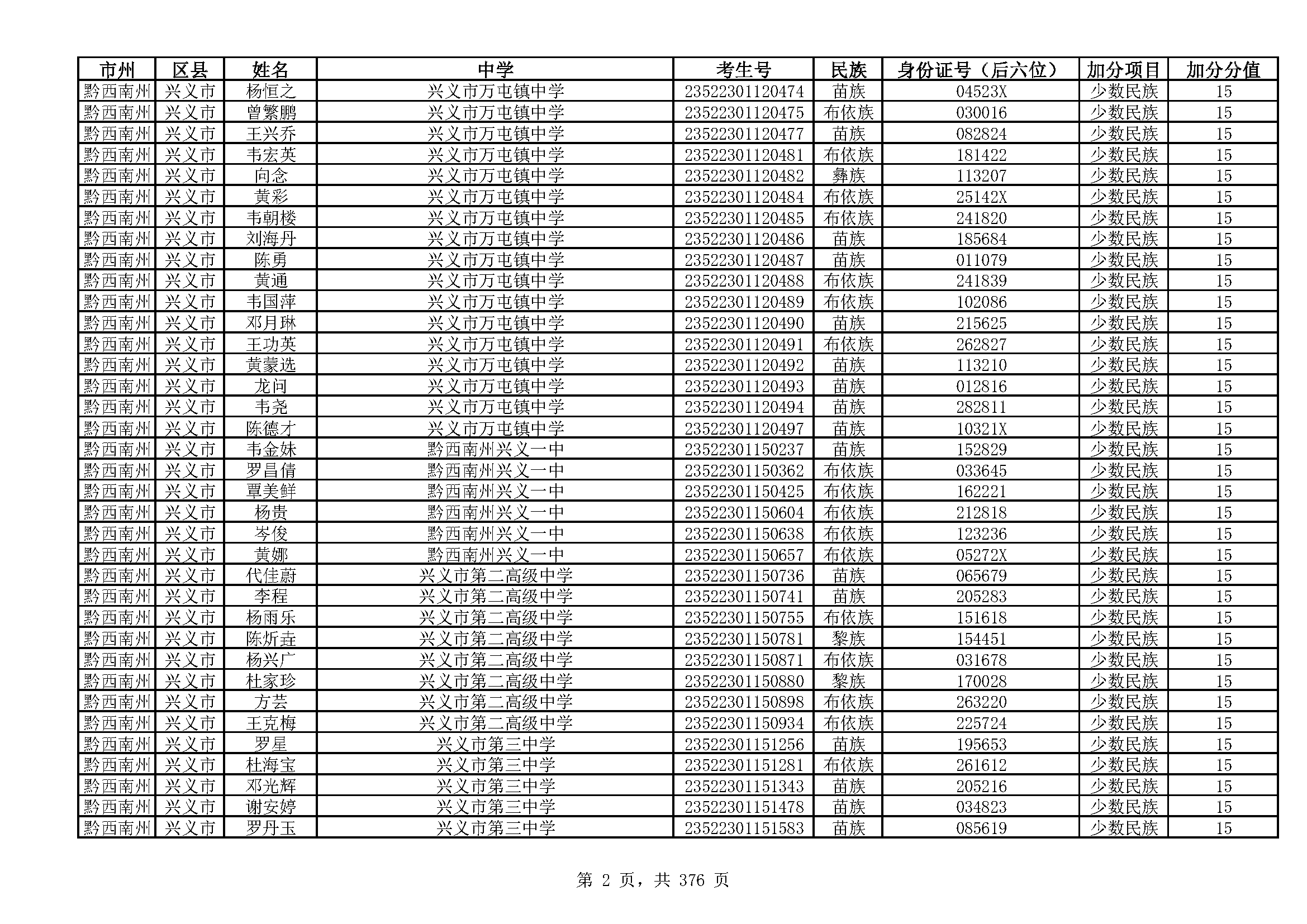
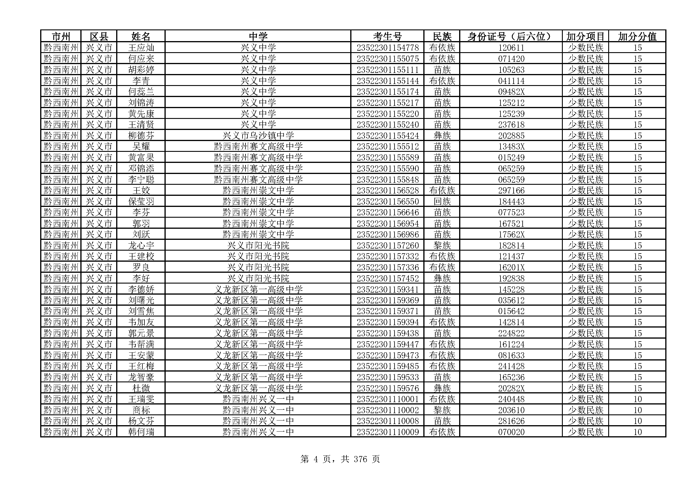
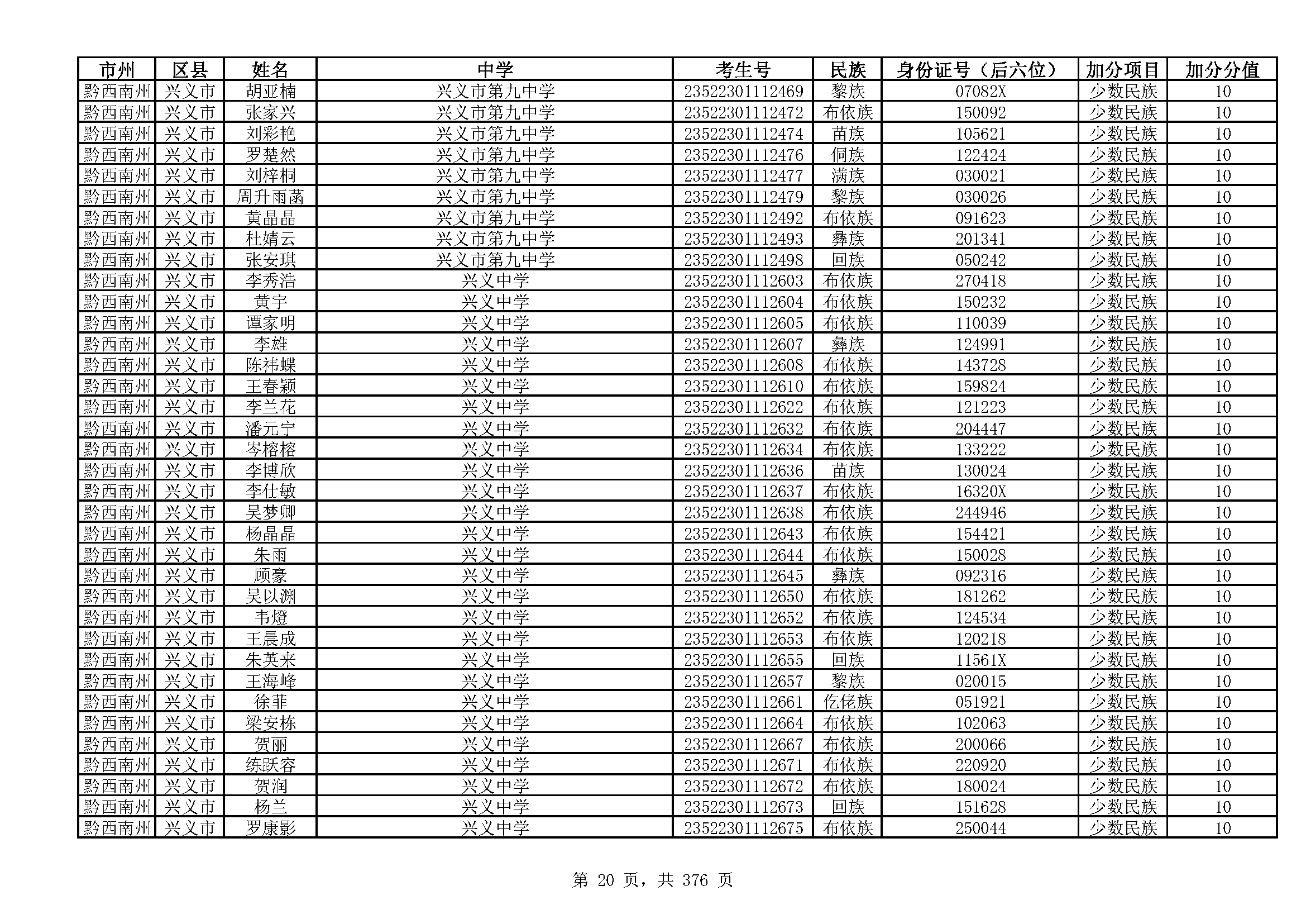
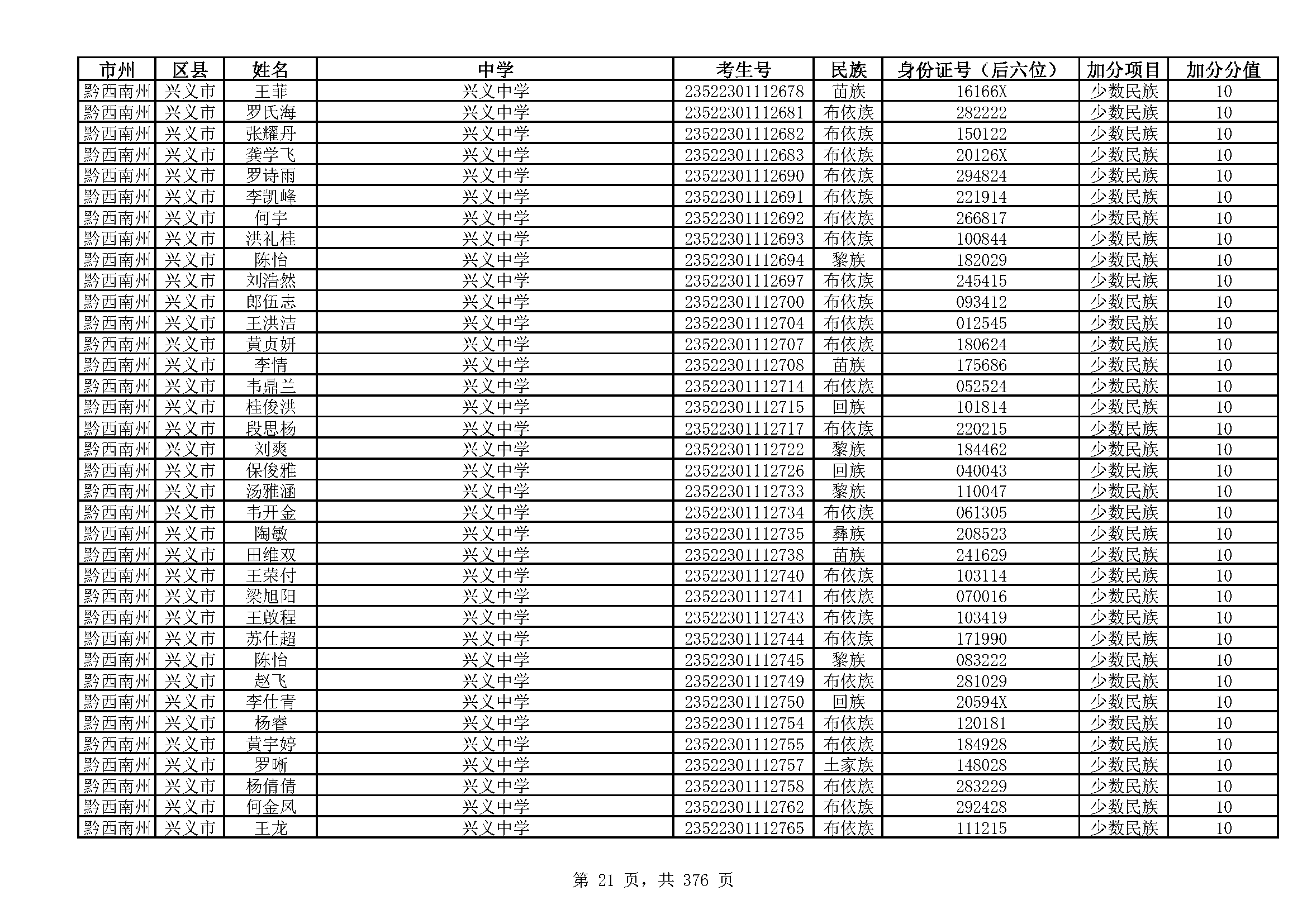
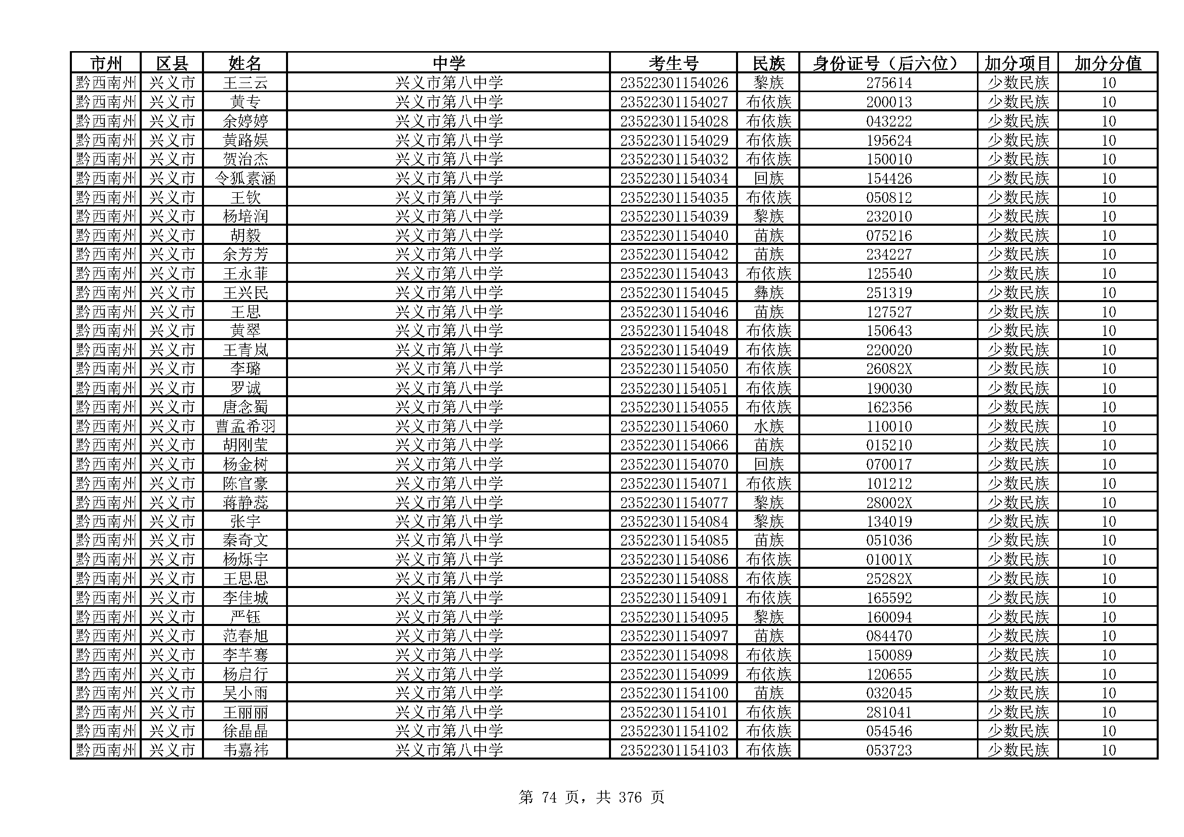
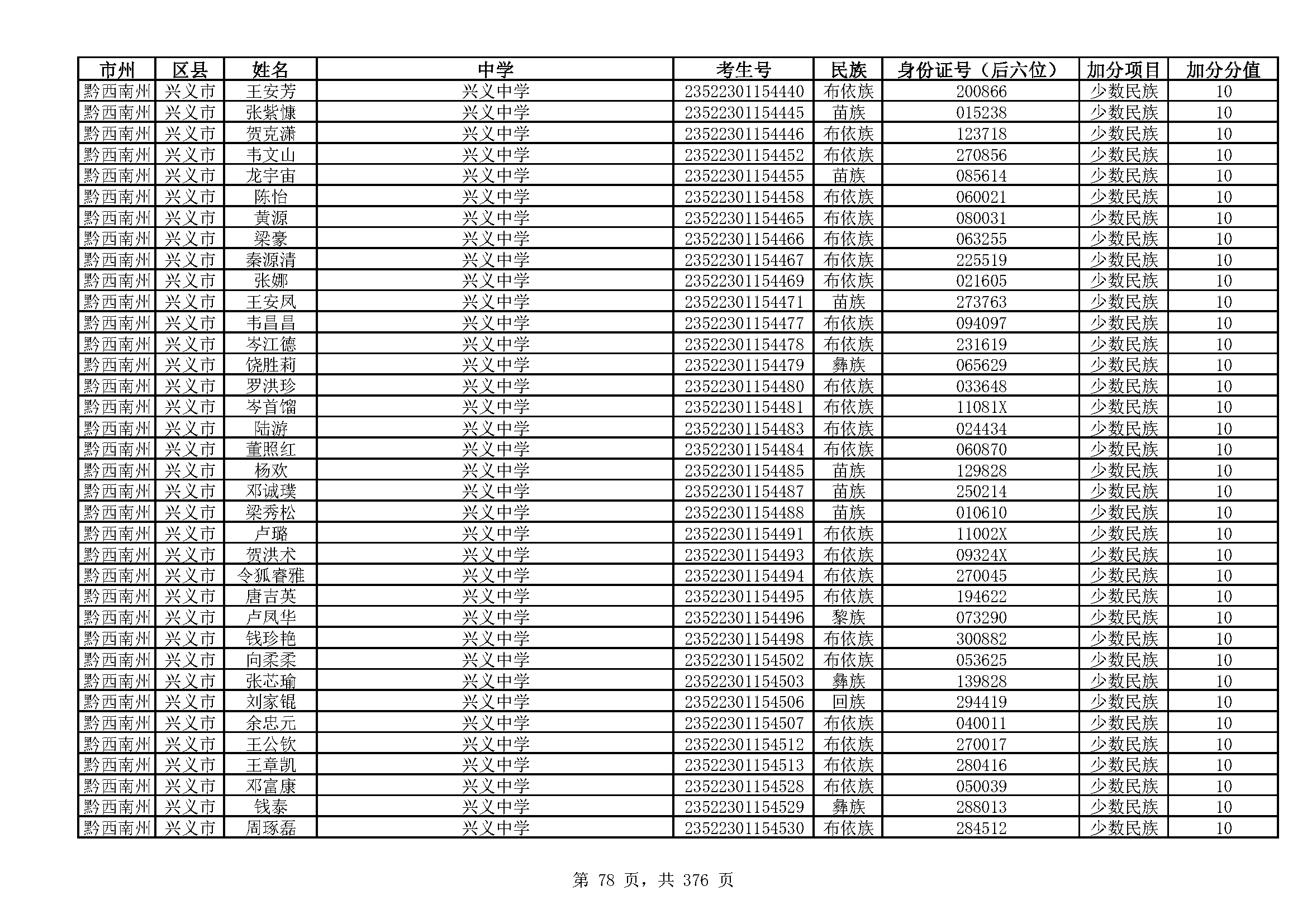
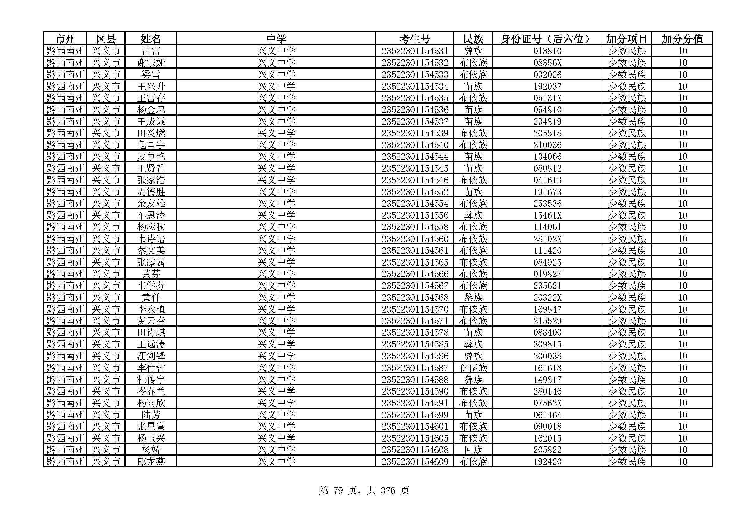
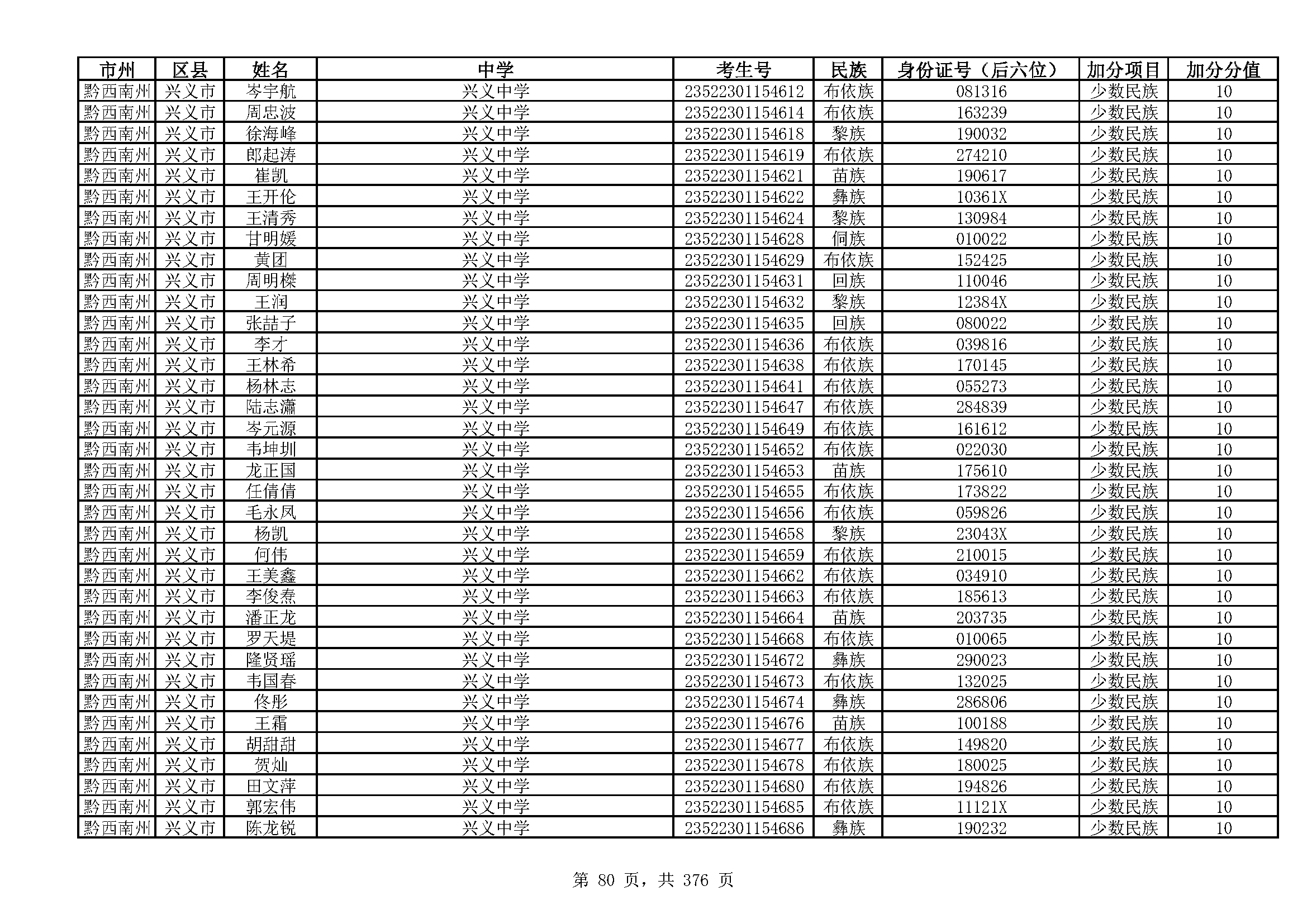
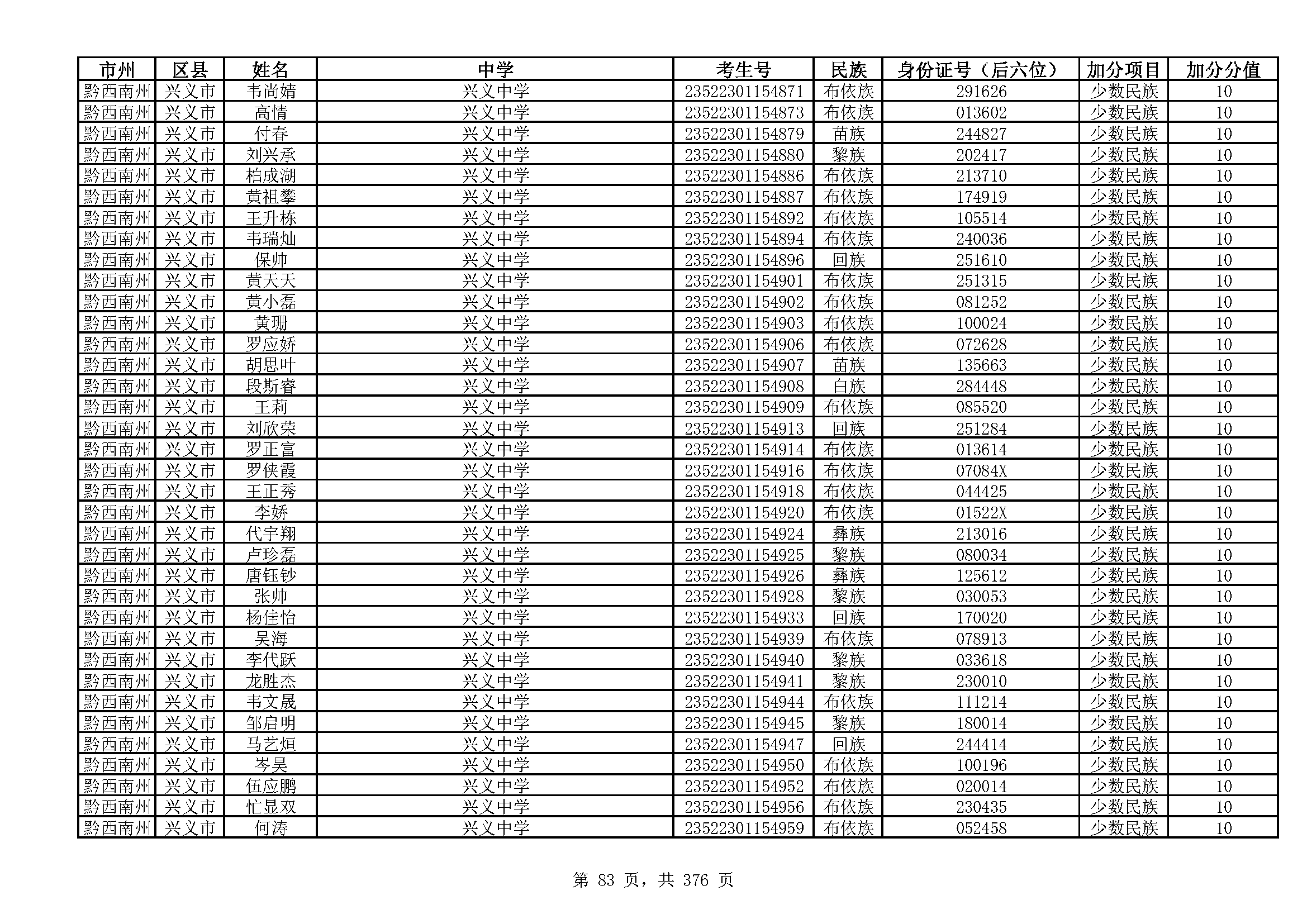
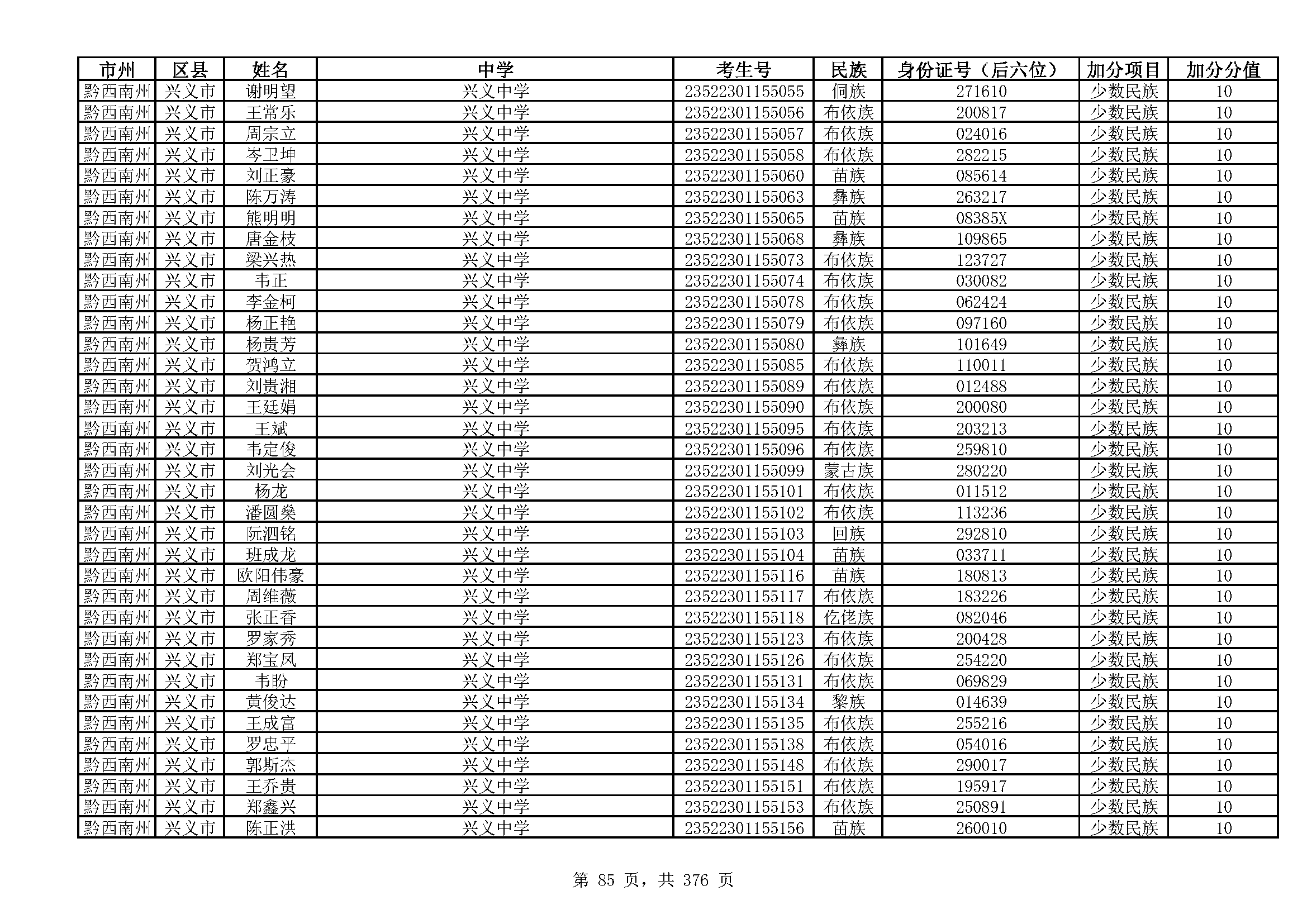
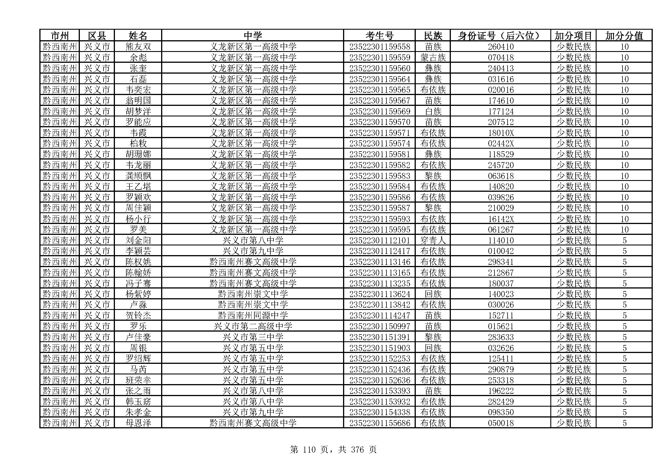
