讲个恐怖故事,下下周五就是2024年夏季高考了!广东各校历年高考投档数据是择校填志愿的重要参考,但也有特殊情况出现,例如:
2023年顺德职业技术学院最高录取分589分,超本科线156分,这个分数都可以报本科211院校了!
去年还有考生453分捡漏上广州大学,主要原因是土木类专业爆冷,平均分也只有518分。
此外,还有广东省外语艺术职业学院物理类501冷门专业组最低250分上岸的“黑马”...
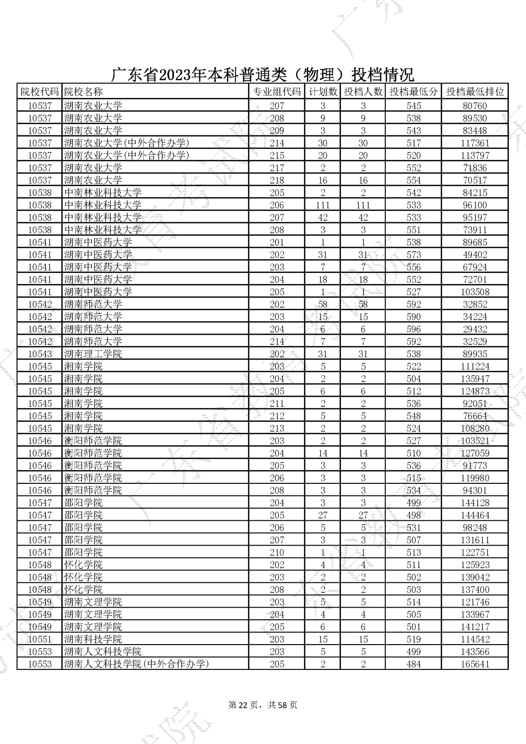
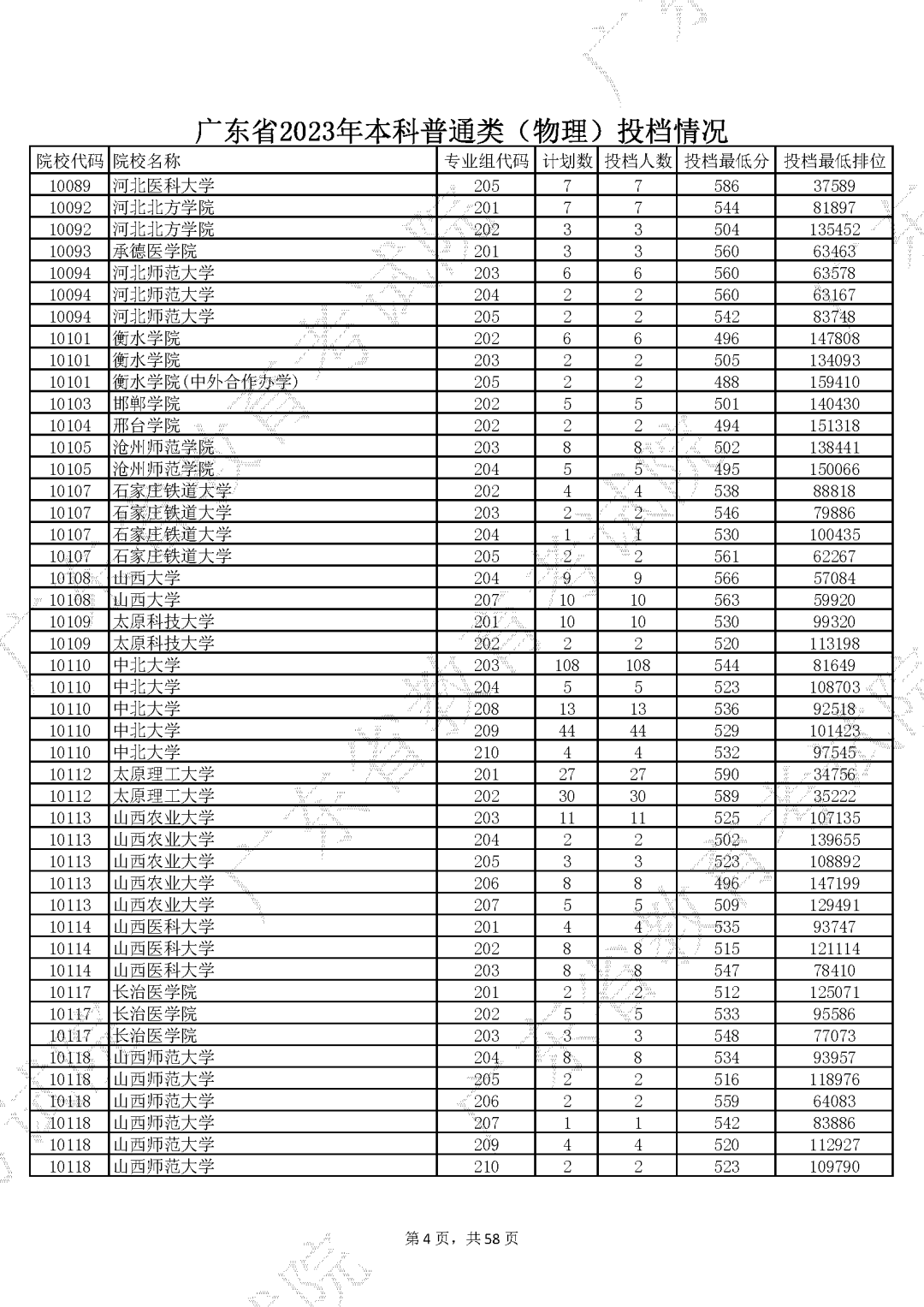
