根据实际录取进度,2021年普通高校招生第十轮征集志愿工作定于8月21日、22日进行。本轮征集志愿涉及高职专科批部分高校。本轮征集志愿实行网上填报、现场确认。考生须在规定时间内登录2021年云南省普通高等学校招生填报志愿系统(https://gkzy.ynzs.cn)进行志愿填报,在填报截止时间前完成填报并提交,在确认截止时间前到高考报名确认点进行现场签字确认(中、高风险地区确认工作按照当地要求进行)。完成确认的考生志愿方为有效志愿。考生操作流程参见云南省招考频道“2021年普通高校招生网上填报志愿考生须知”。
一、时间安排
考生填报开始时间为8月21日12:00,考生填报截止时间为8月22日11:00,确认截止时间为8月22日12:00(确认点现场确认工作时间:8月21日14:00—18:00,8月22日9:00—12:00)。
二、成绩要求
(一)文理科
不低于200分。
(二)艺术体育类
1.艺术类
文化成绩:不低于200分。
专业成绩:音乐类:125分;美术学类与设计学类(专科):180分;舞蹈类:125分;播音与主持:185分;广播电视编导:170分;体育舞蹈:190分。
2.体育类
文化成绩:不低于200分。
专业成绩:60分。
(三)三校生
艺术类不低于80分,体育类、经济管理类、建筑工程类不低于100分,其他尚有空余计划类别不低于相应高职专科批最低控制分数线以下20分。
三、填报资格
自愿放弃录取、已投档、已录取的考生不参加本轮征集志愿。填报征集志愿的考生,应认真阅读招生院校招生章程,结合自身条件进行填报。
四、投档原则
本轮征集志愿投档按照艺术体育类高职专科批、文理科高职专科批的顺序依次进行。被投档至艺术体育类高职专科批的考生,不再参加文理科高职专科批的投档。
三校生高职专科批单独进行投档。
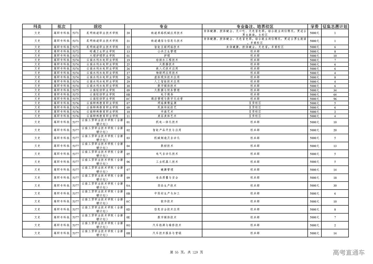
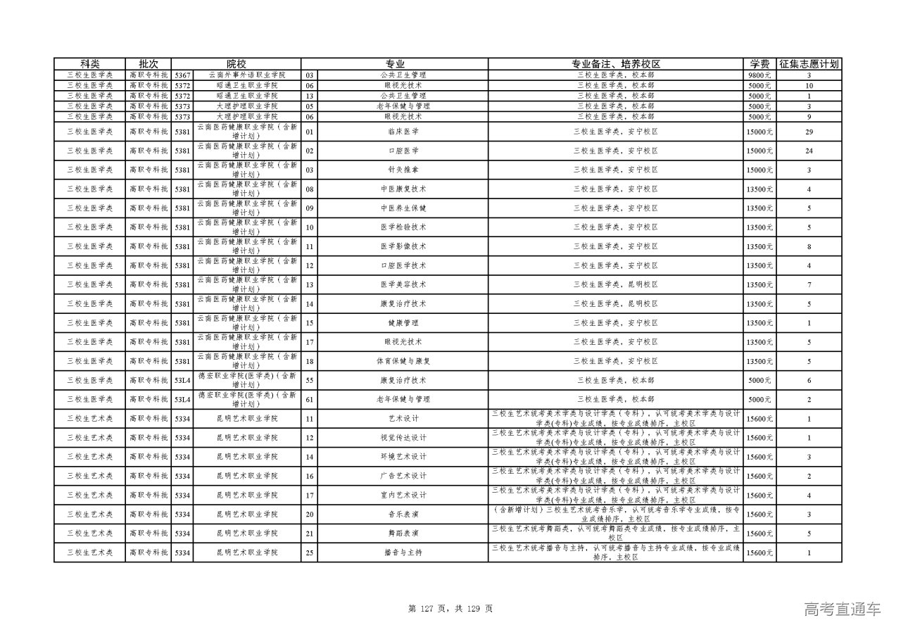
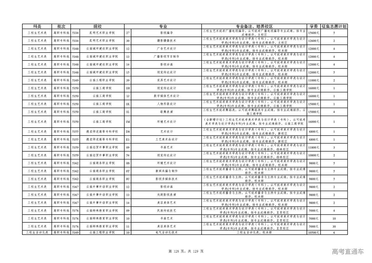
附件(点击查看或下载):2021年普通高校招生第十轮征集志愿招生计划
































































































