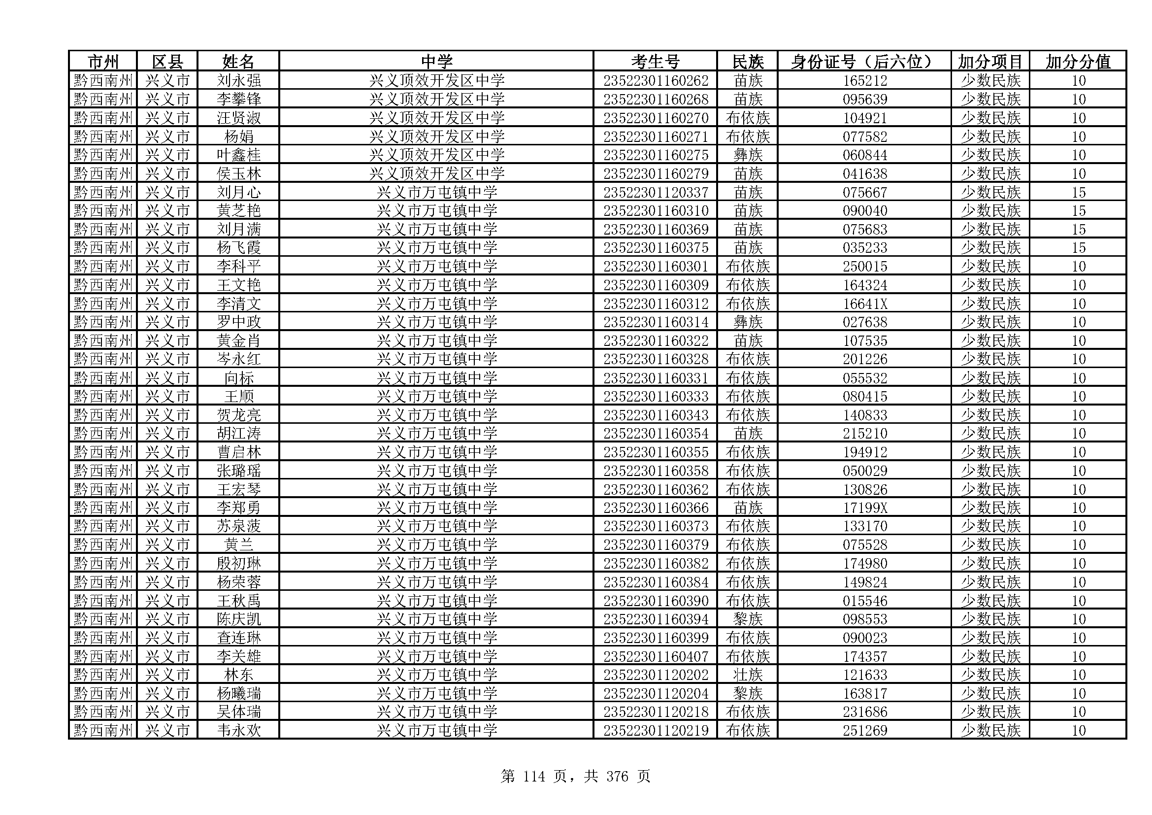
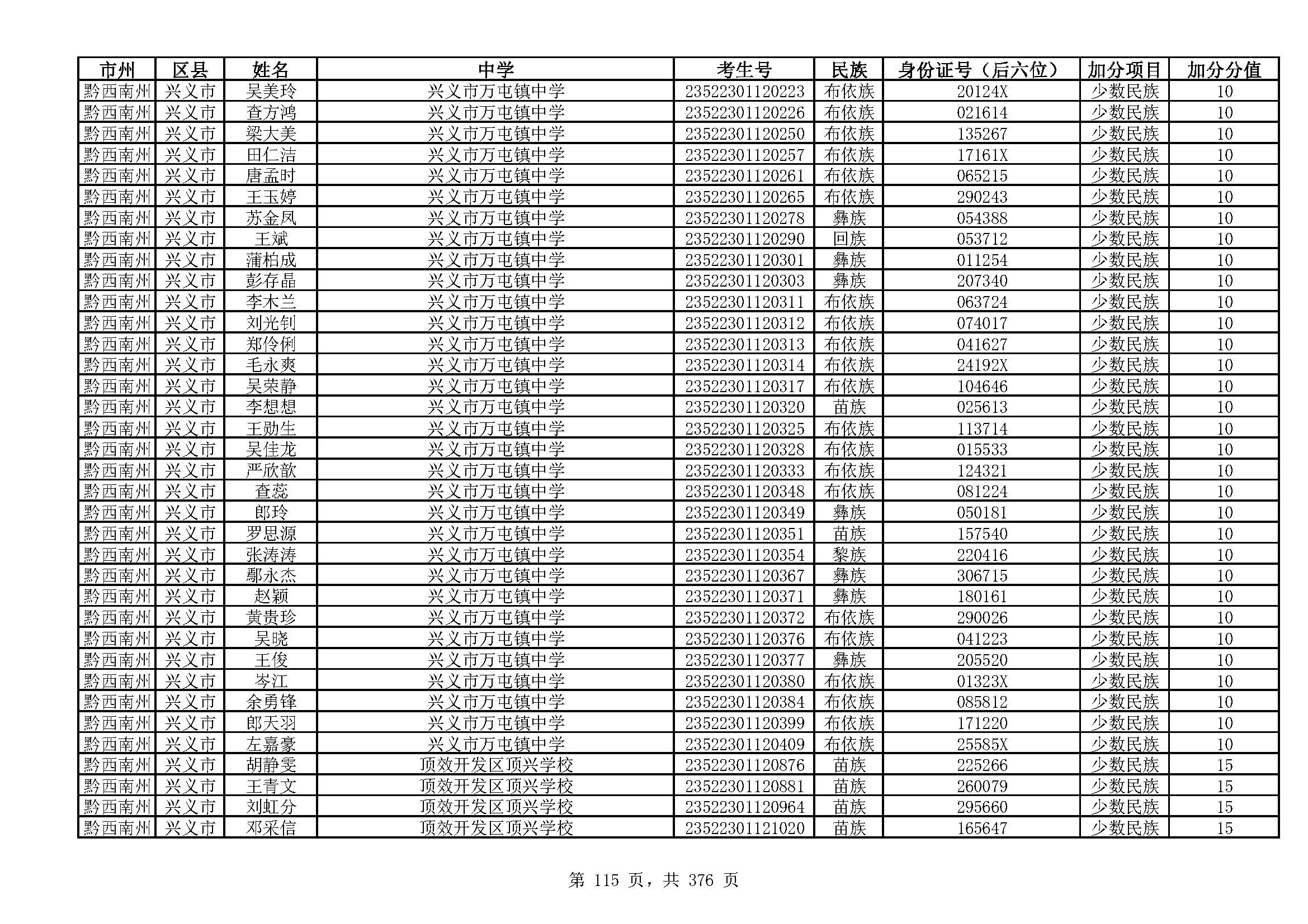
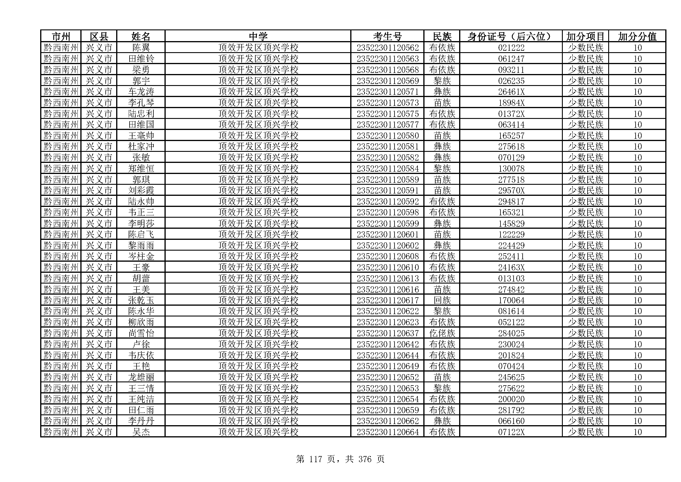
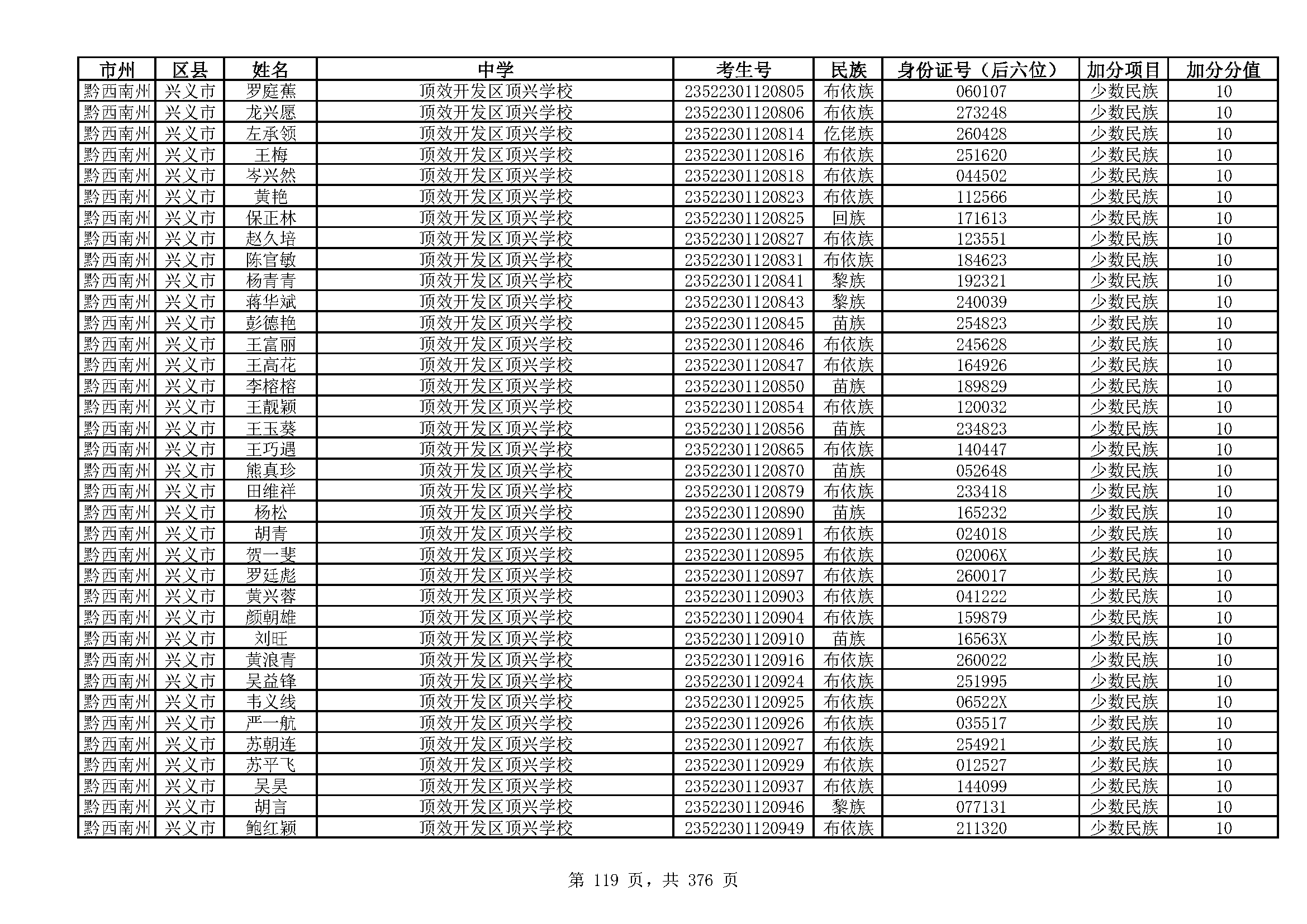
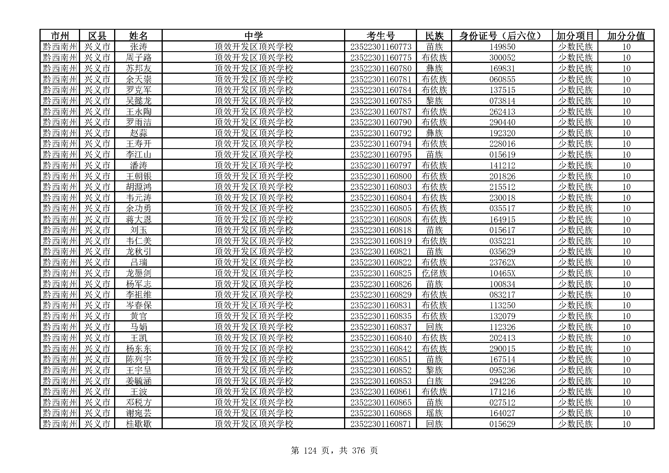
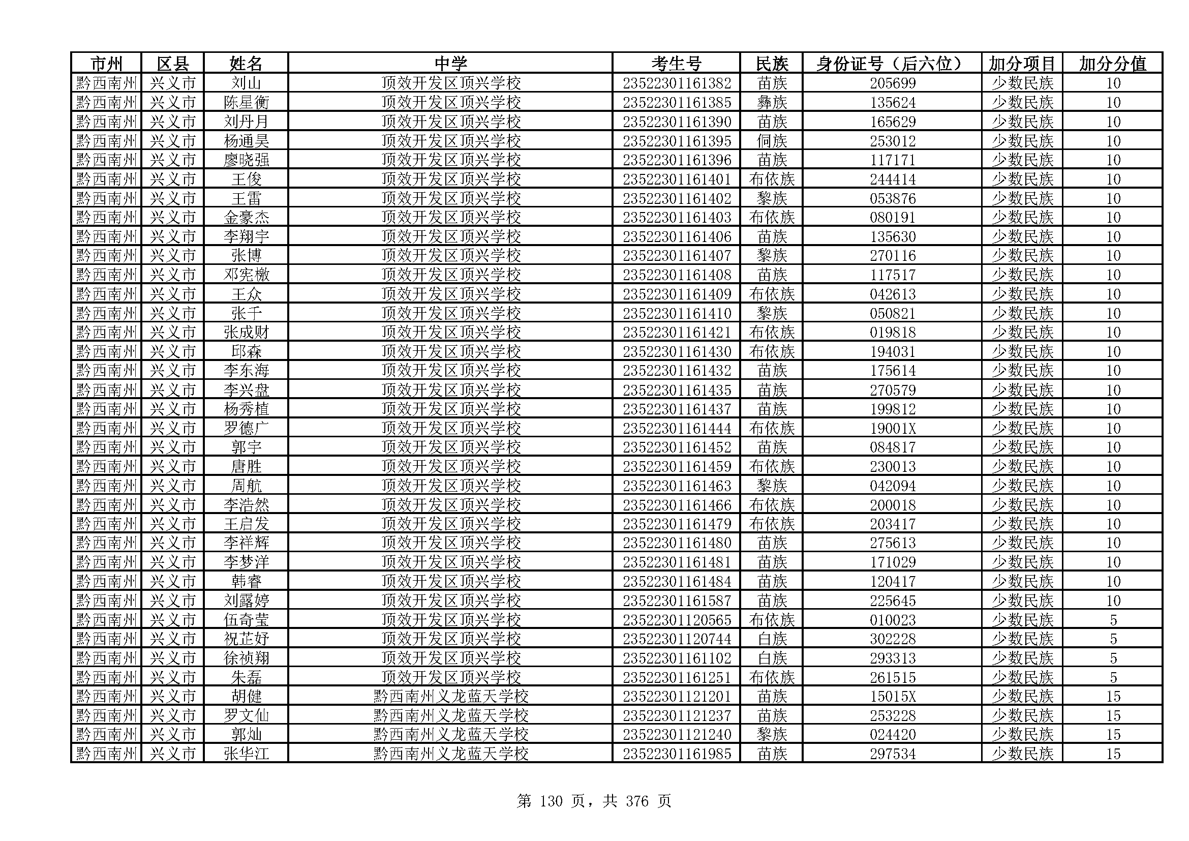
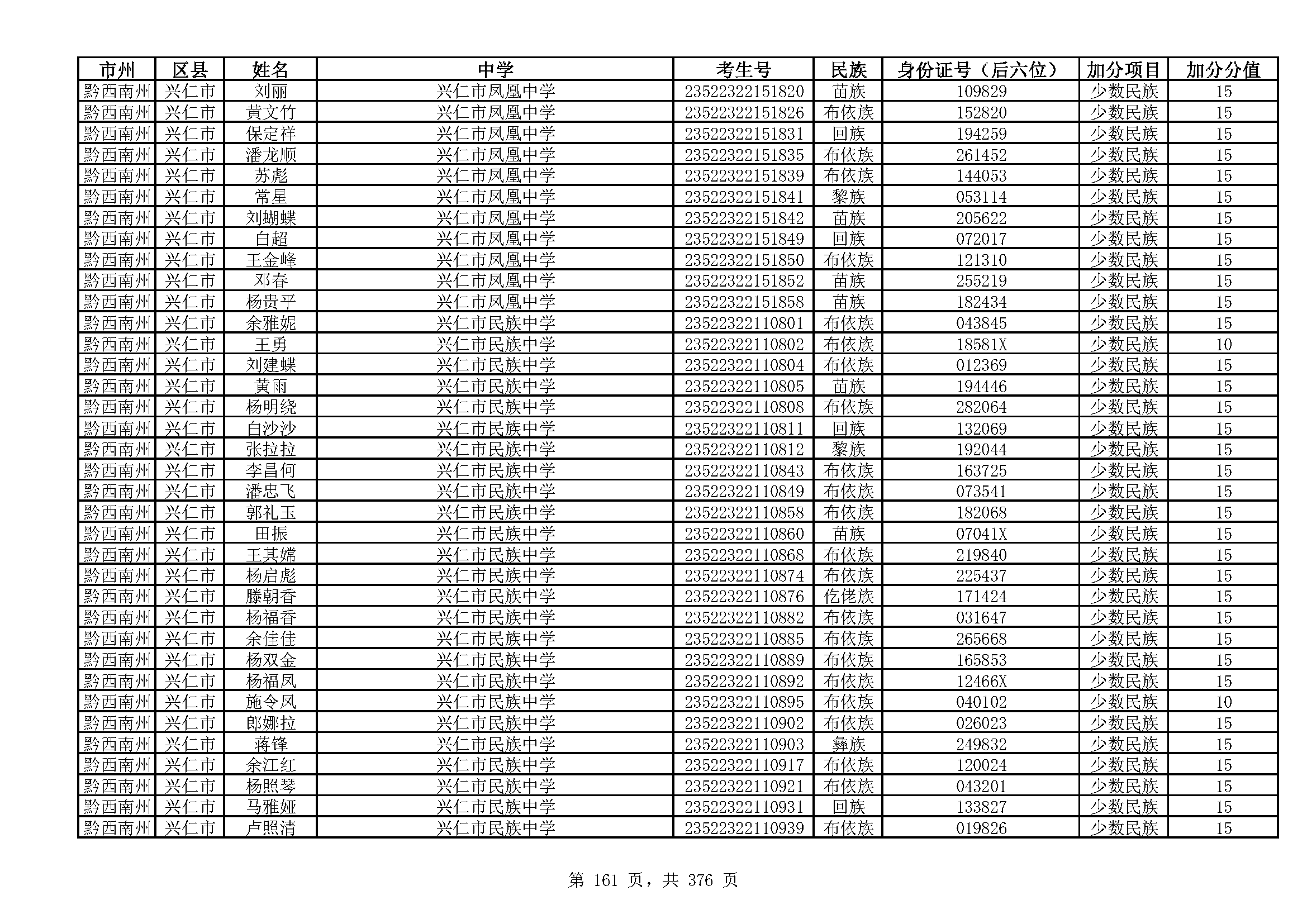
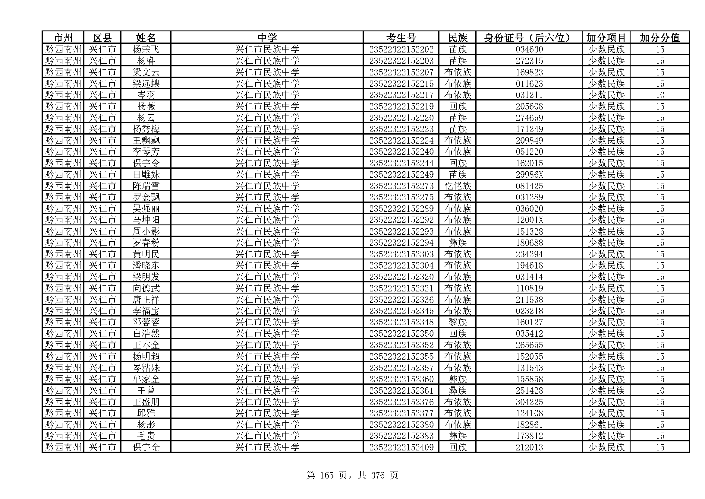
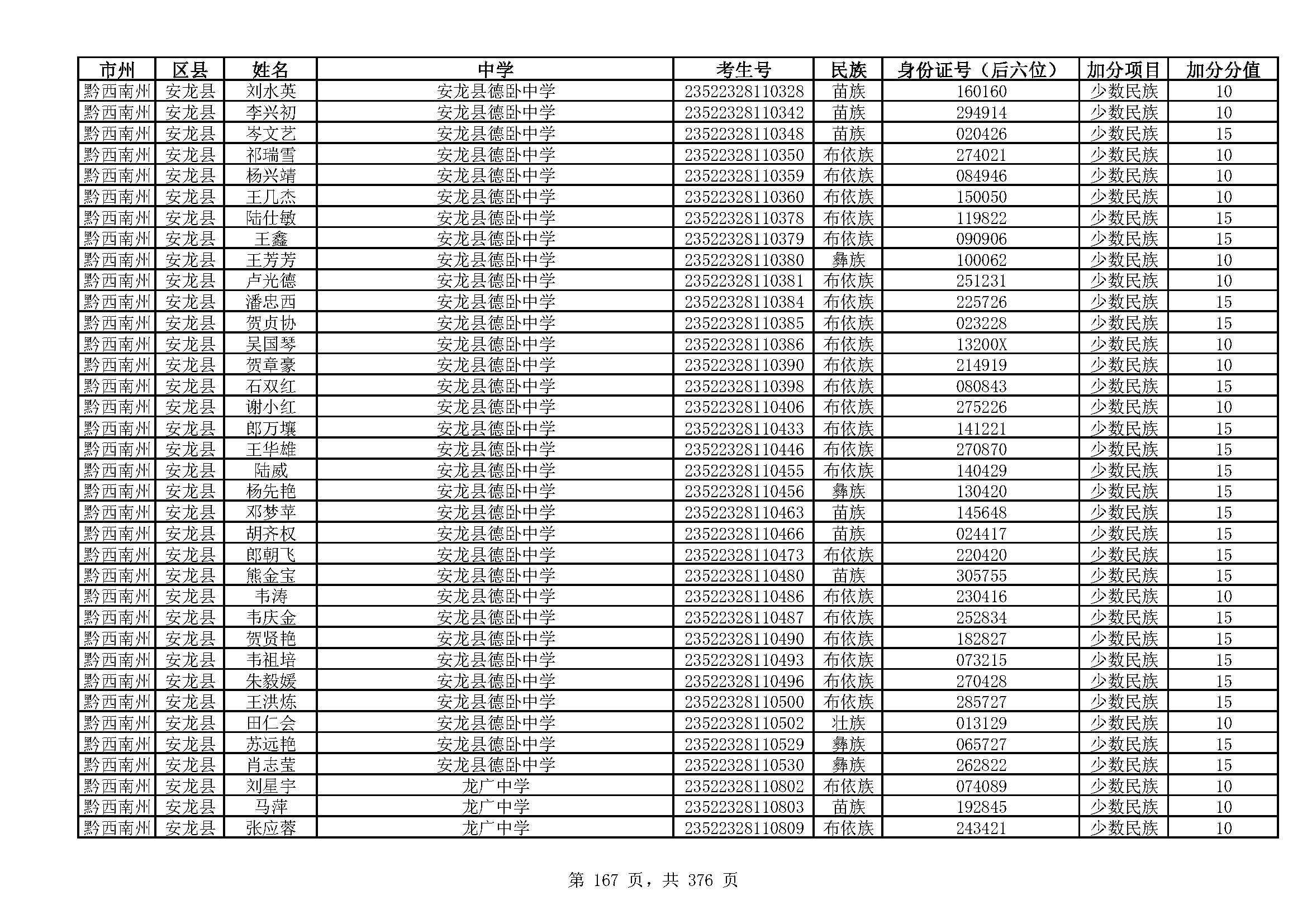
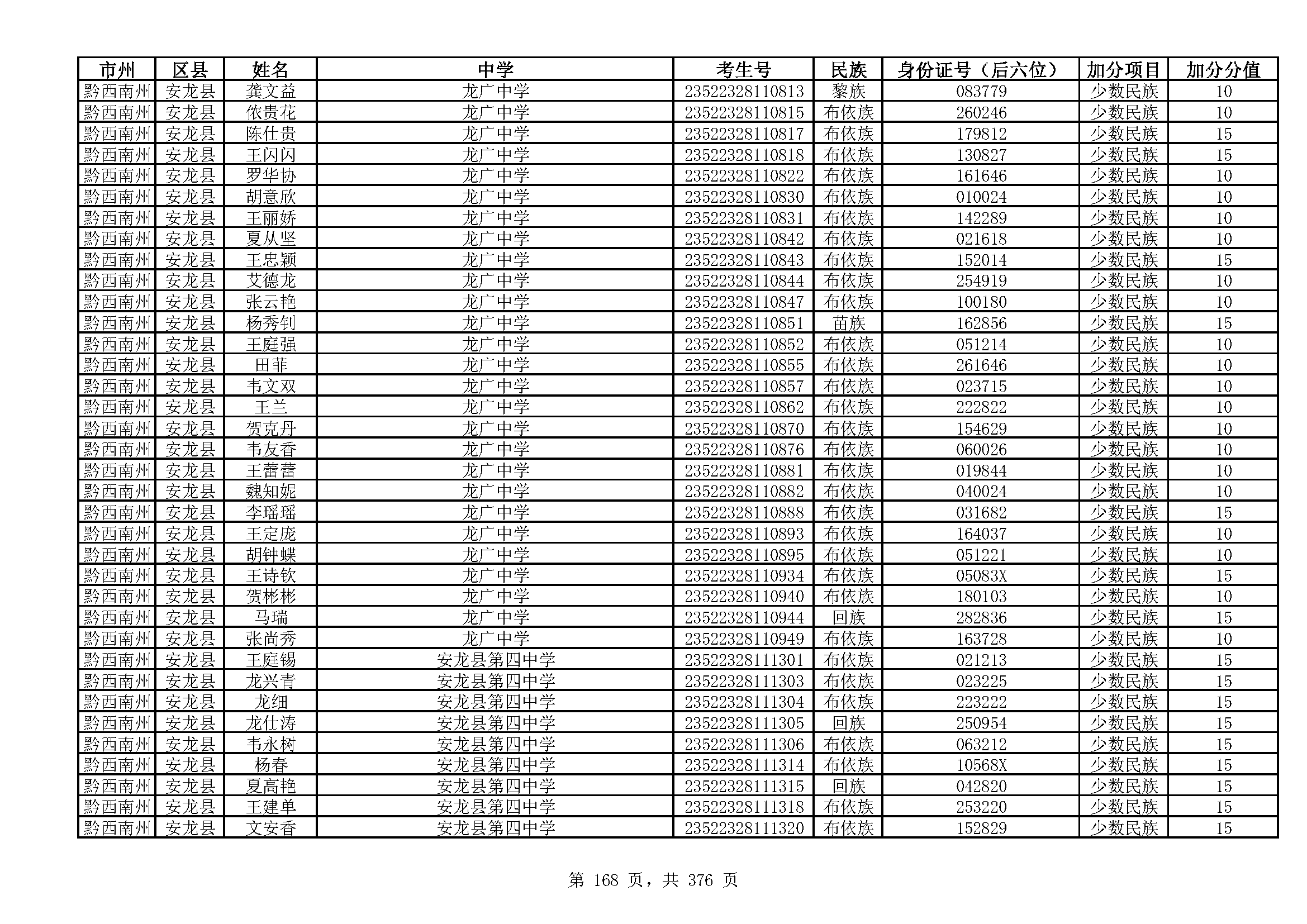