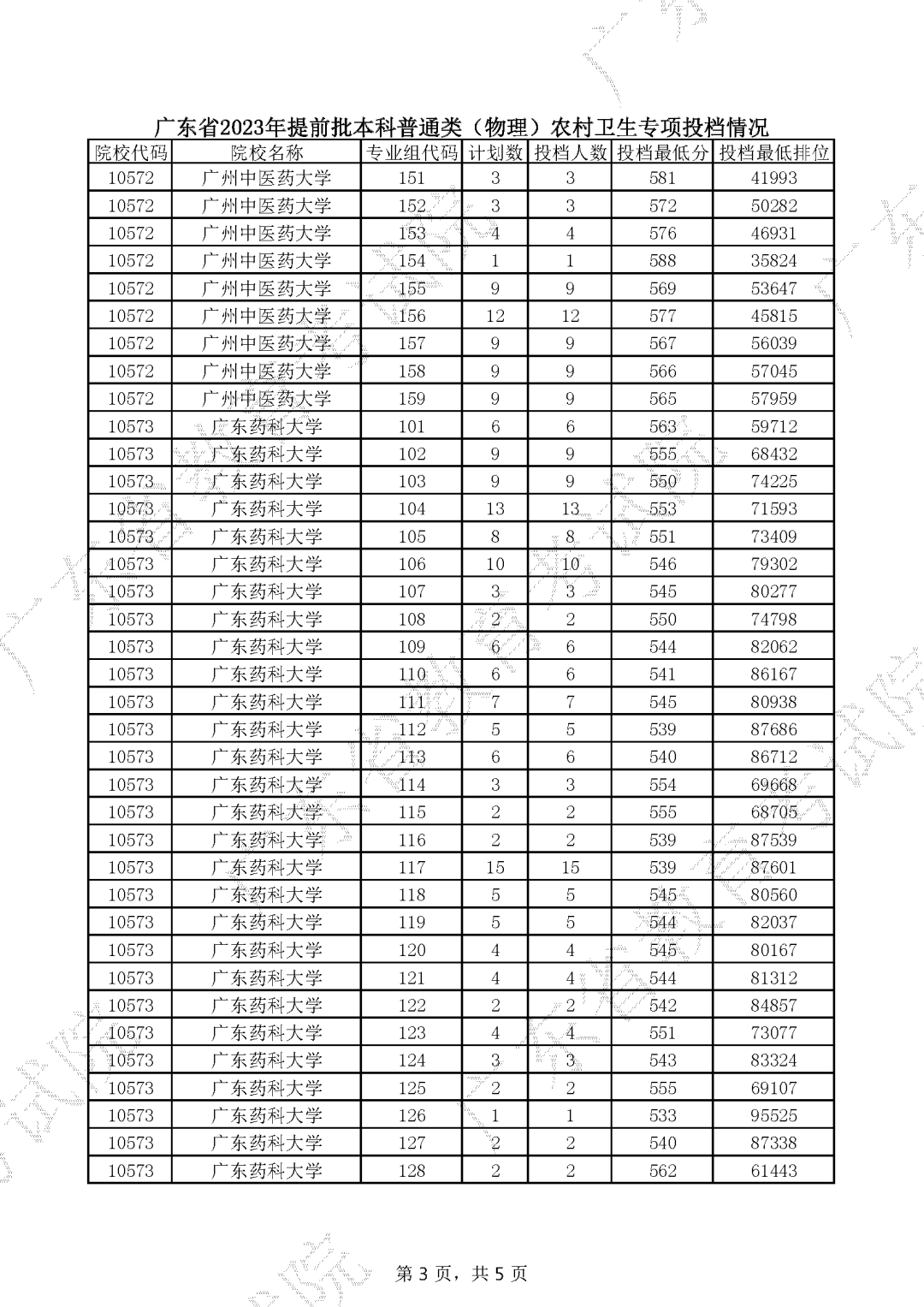
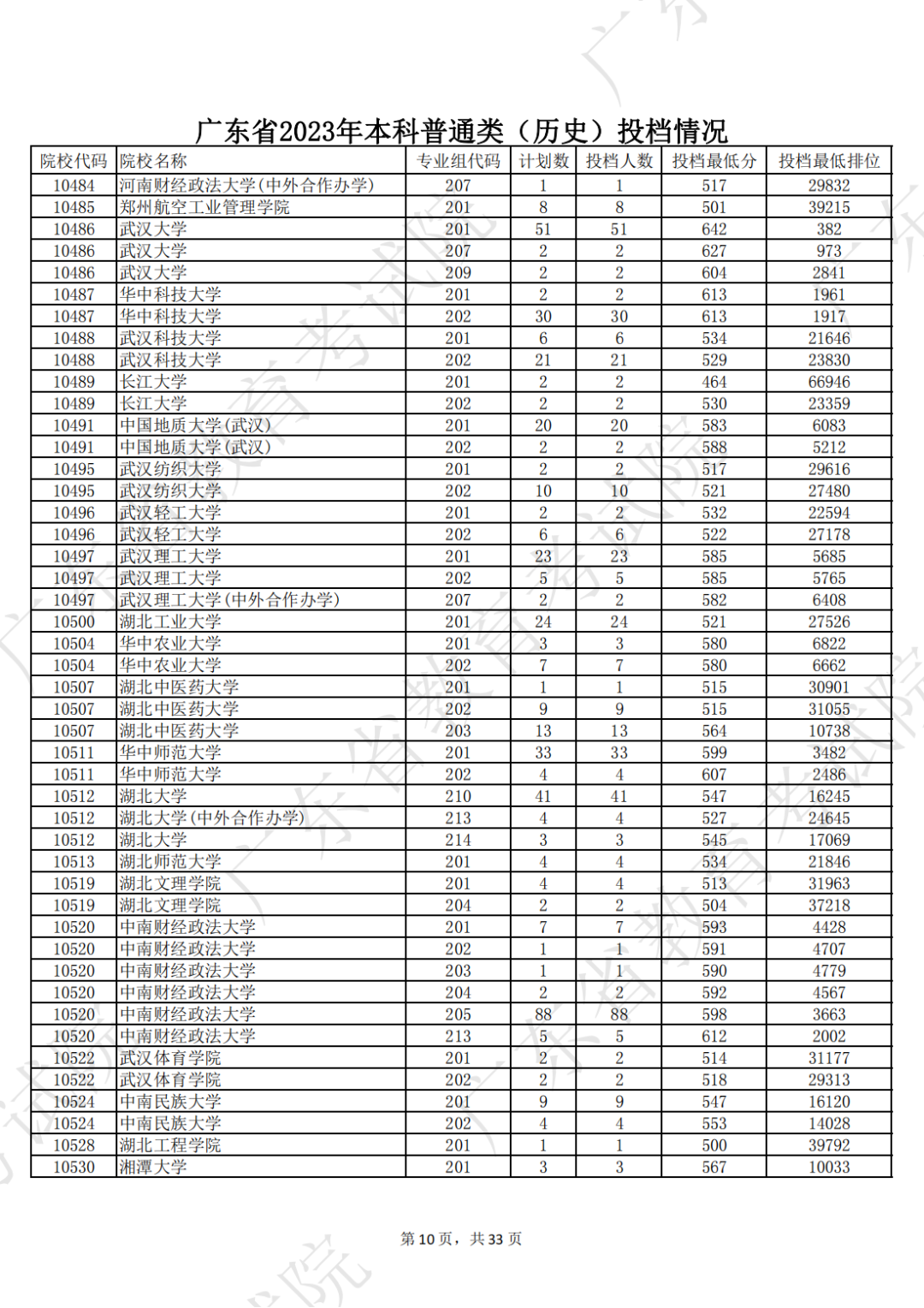
但并不是每年高考都那么“好运”的,夏季高考的竞争往往很激烈,因此填志愿更是一门学问。高考直通车为大家汇总了2023年广东高考各批次