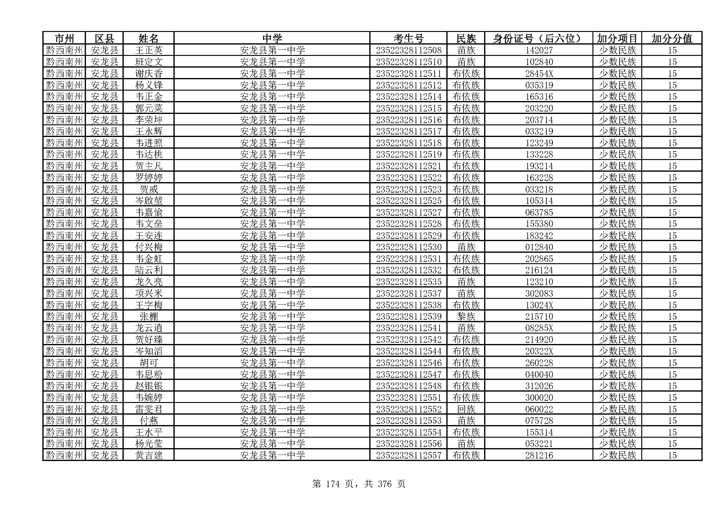
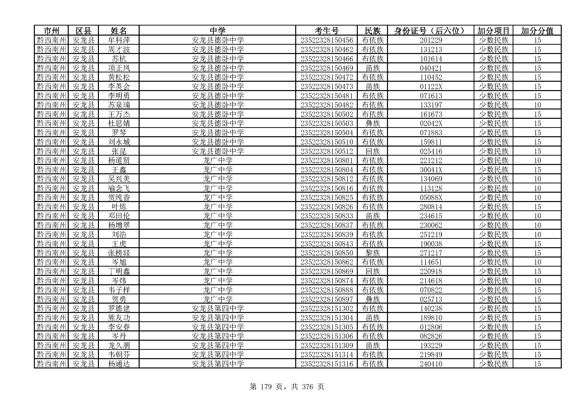
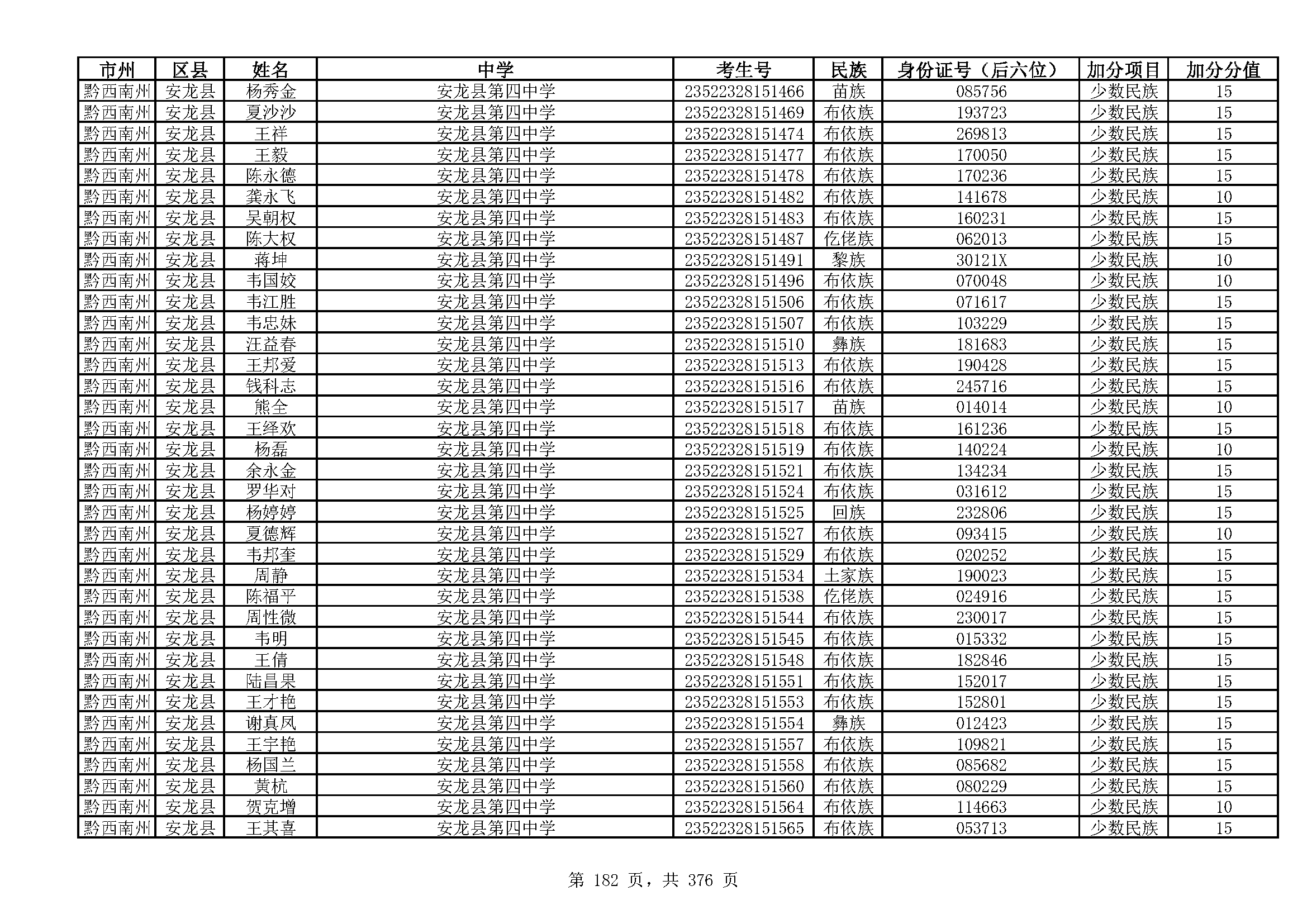
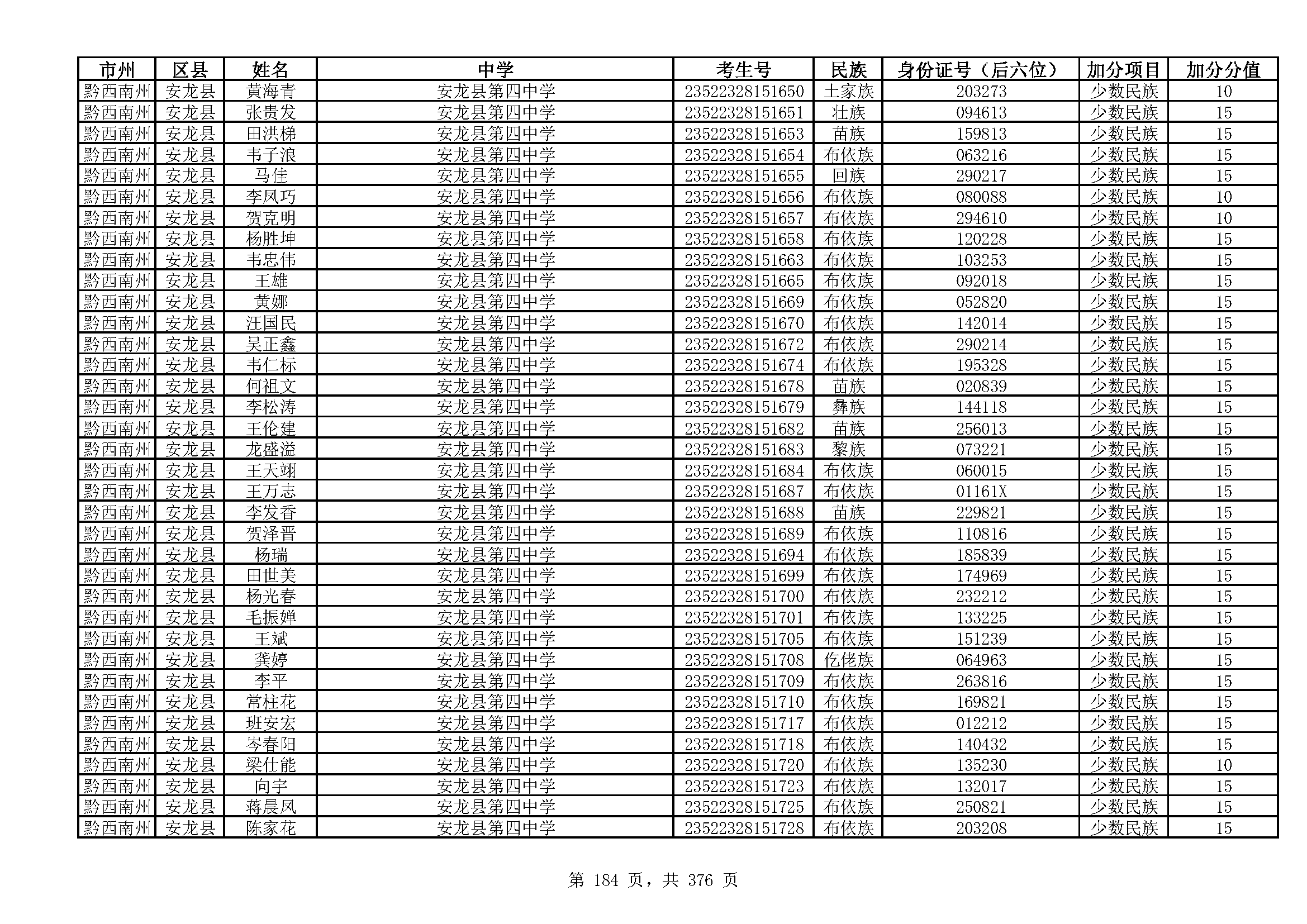
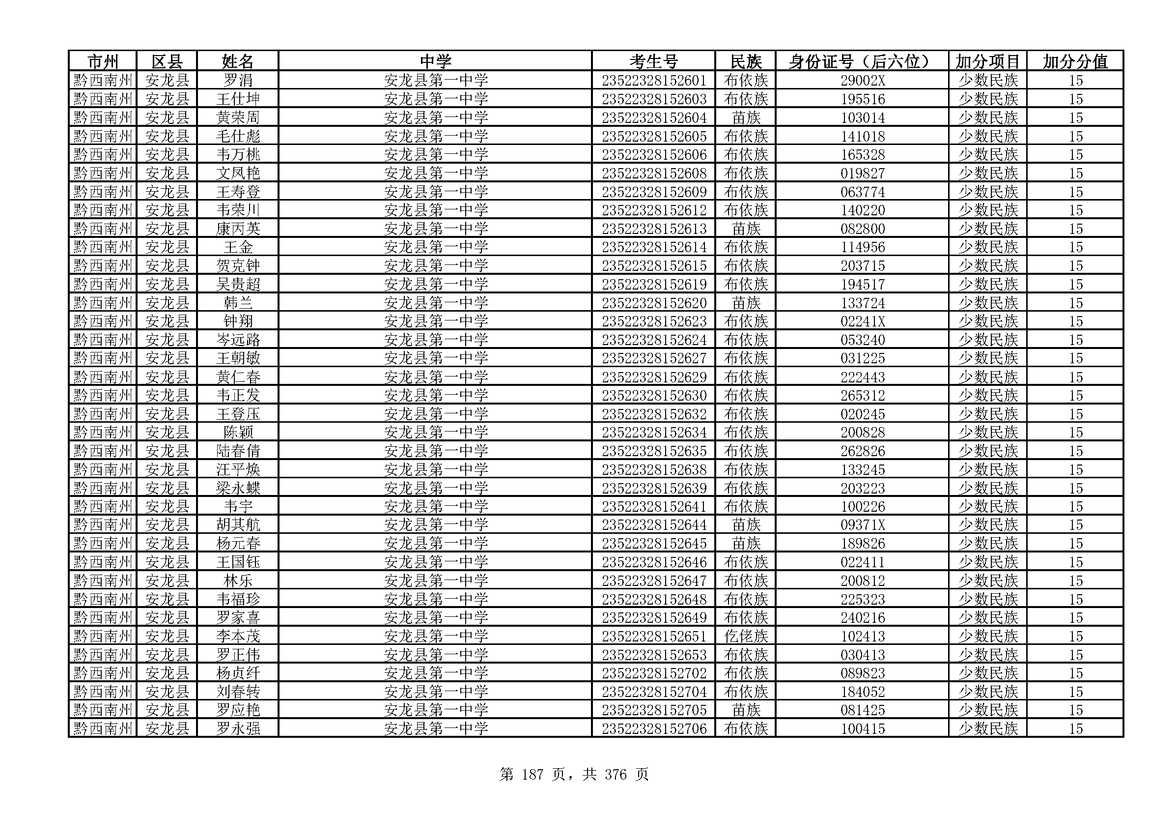
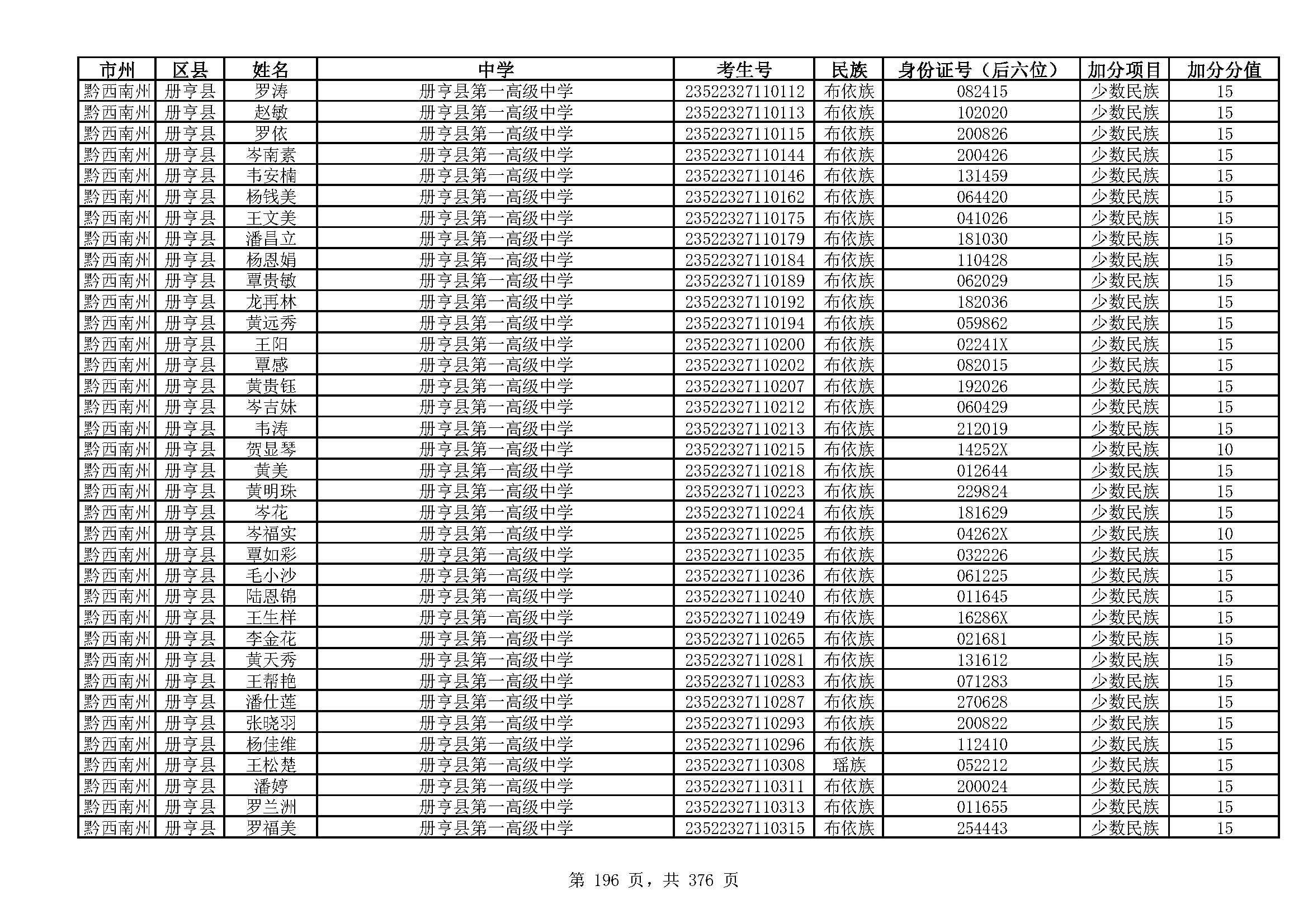
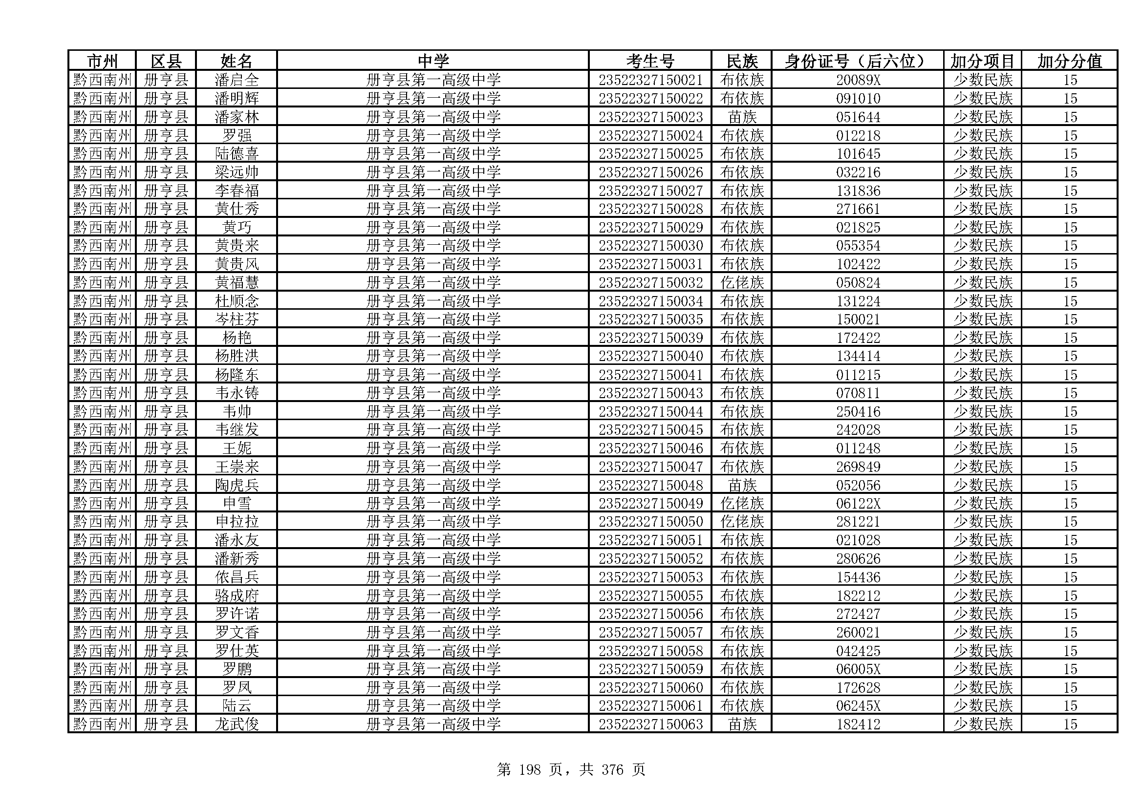
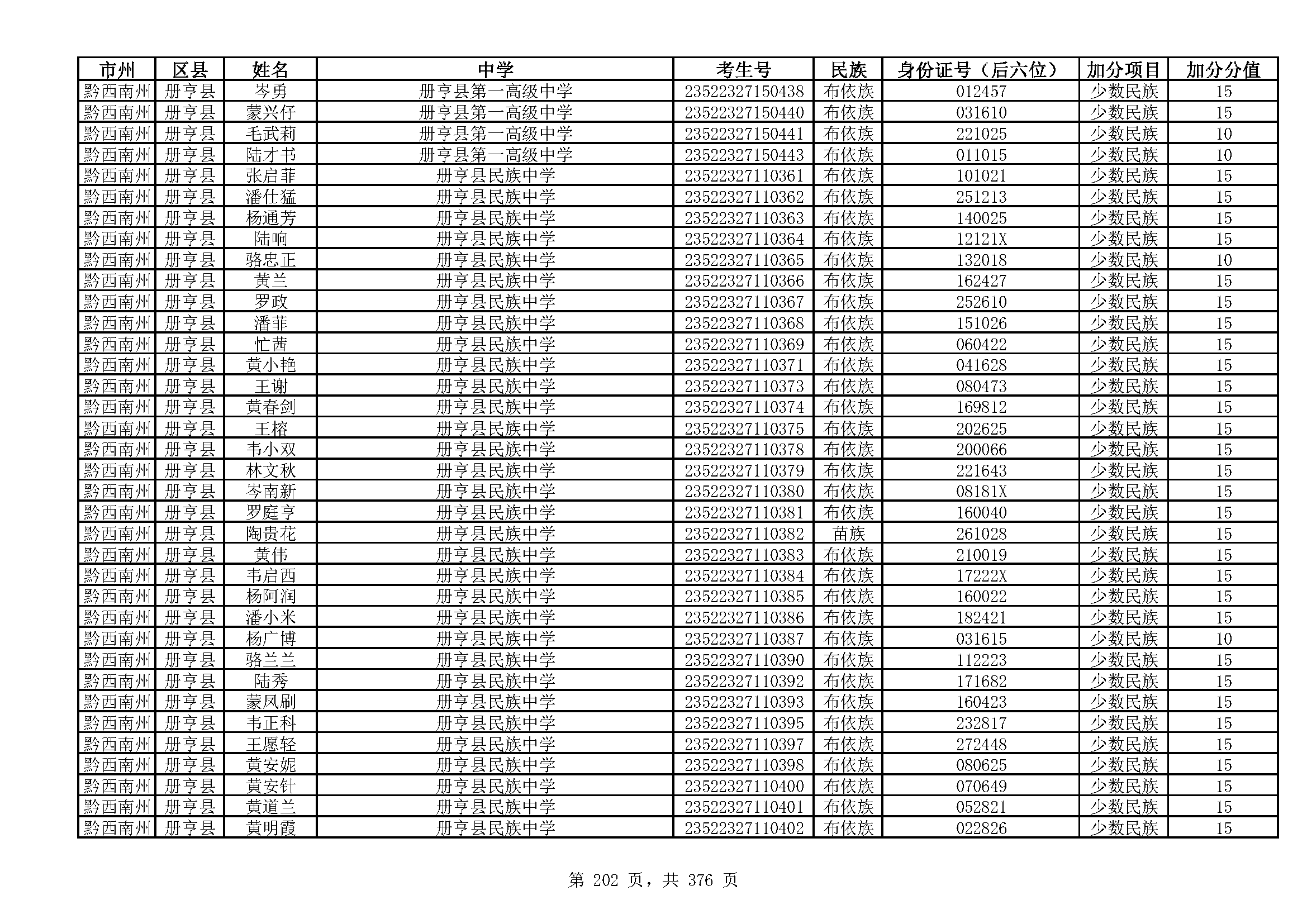
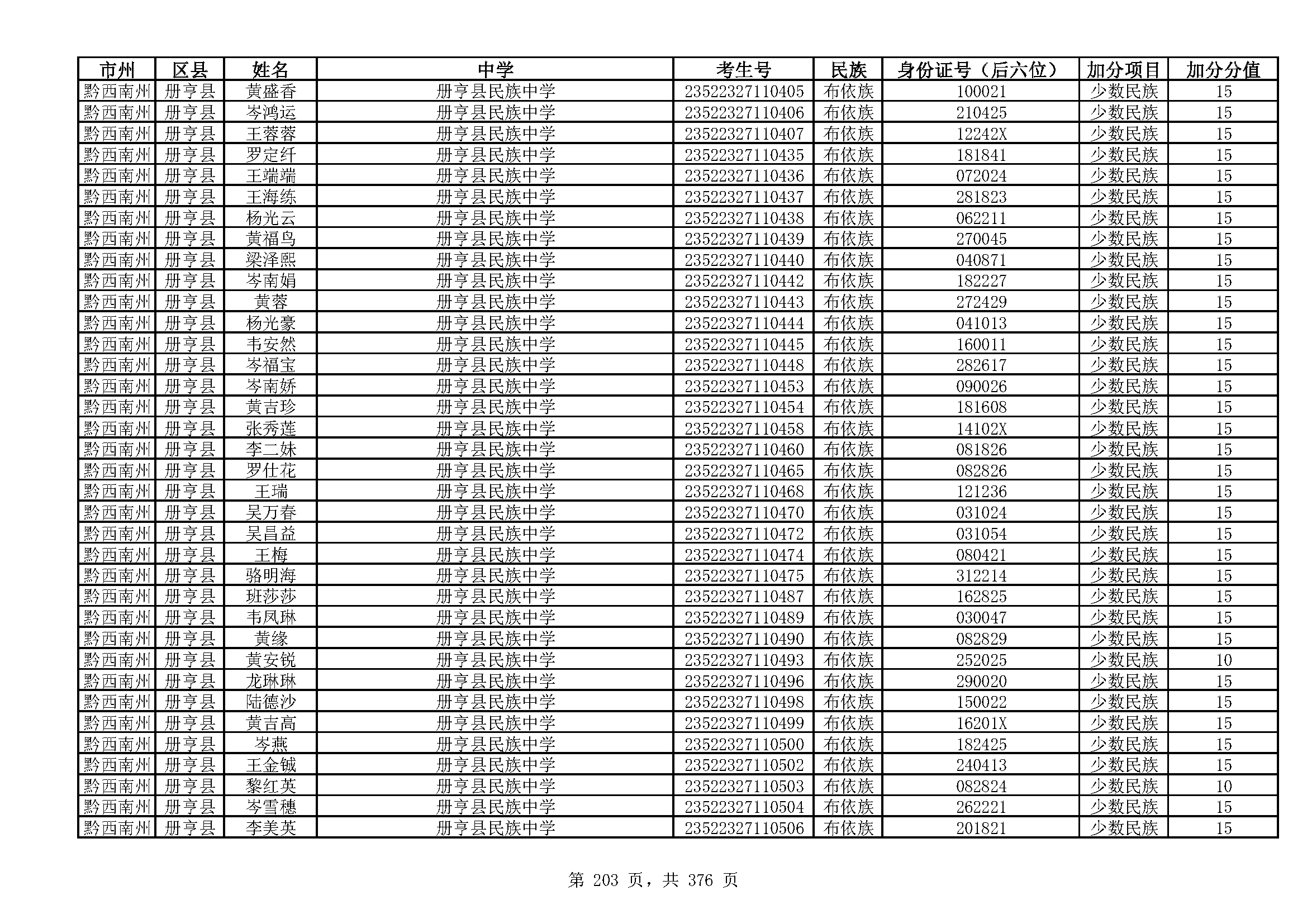
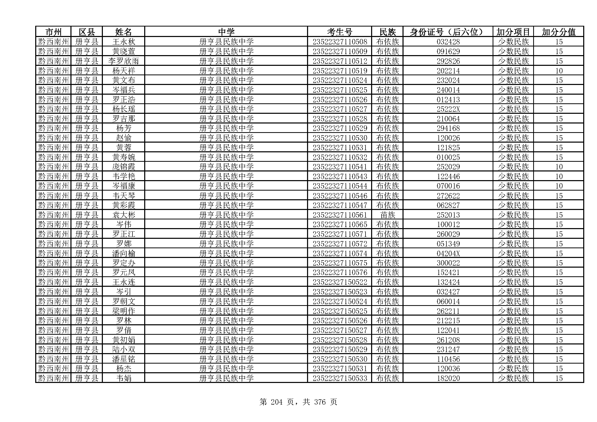
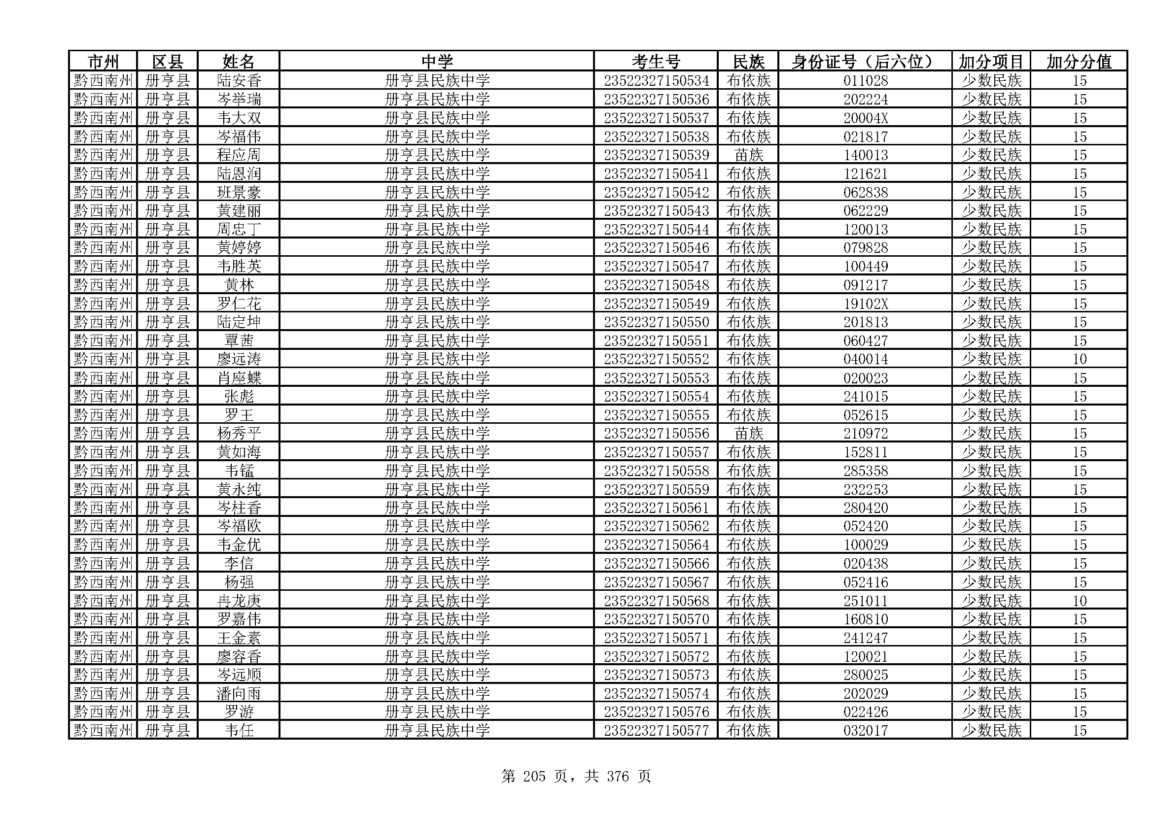
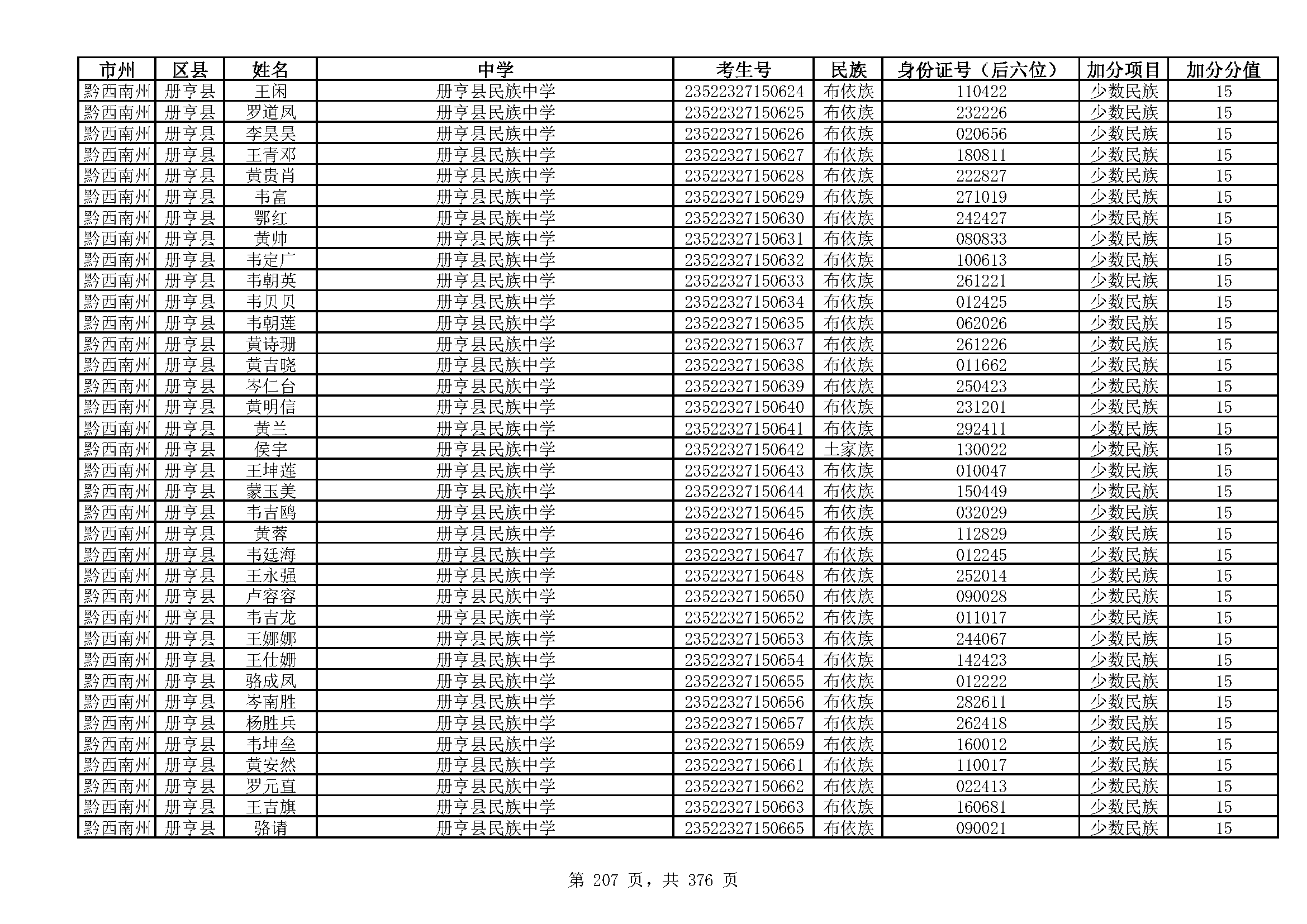
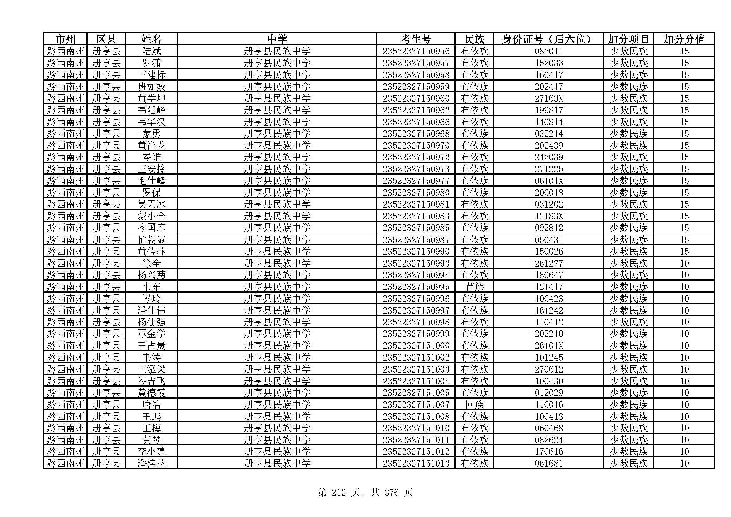
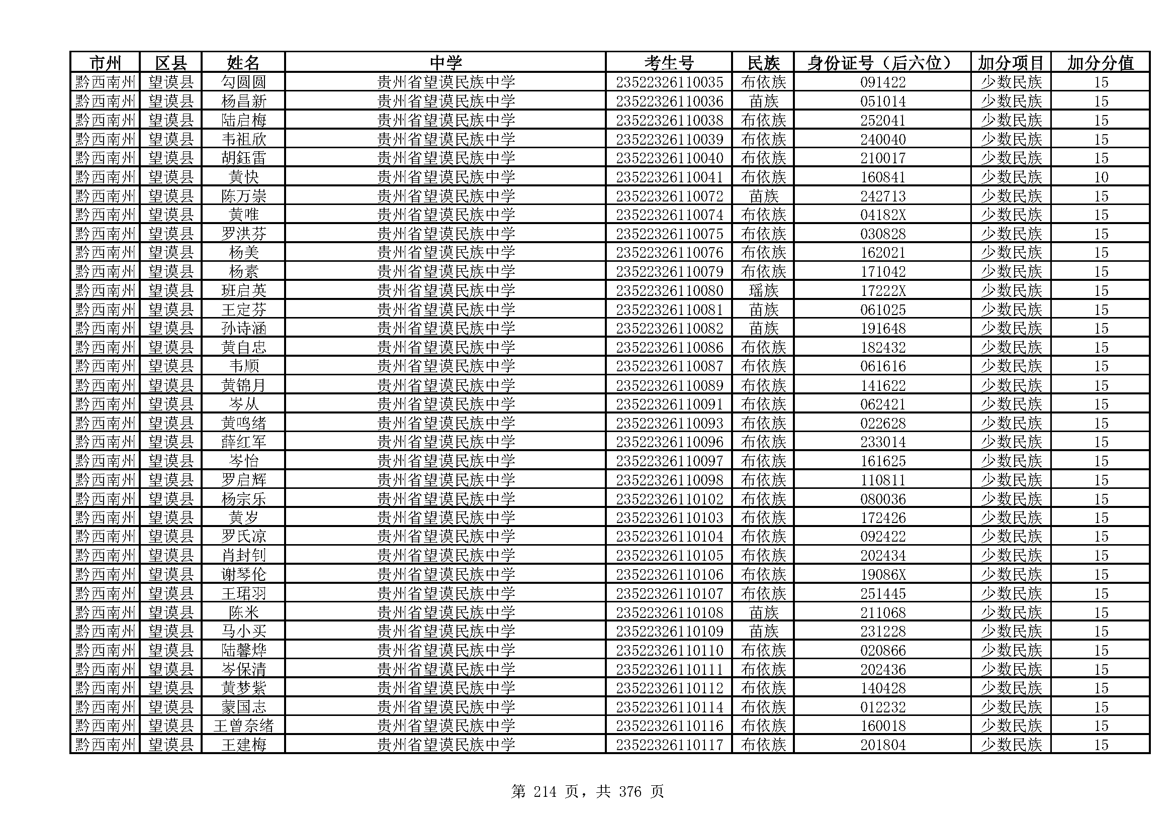
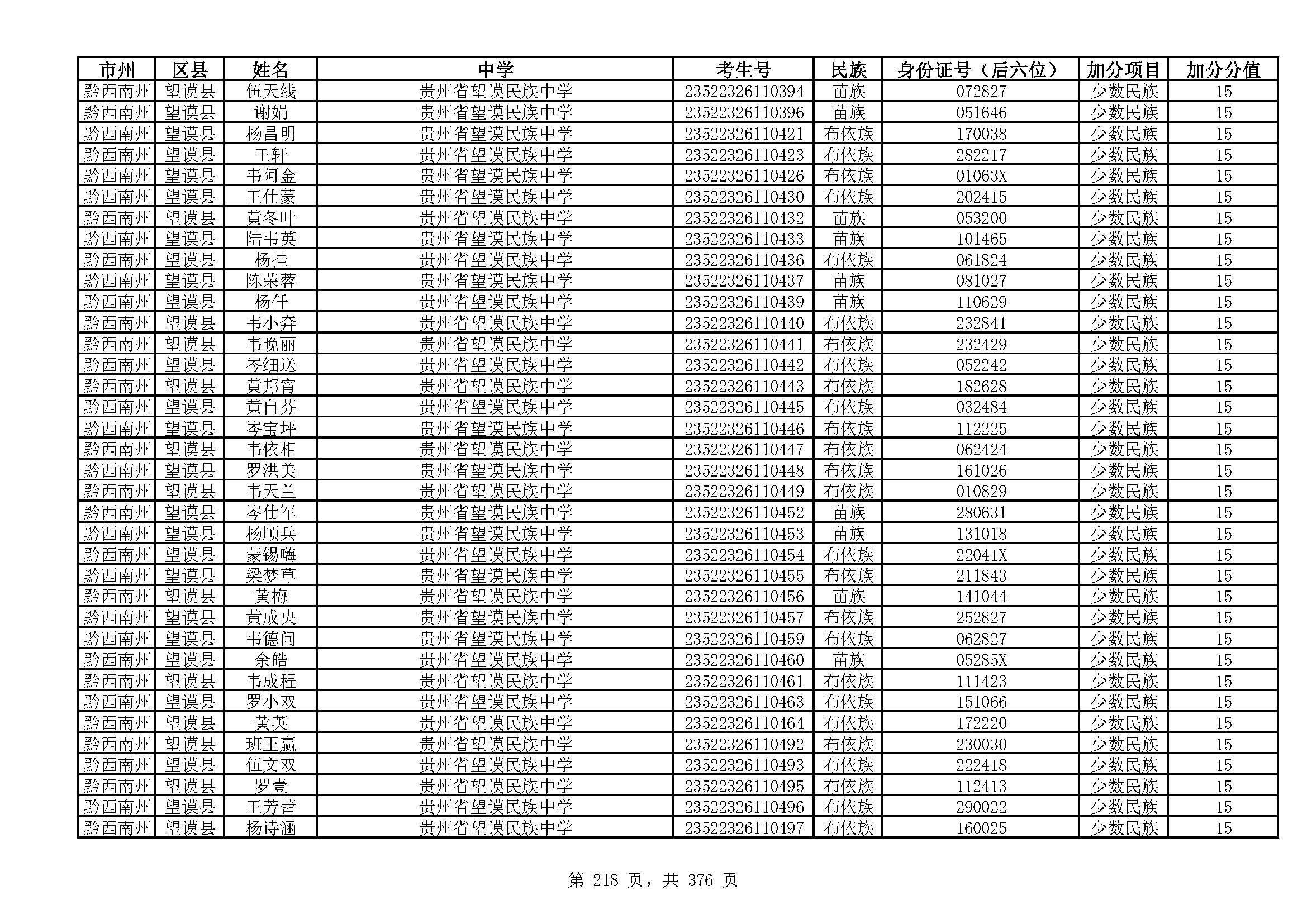
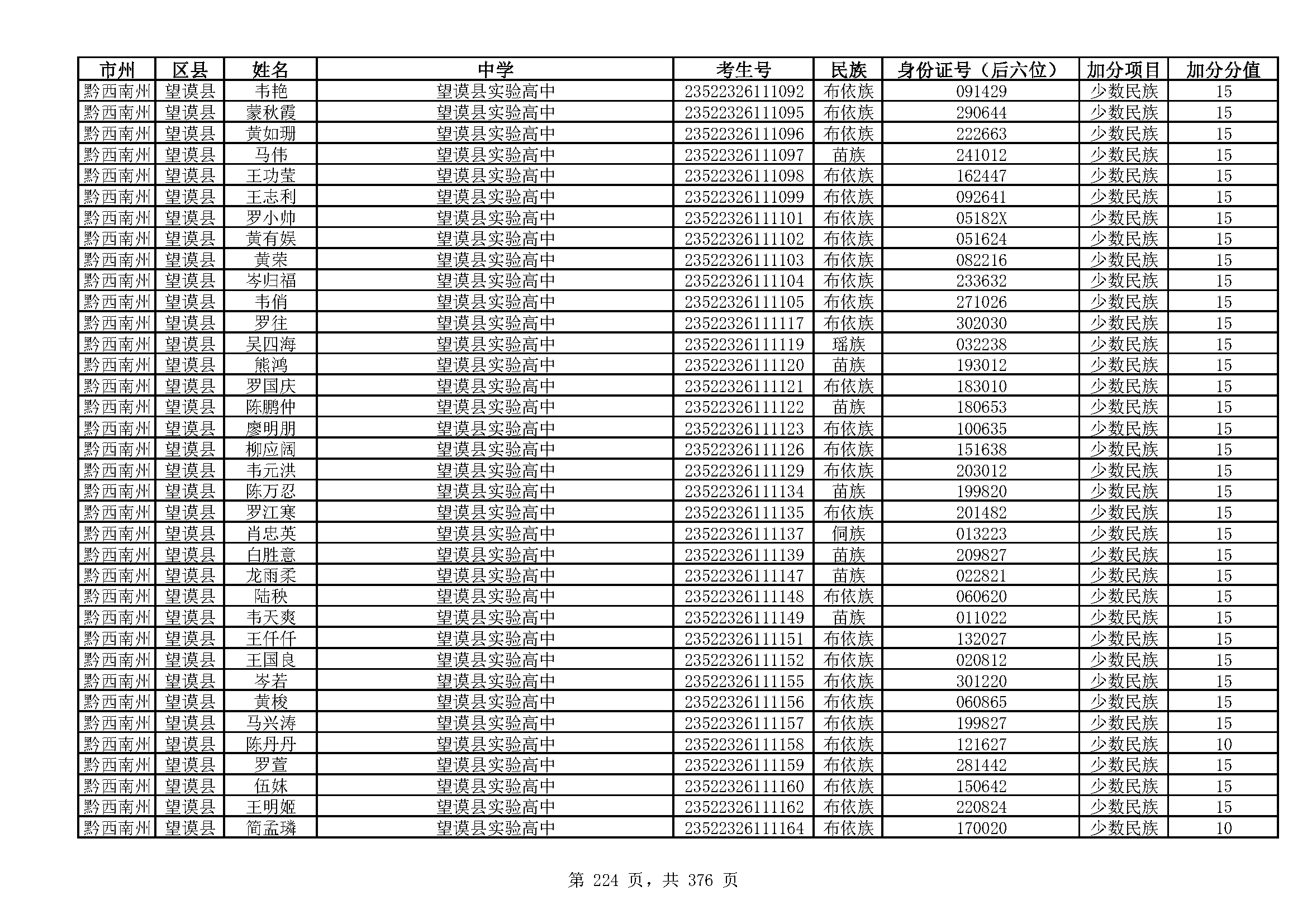
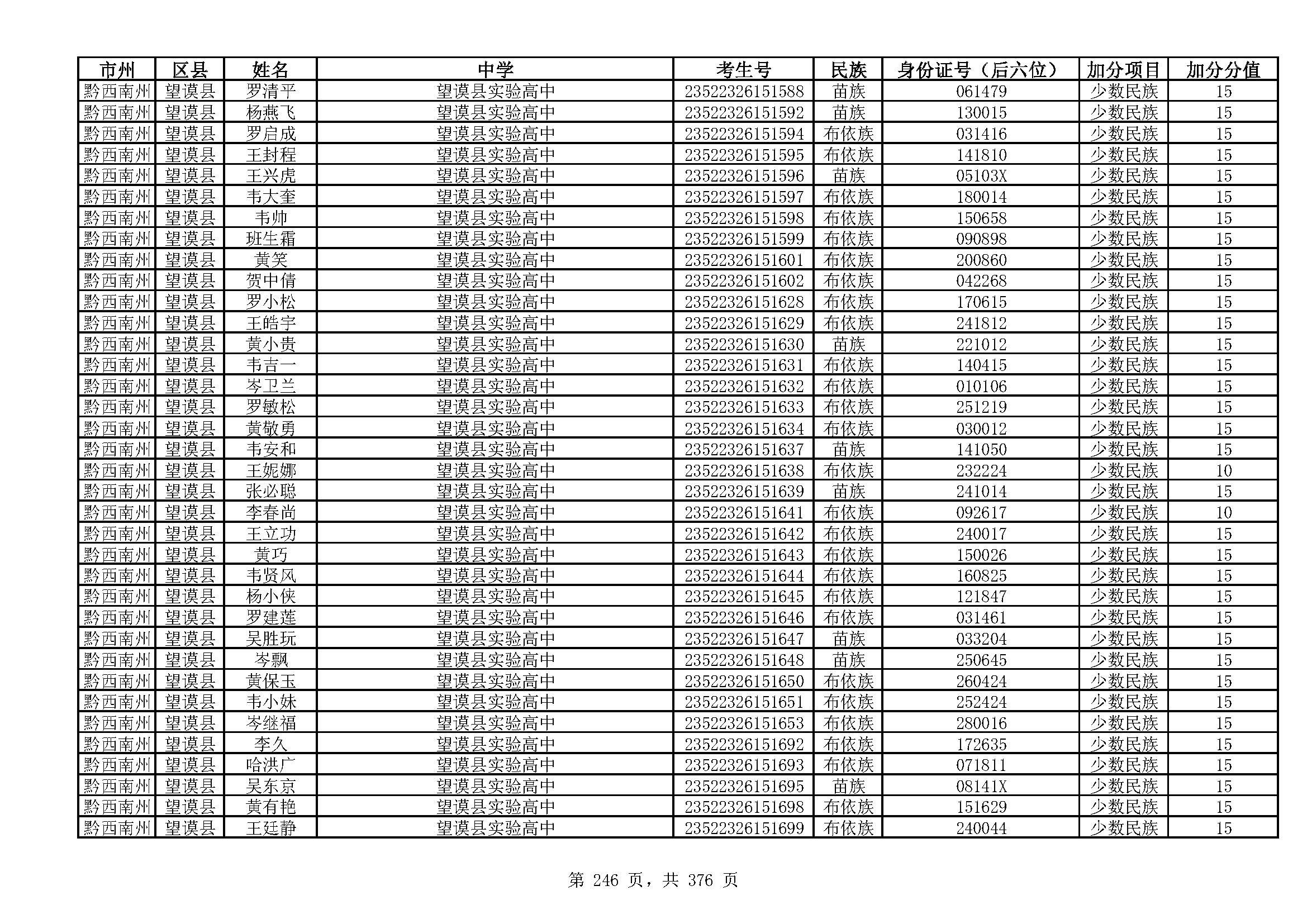
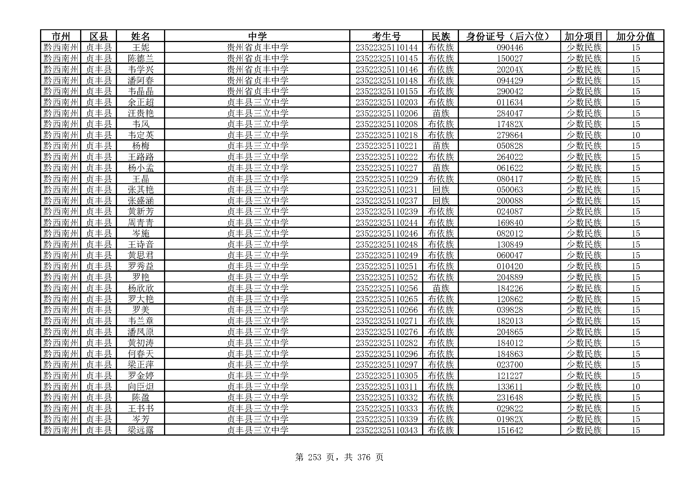
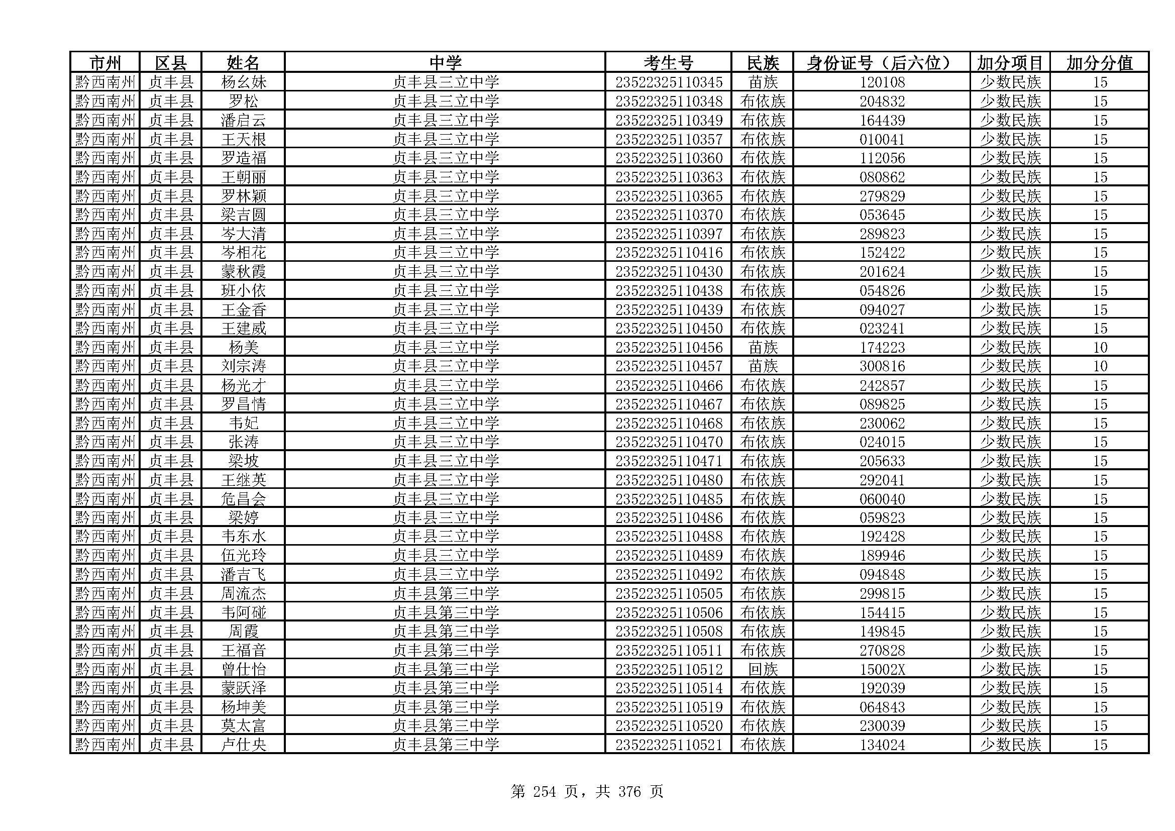
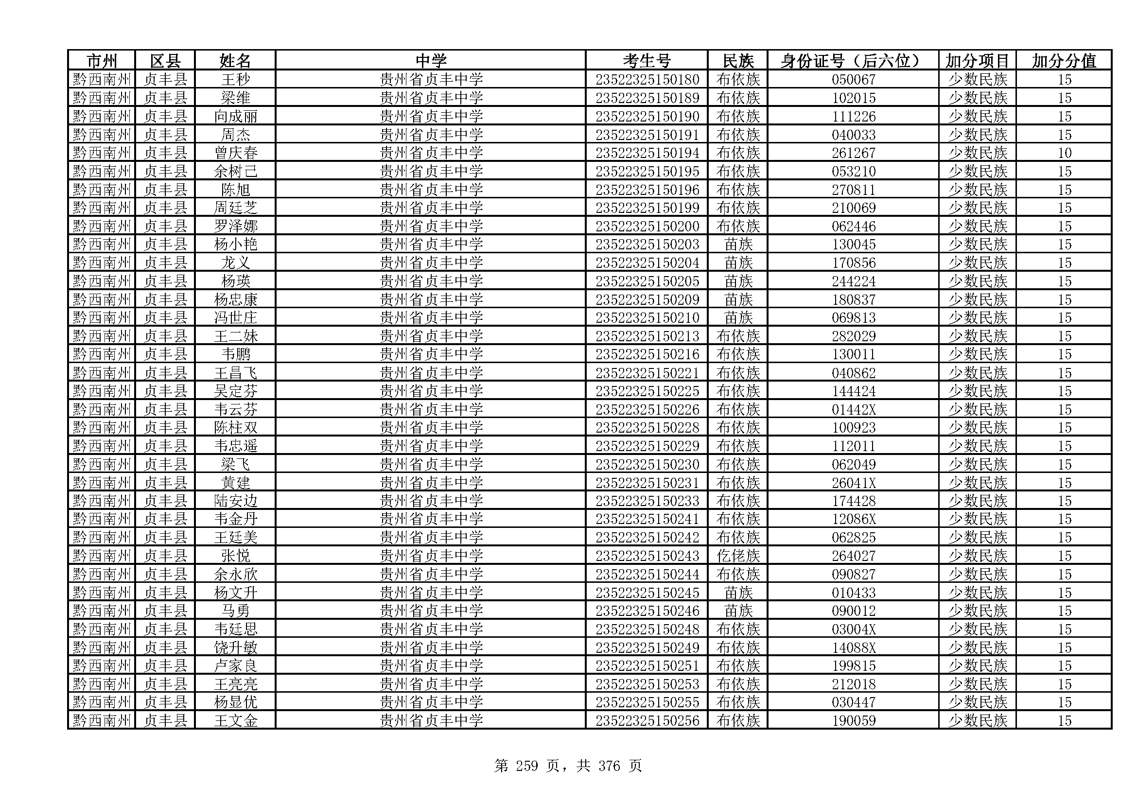
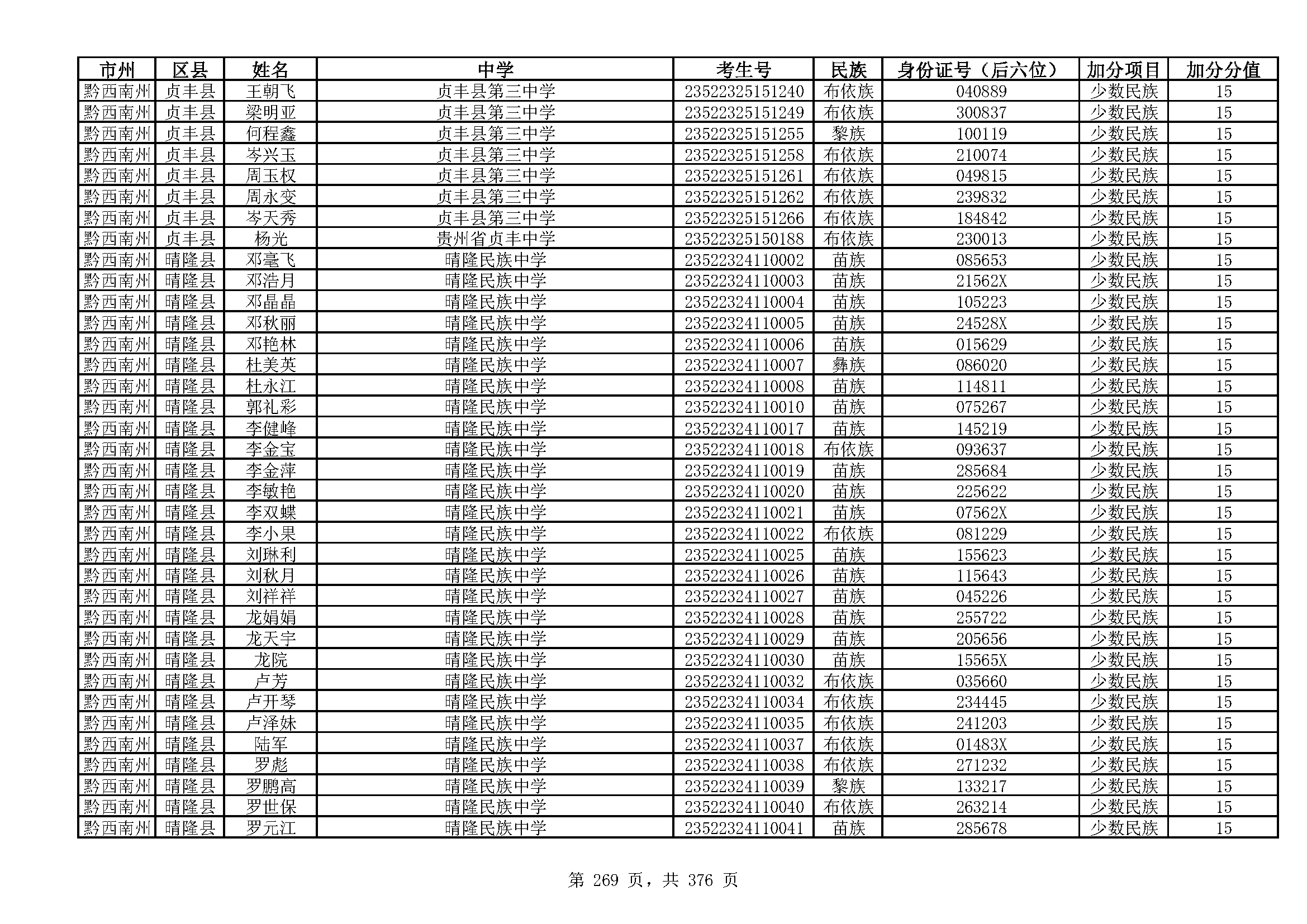
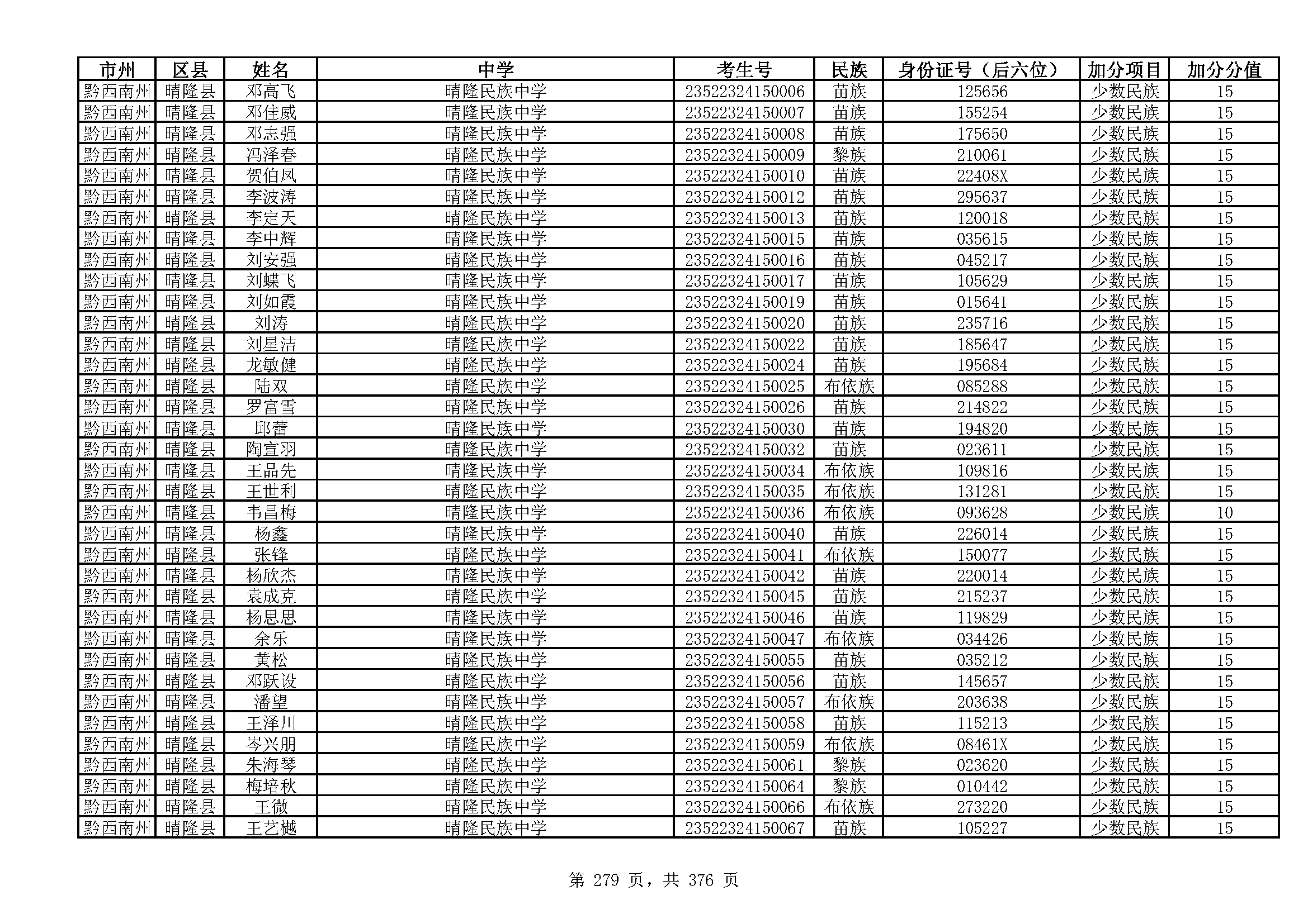