投档分数和排位情况,考前可以当作目标参考,考后也可作为填报参考,建议收藏!(以下图片滑动查看)
空军、海军招飞院校
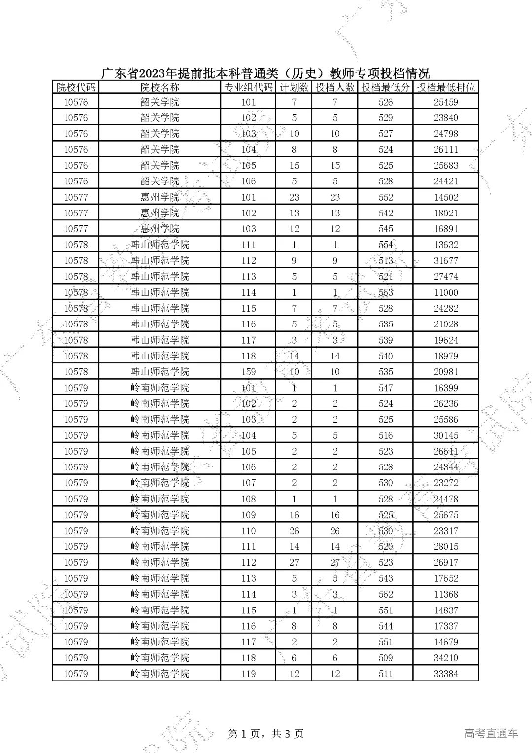
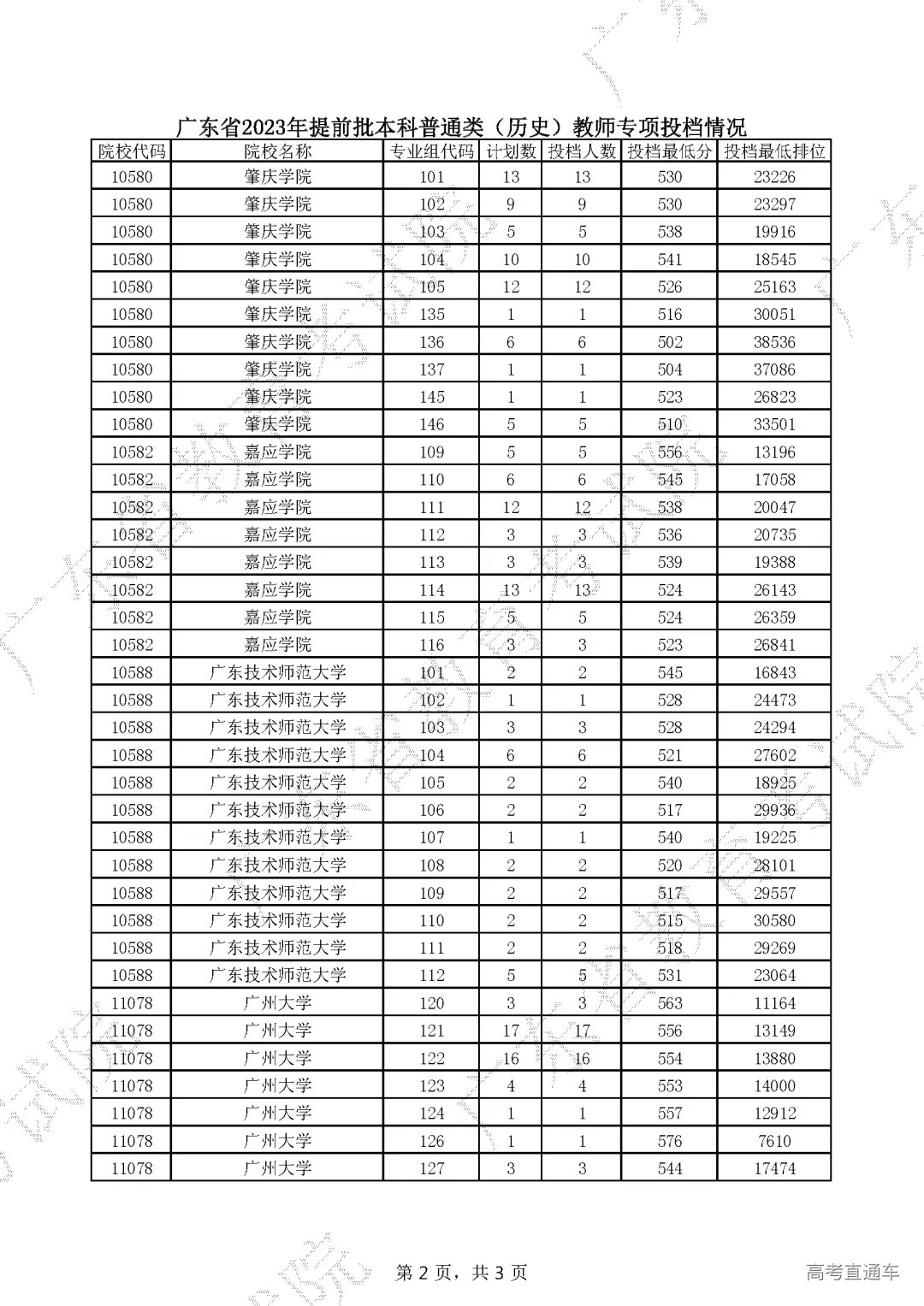
历史组:
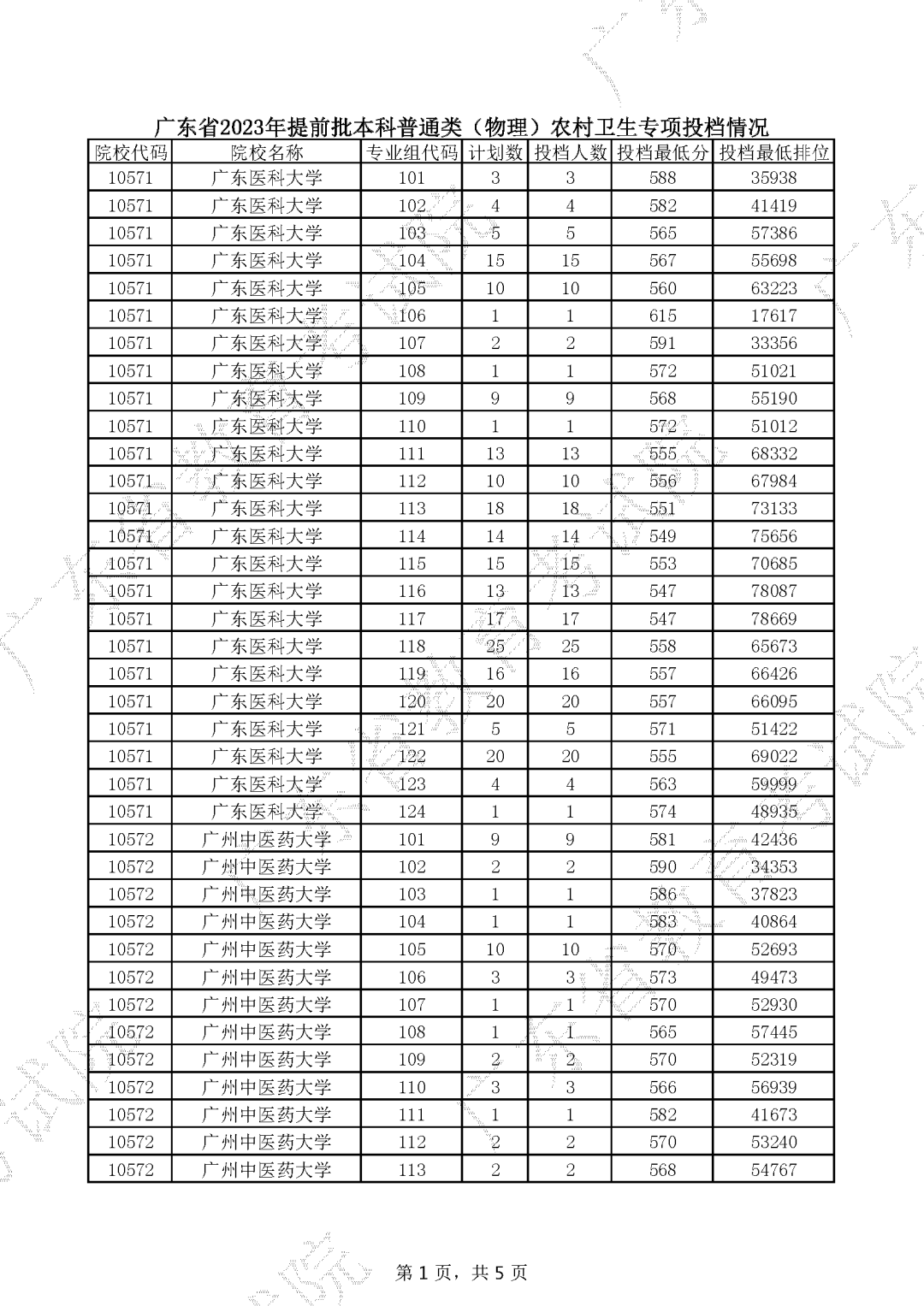
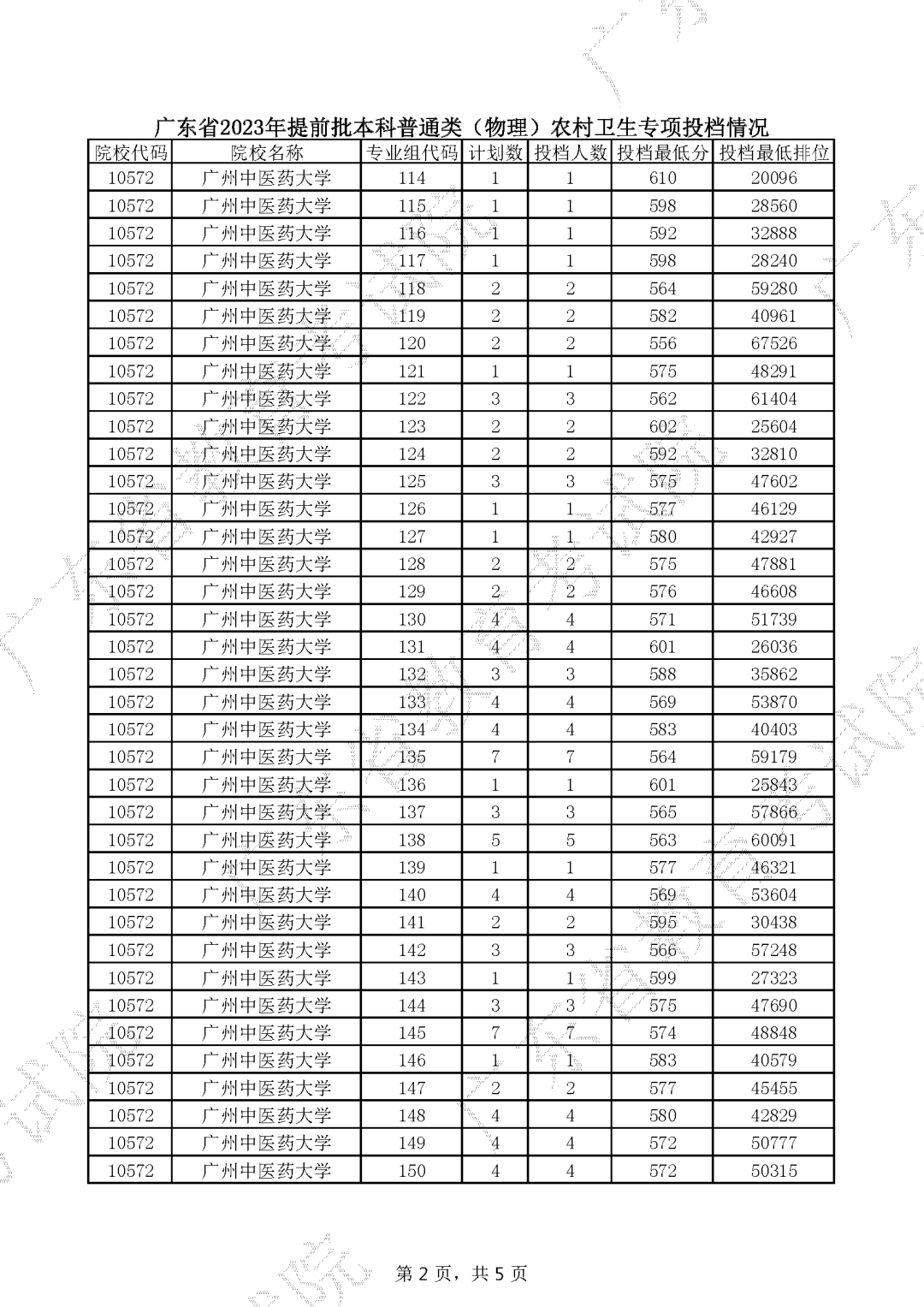
物理组:
军检、面试院校
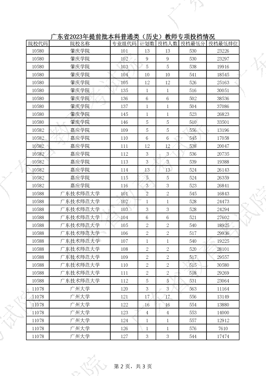
历史组:
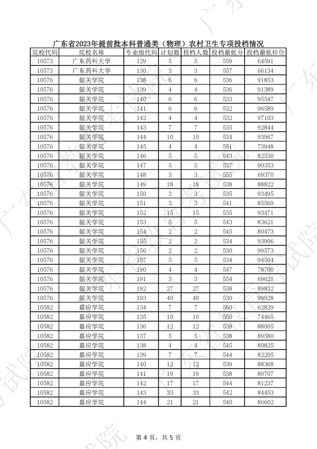
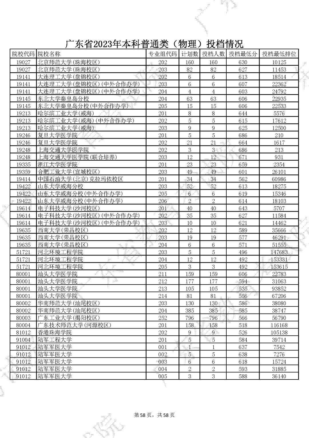
物理组(滑动浏览):
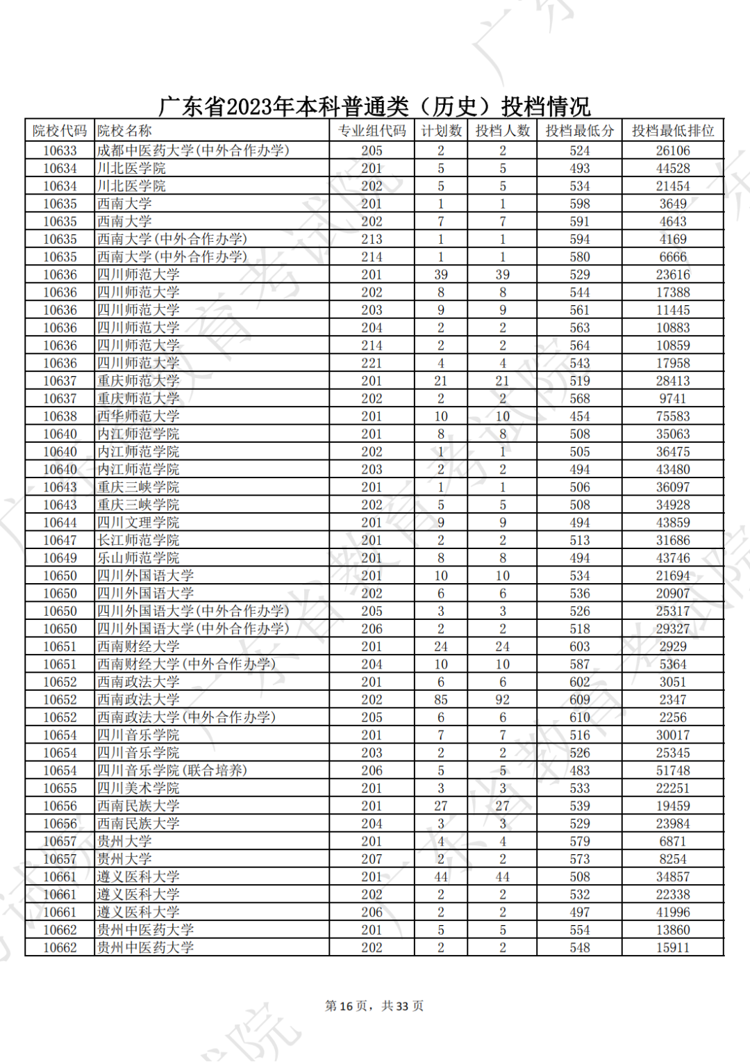
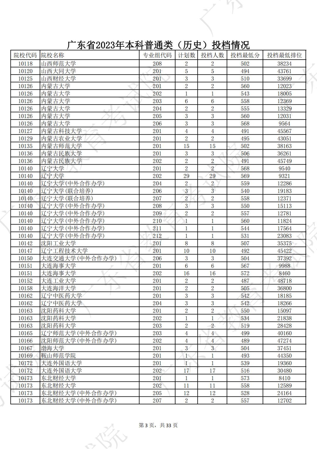
历史组:
物理组:
物理组:
历史组:
体育类:
美术类统考:
物理组(滑动浏览): 历史组(滑动浏览):
物理组(滑动浏览): 历史组(滑动浏览): 美术类(滑动浏览): 音乐类(滑动浏览): 体育类(滑动浏览): 舞蹈类: 书法类:
广播电视编导类:
播音与主持类:
物理组:
历史组:
物理组(滑动浏览): 历史组:
物理组(滑动浏览):
历史组(滑动浏览):
美术类(滑动浏览): 音乐类: 体育类: 书法类: 舞蹈类: 广播电视编导类: 播音与主持类:





