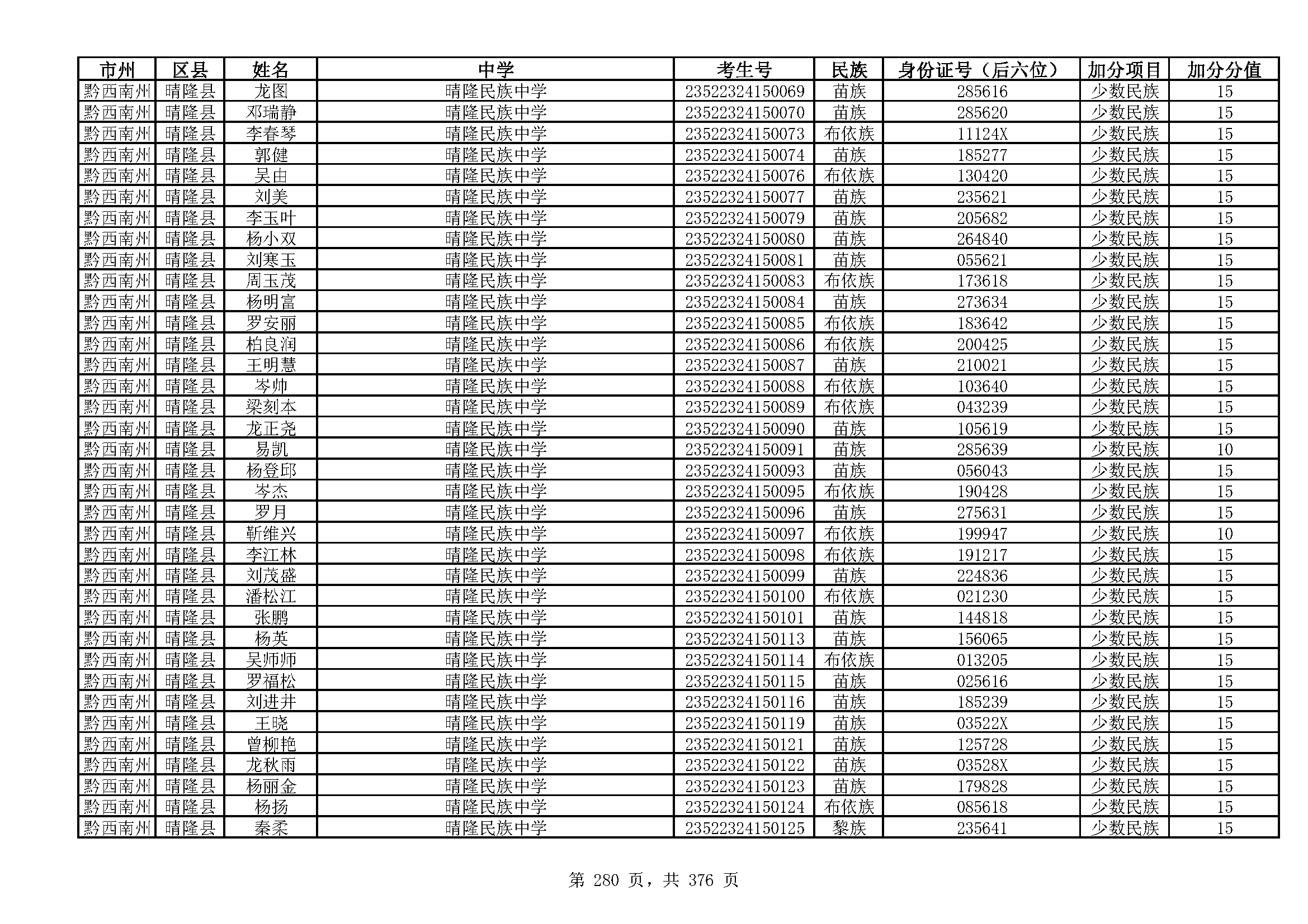
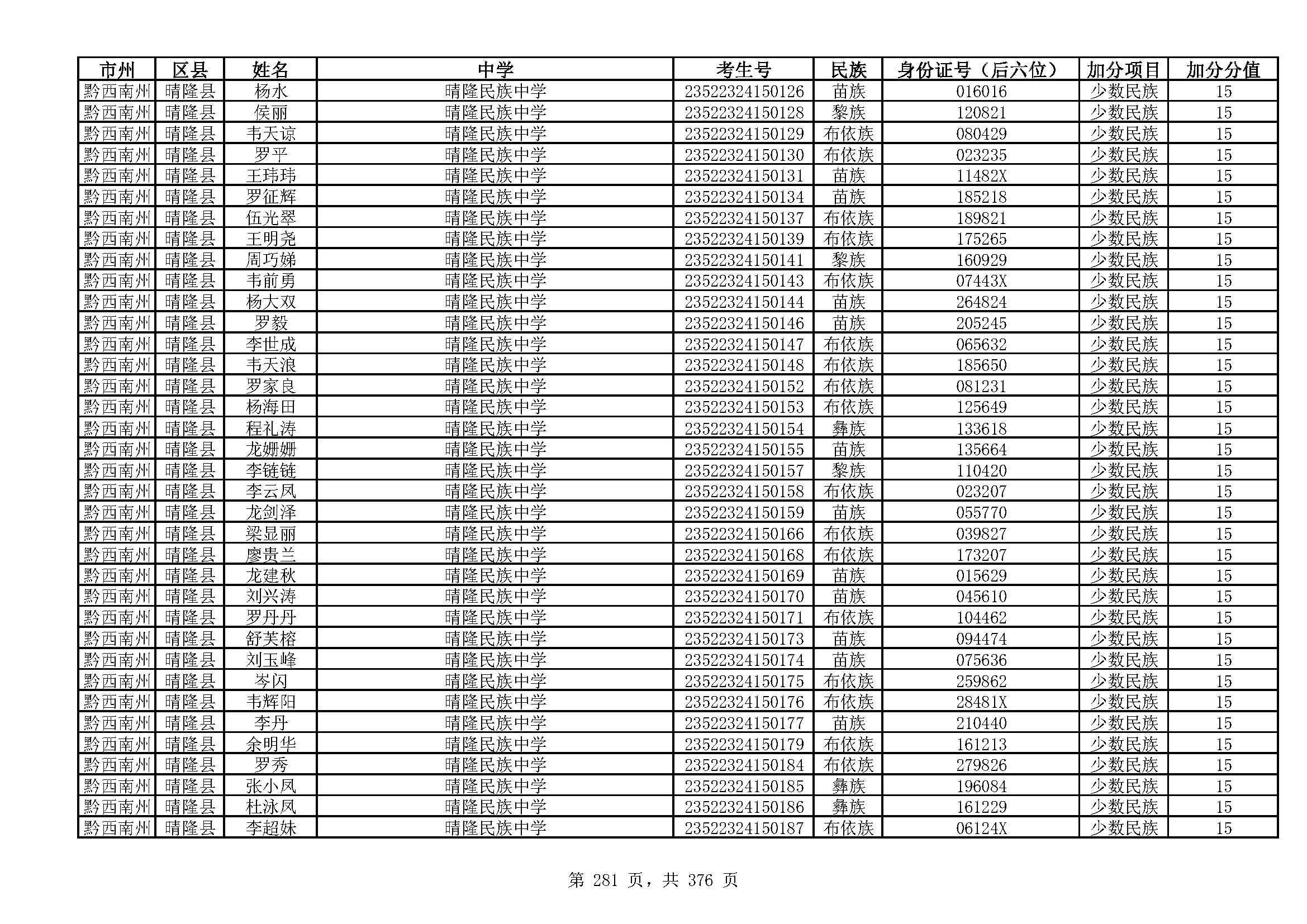
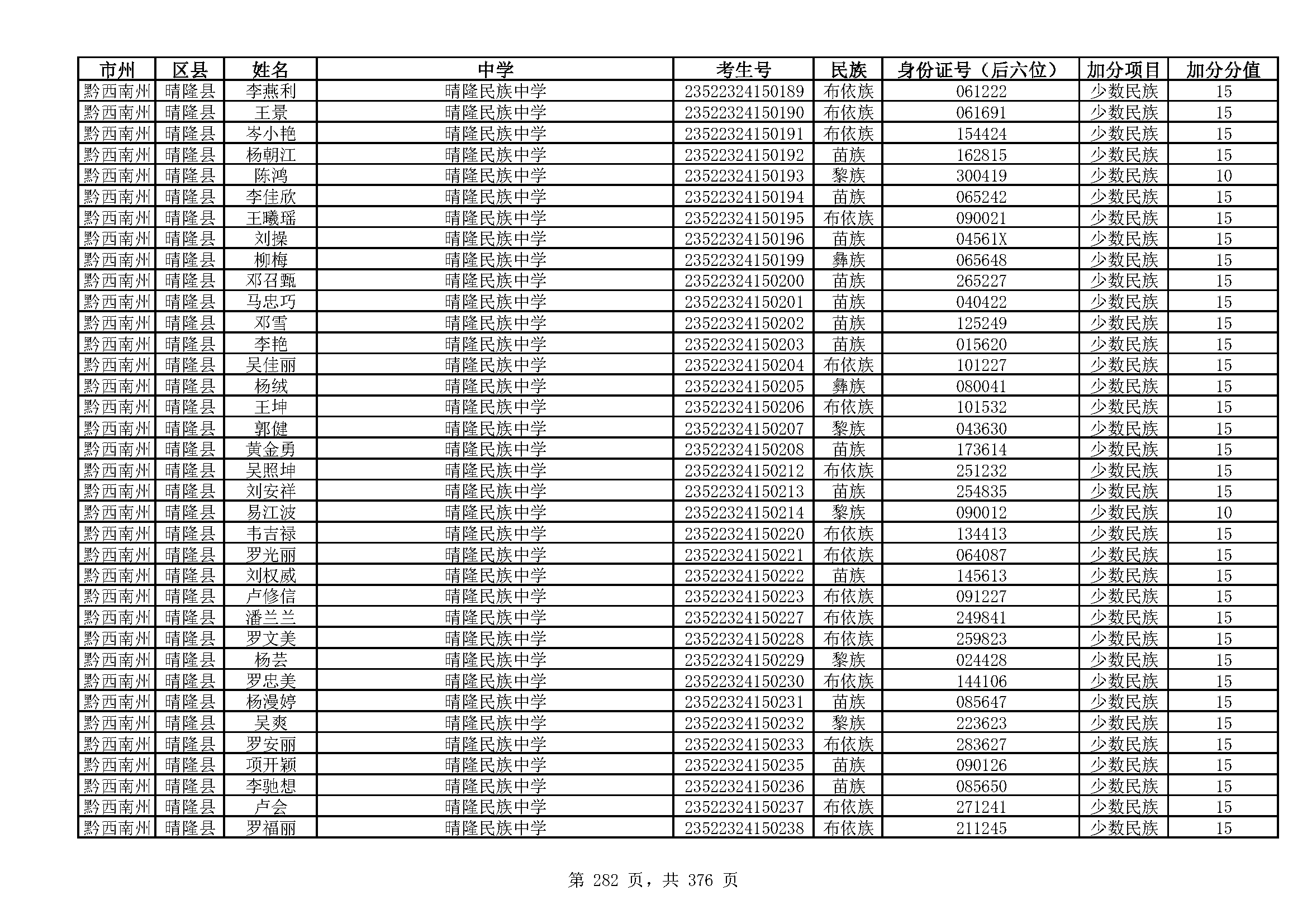
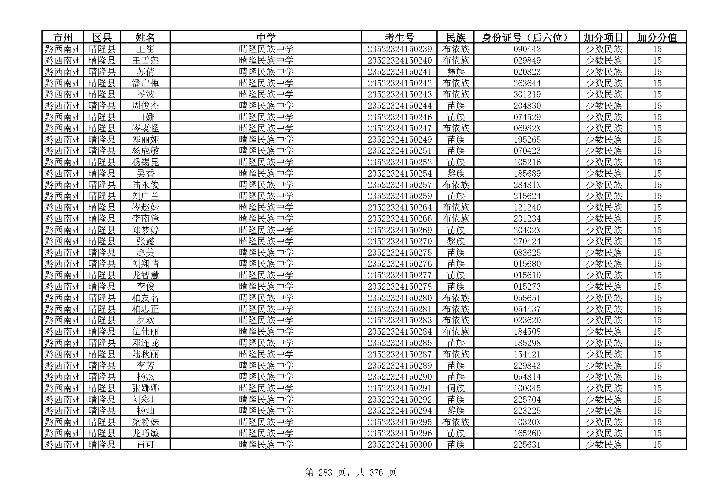
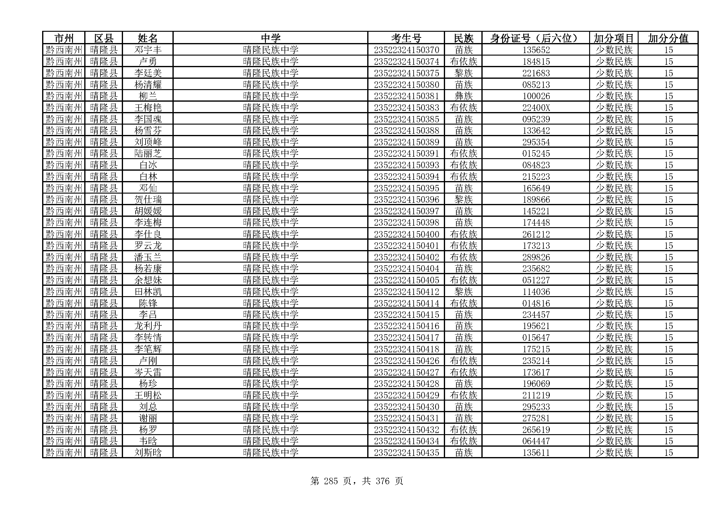
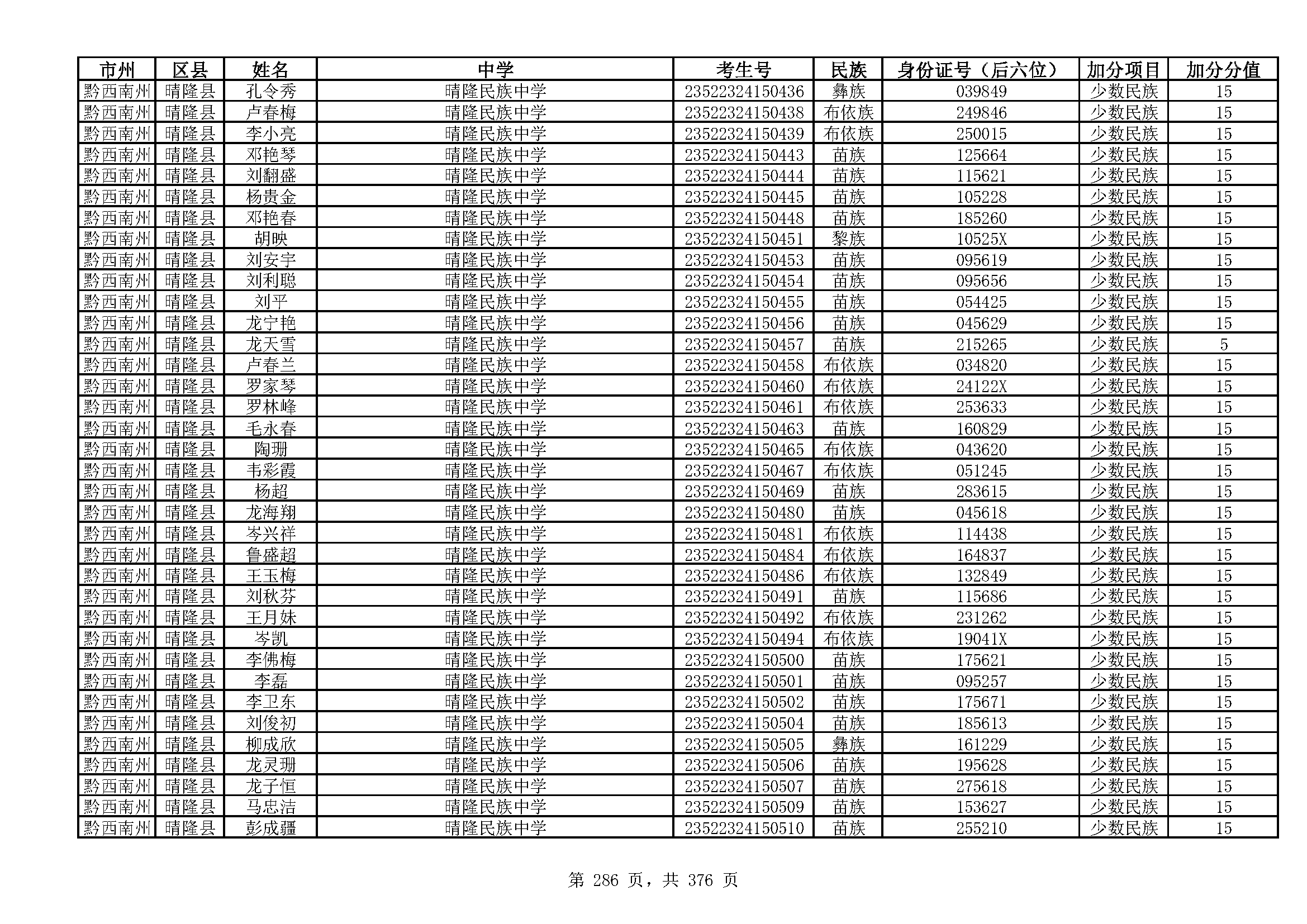
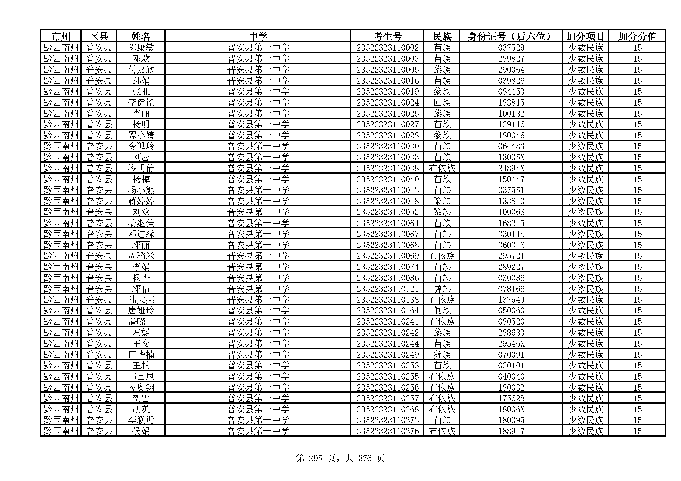
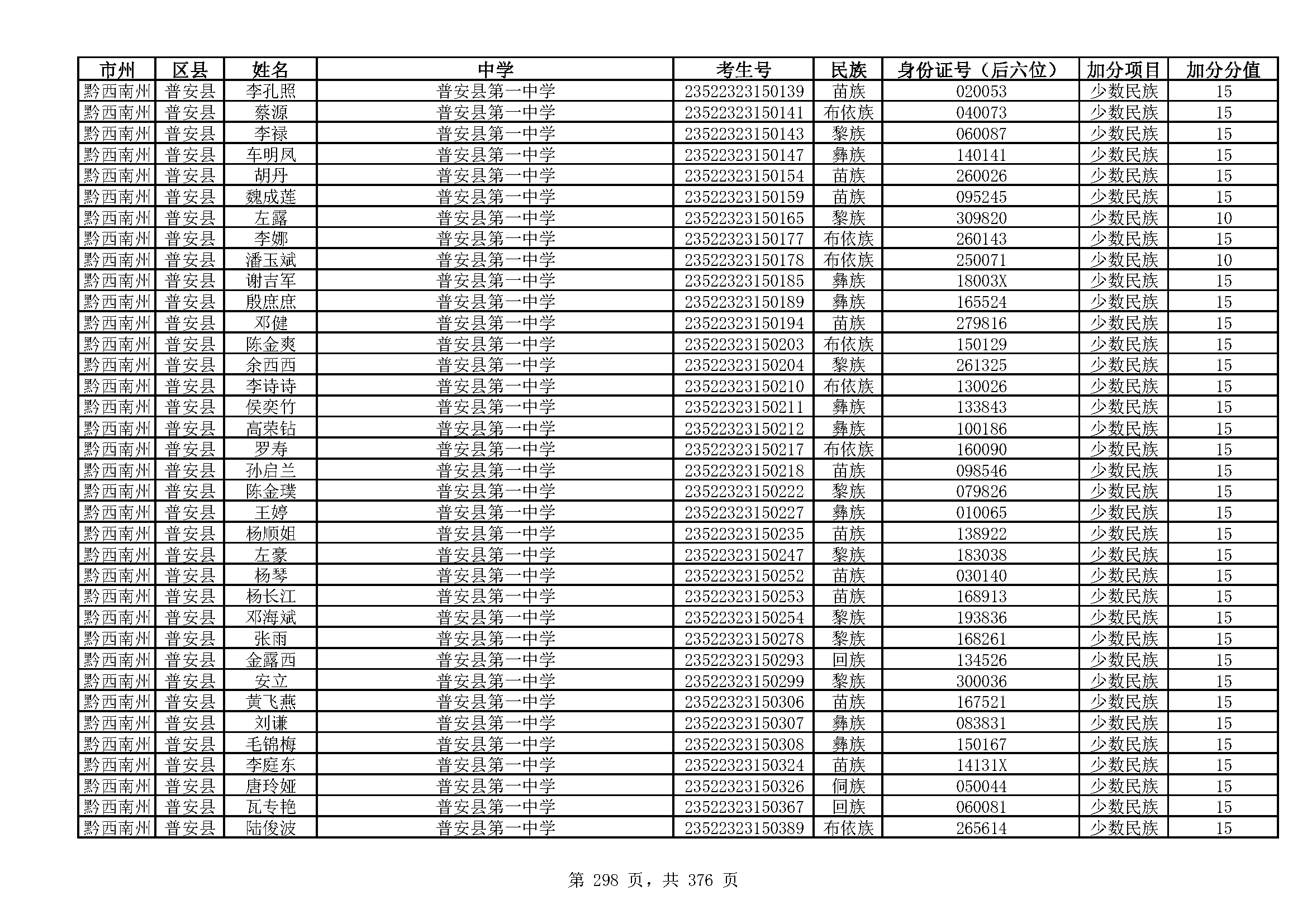
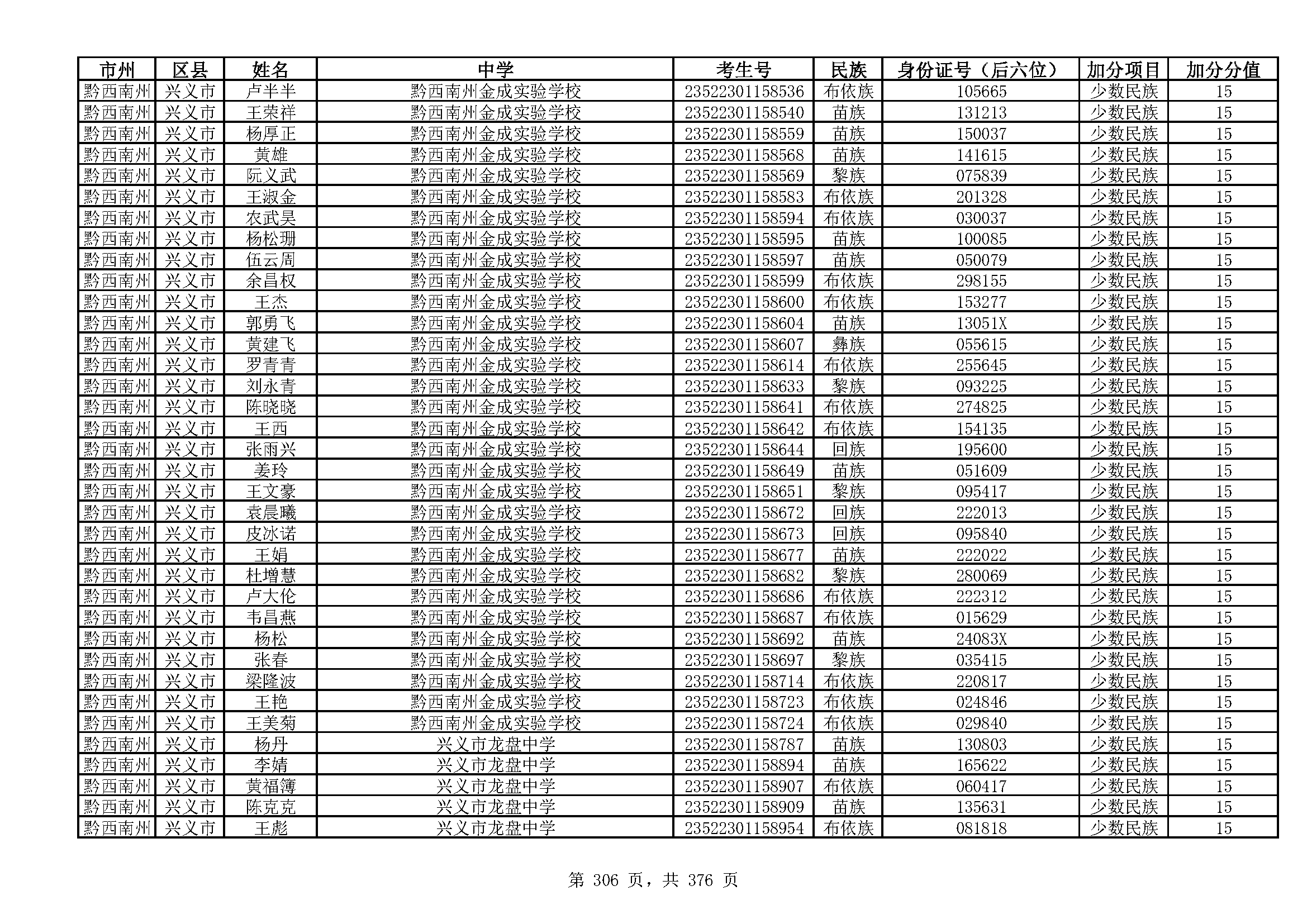
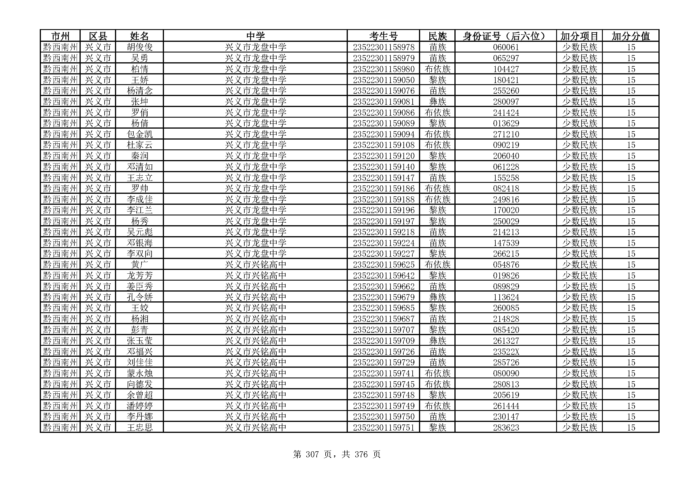
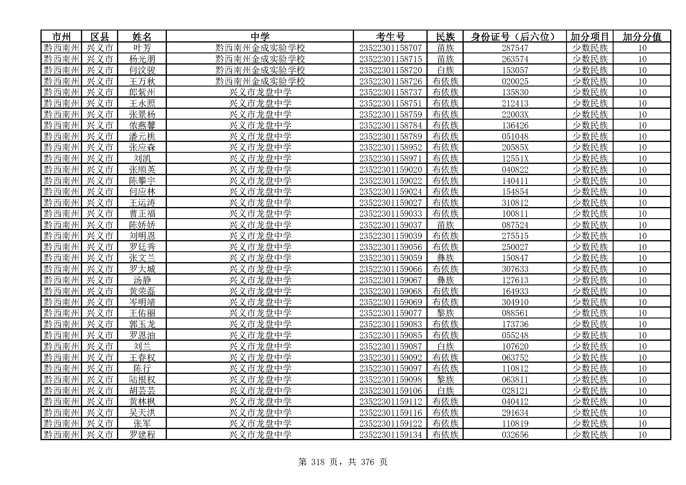
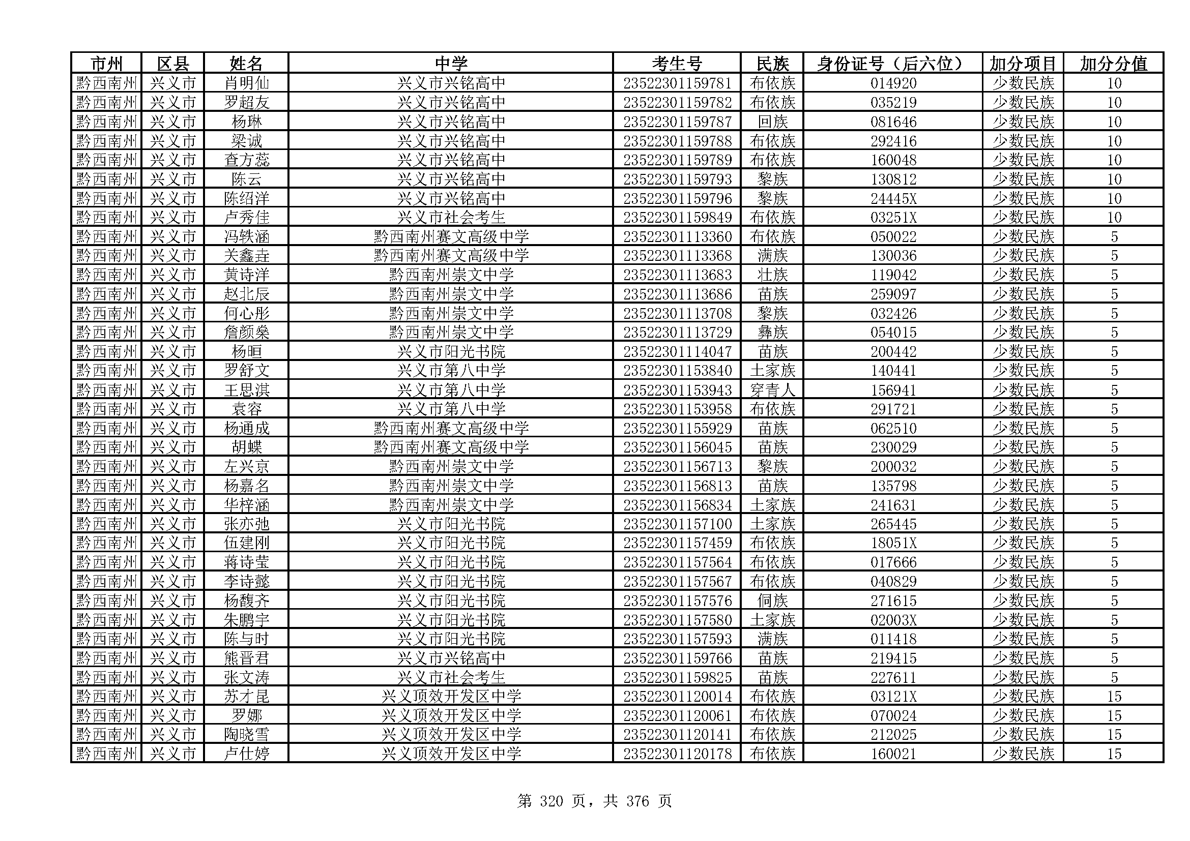
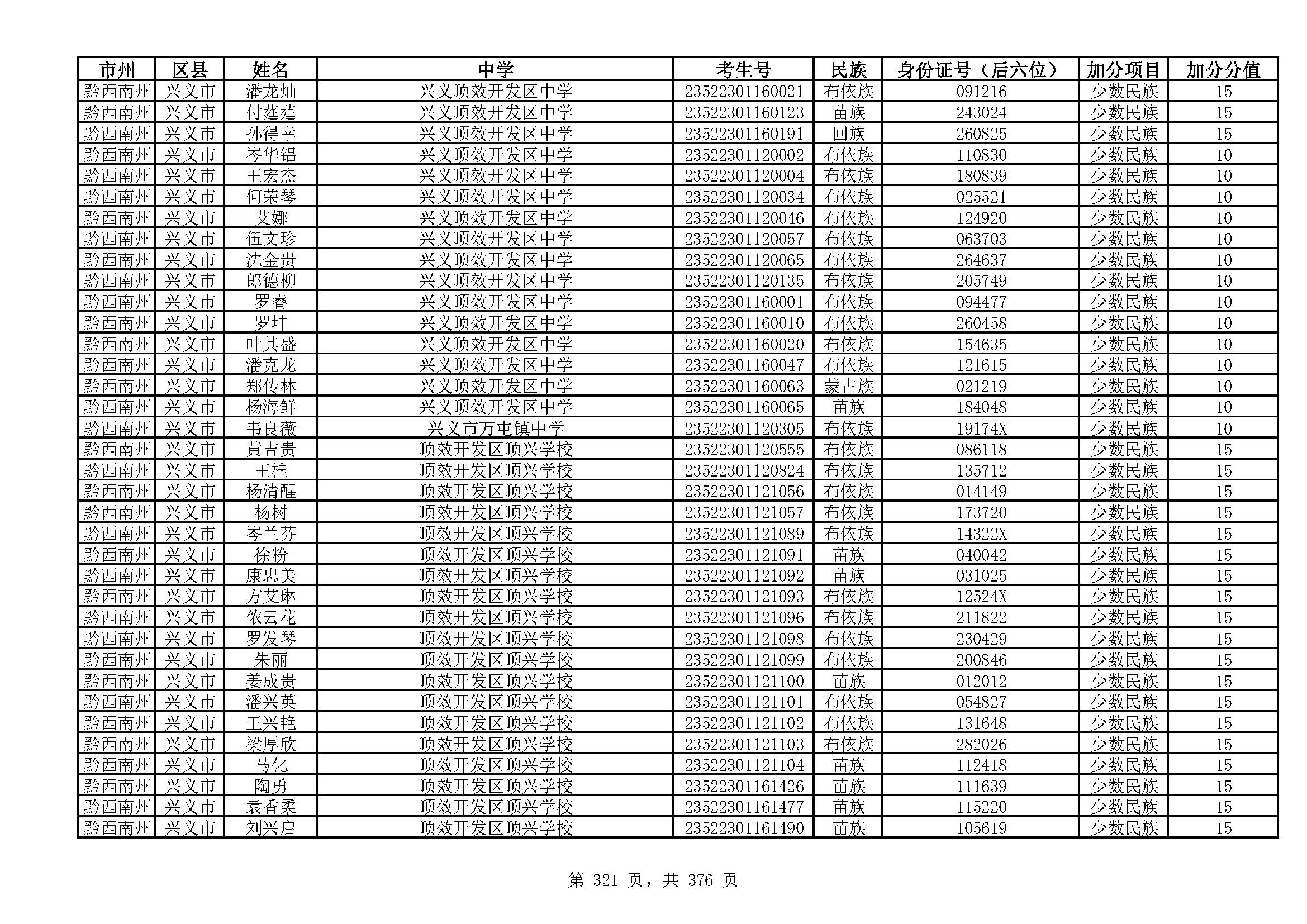
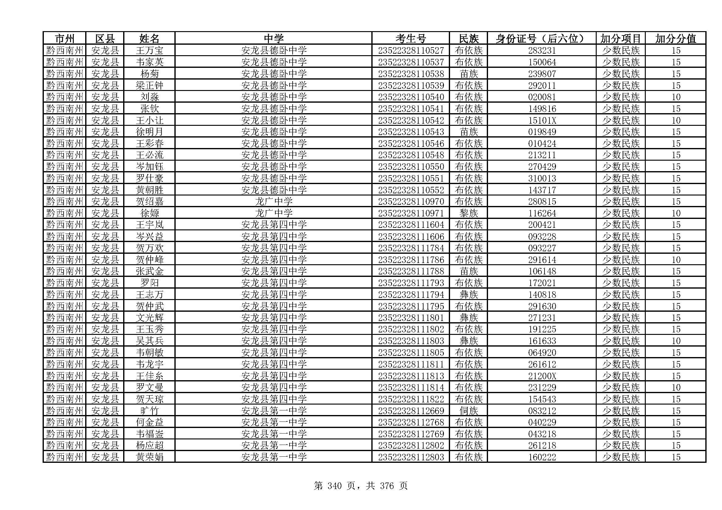
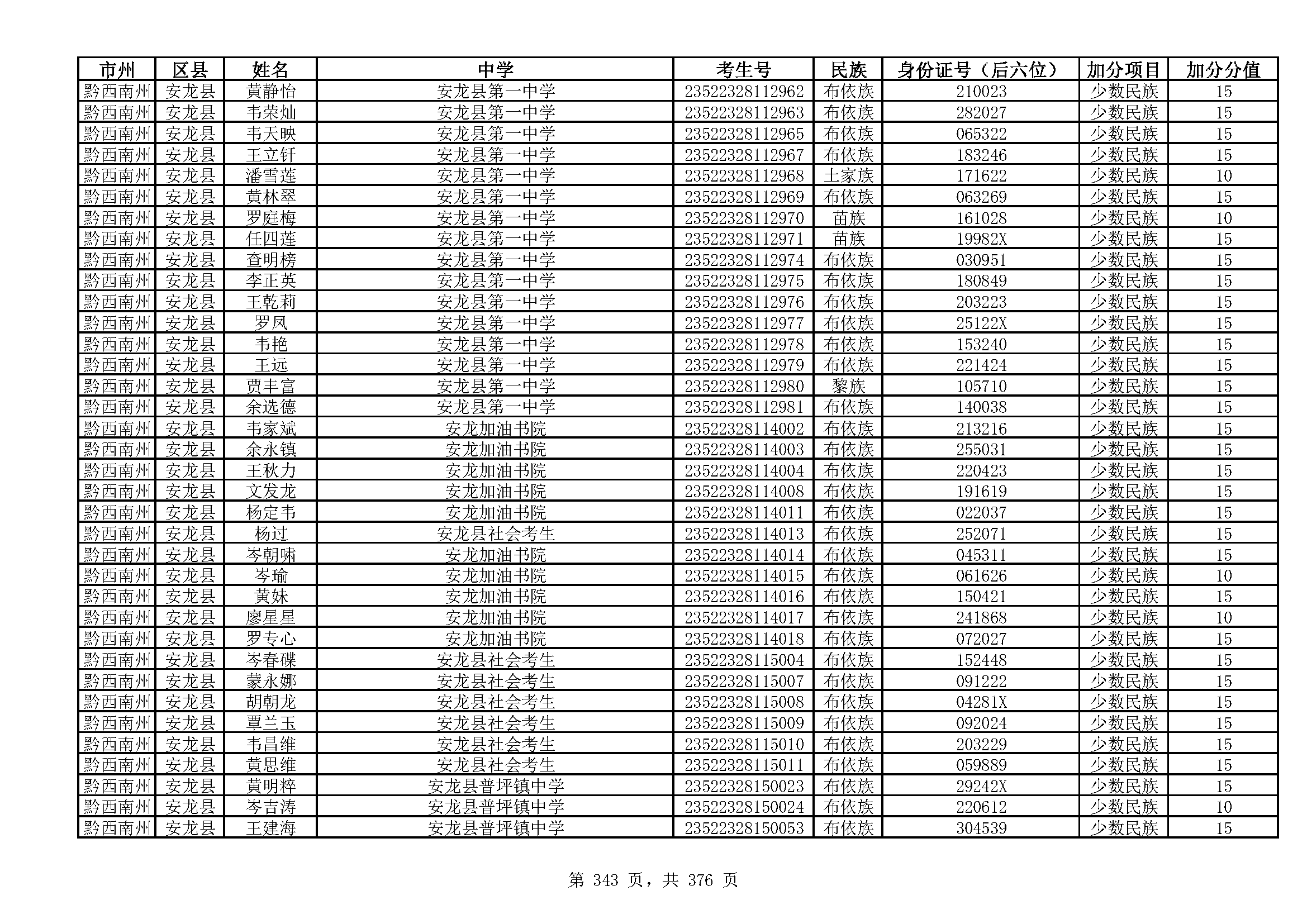
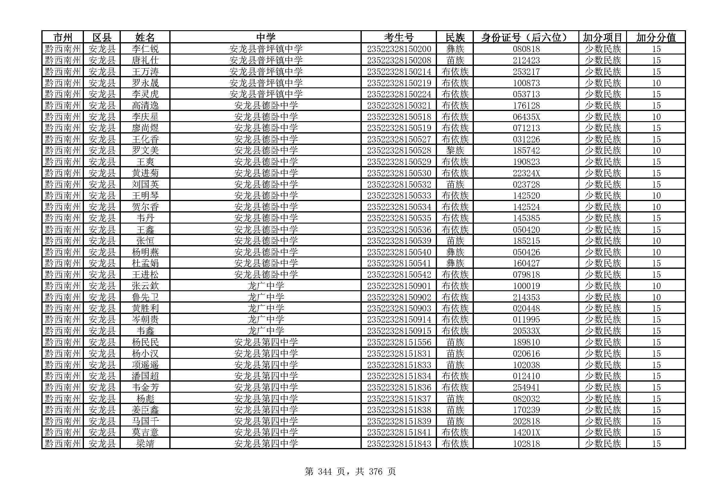
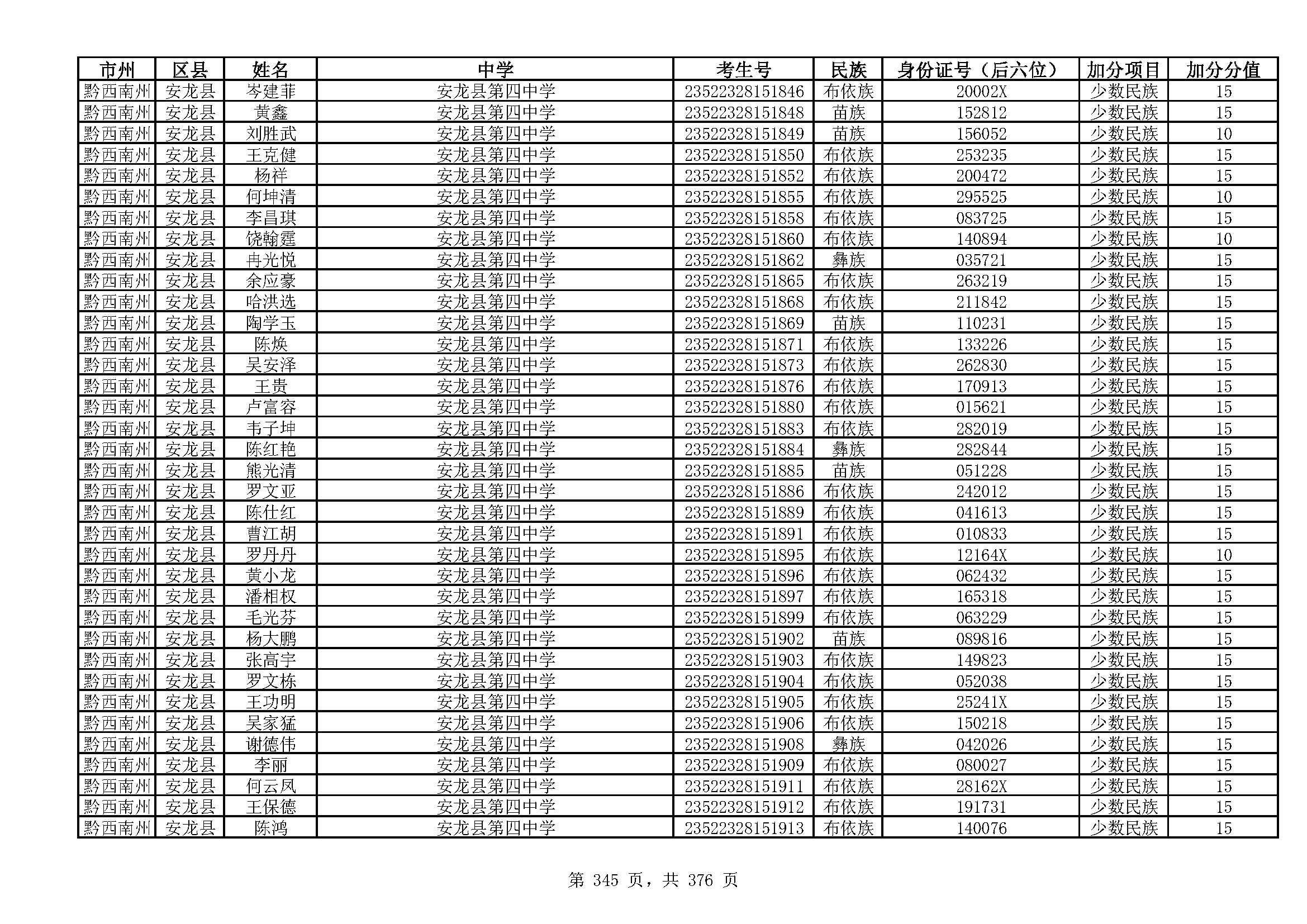
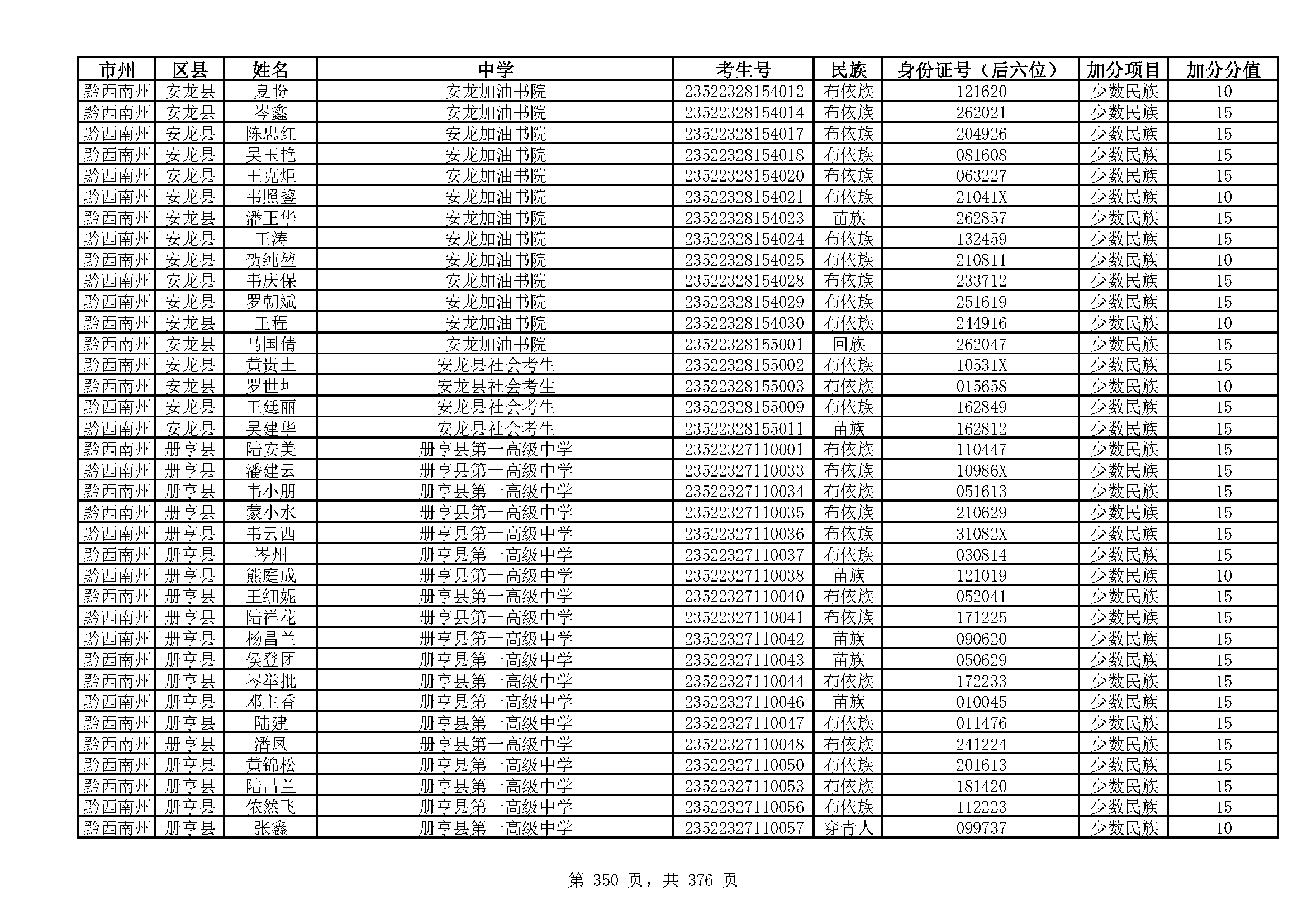
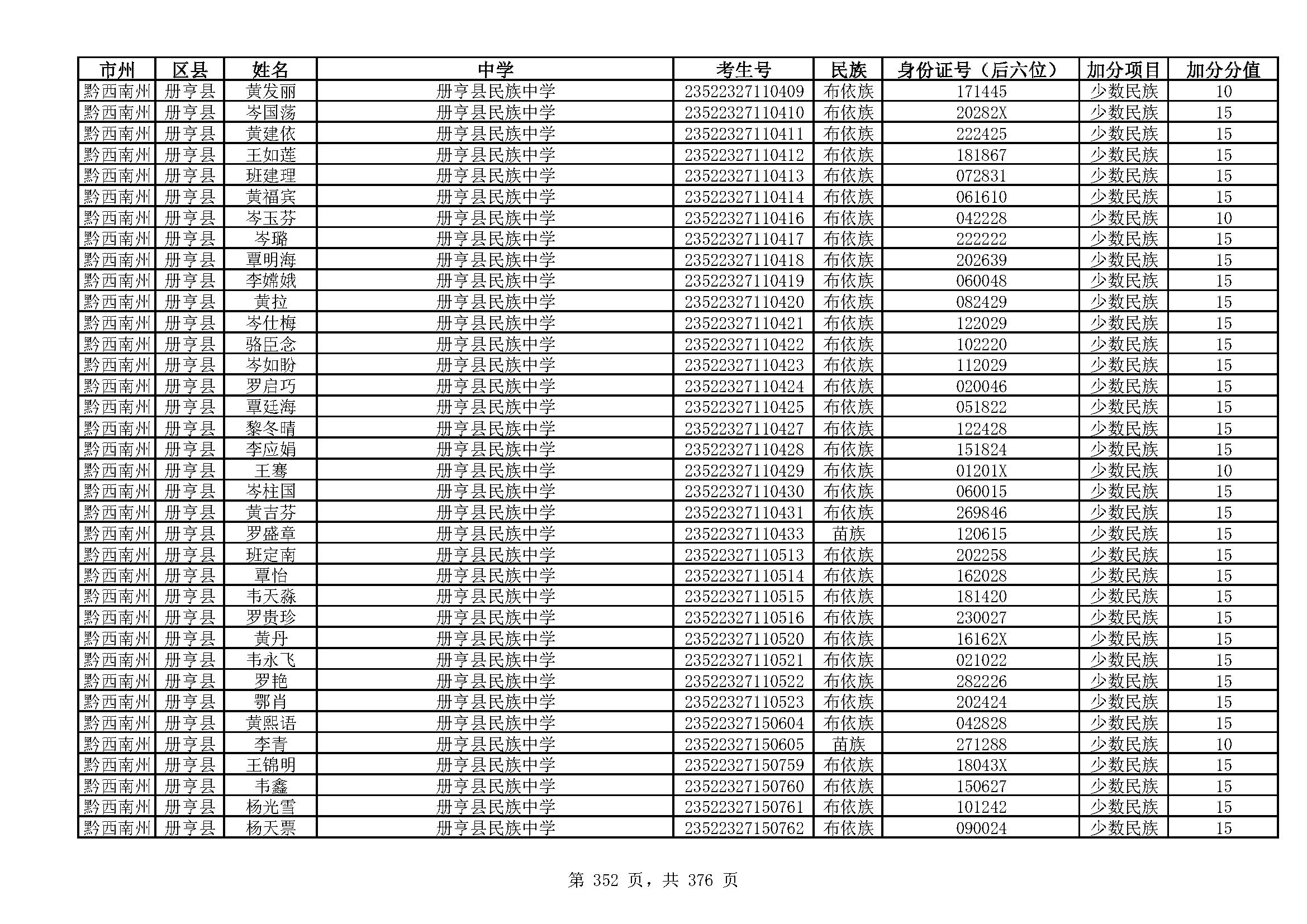
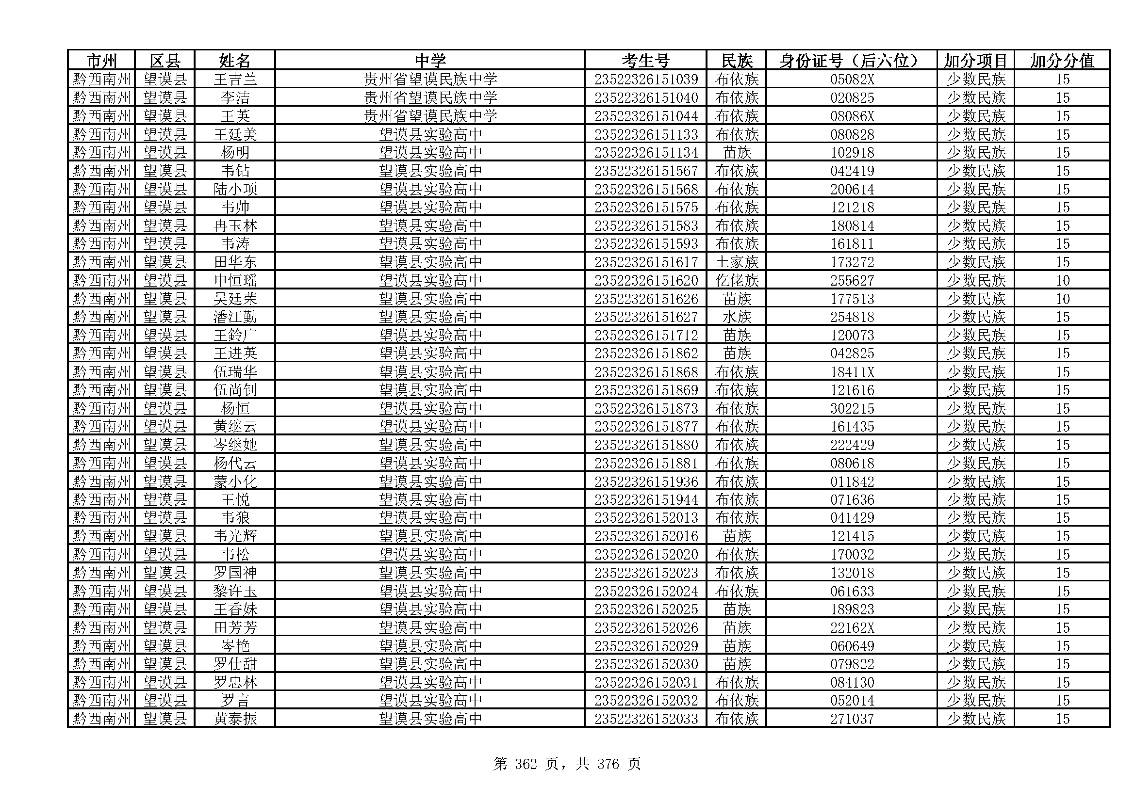
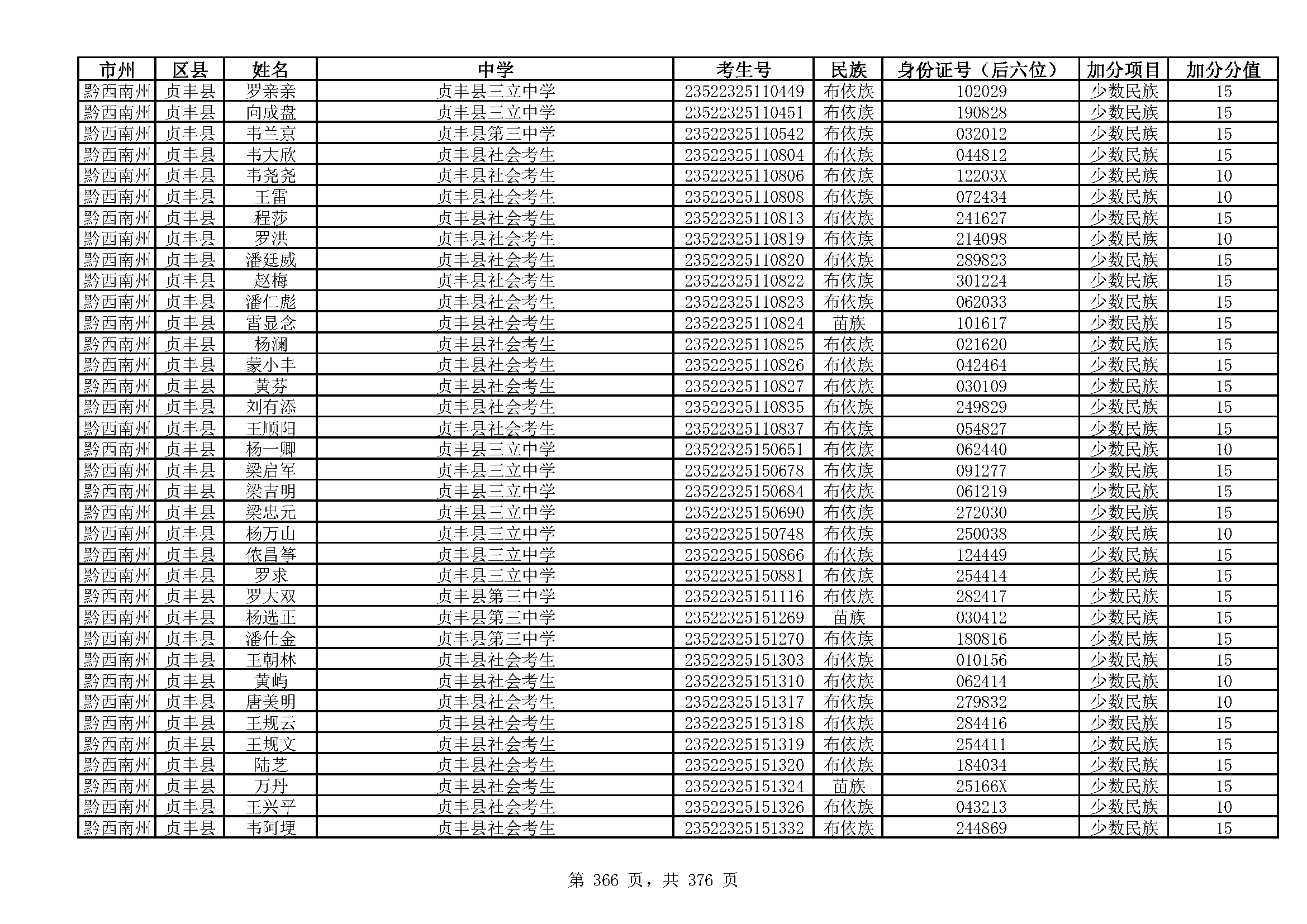
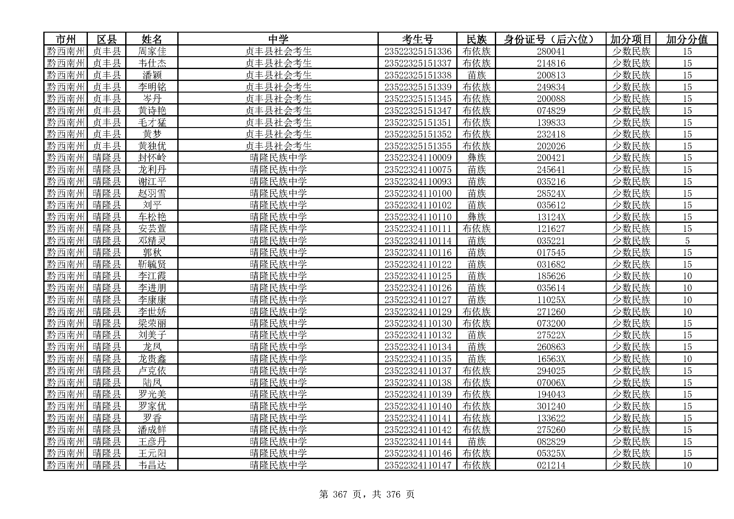
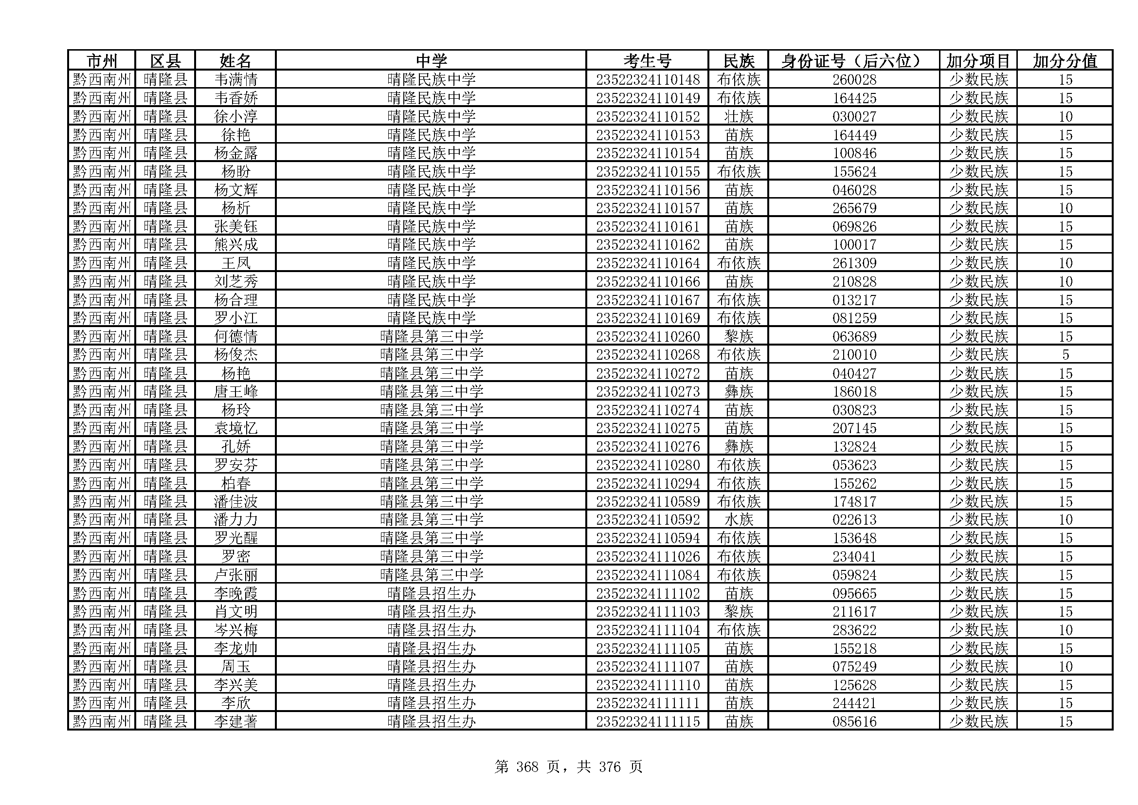
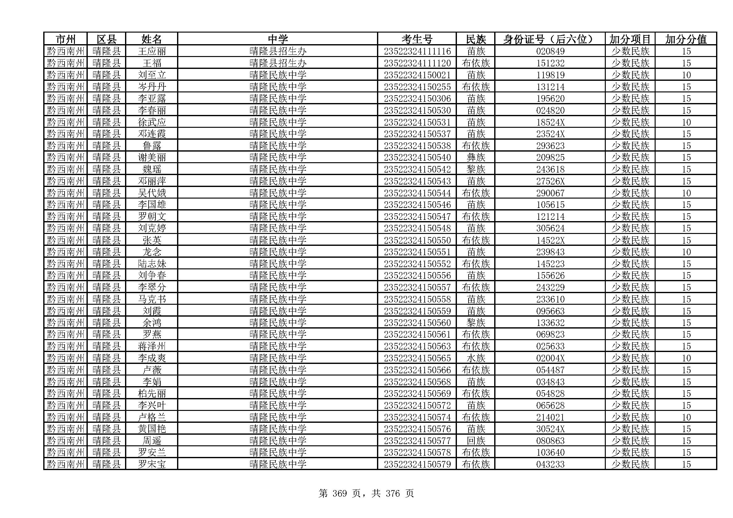
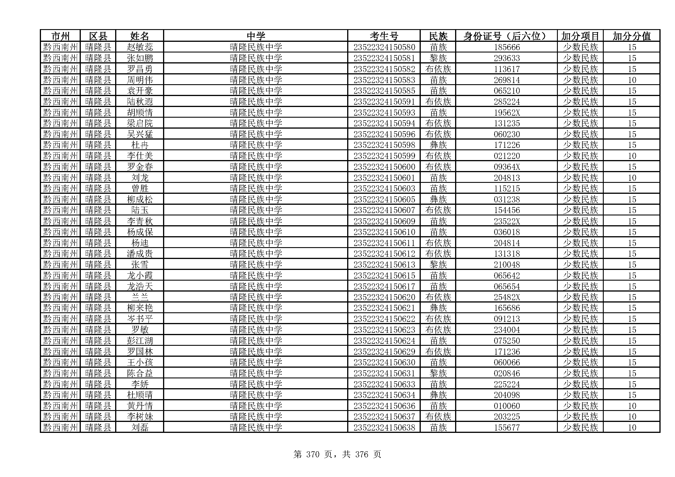
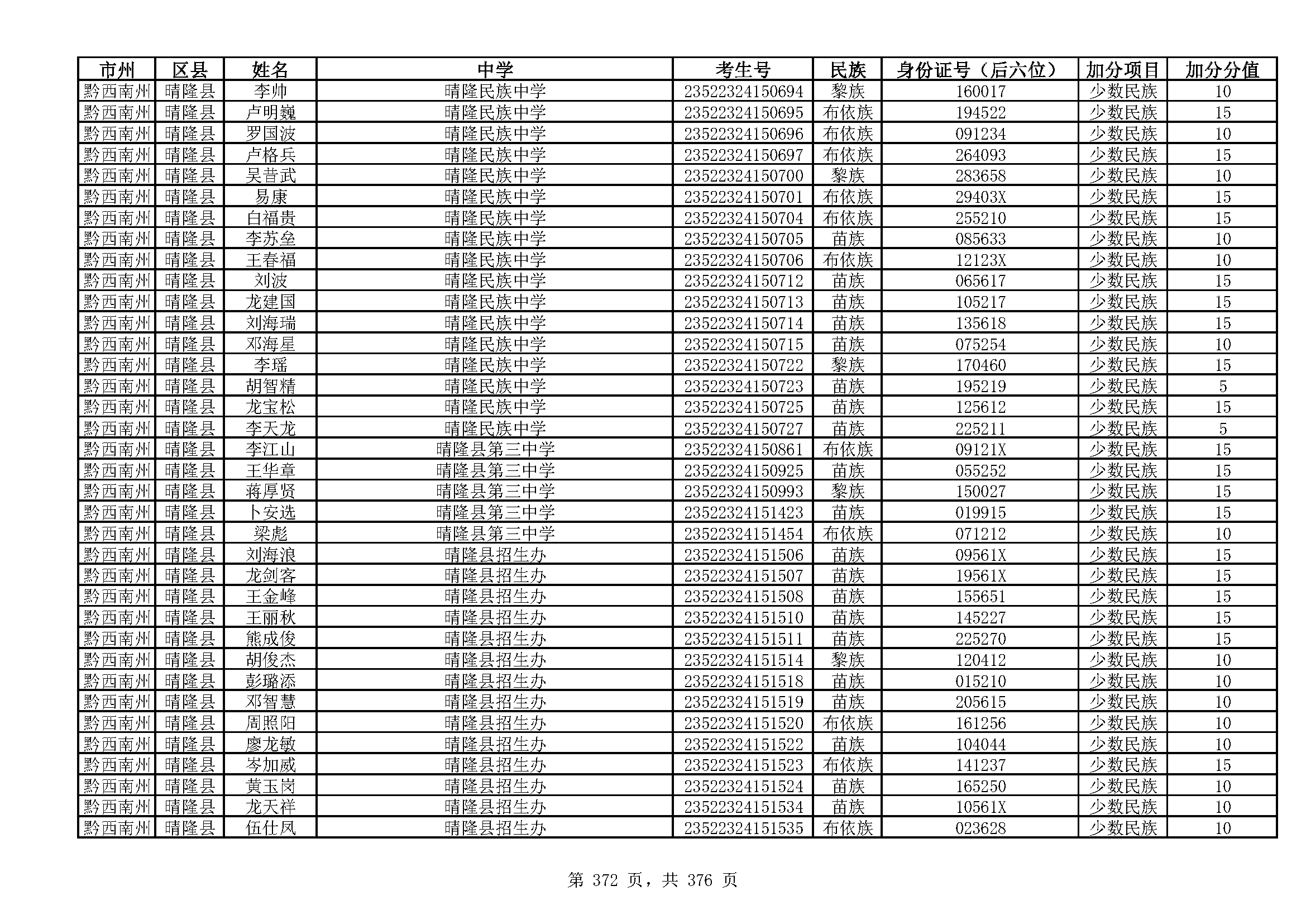
根据贵州省招生考试院公示要求,为确保公平、公正、公开,接受社会监督,现将黔西南州2023年高考政策照顾加分报考资格审查结果予以公示,公示期为:2023年5月30日至2022年6月12日(10个工作日)。公示期内,如有异议,请以书面或电子邮件形式向黔西南州招生办反映。反映问题必须实事求是,客观公正,提交材料应署姓名、联系电话、联系地址等真实信息。地址:兴义市瑞金南路47号。
举报电话:0859-3116012;0859-3123613。
举报邮箱:240863463@qq.com。
附件:
黔西南州2023年贵州省见义勇为人员(子女)加分名单.pdf




























































































































































































































































































































































































