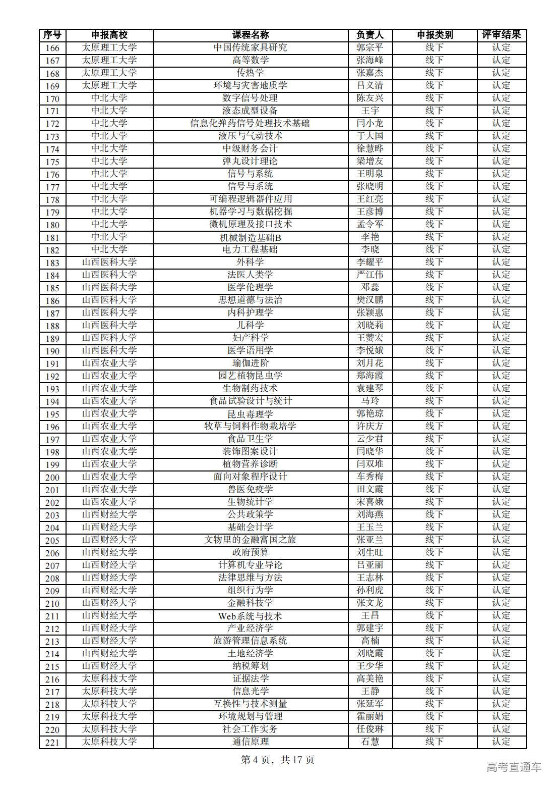
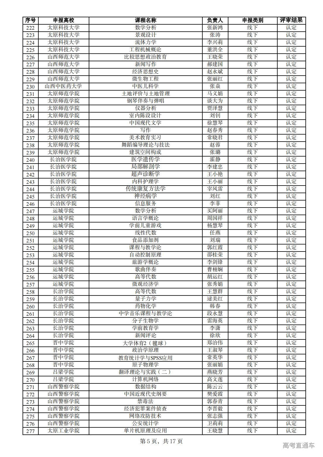
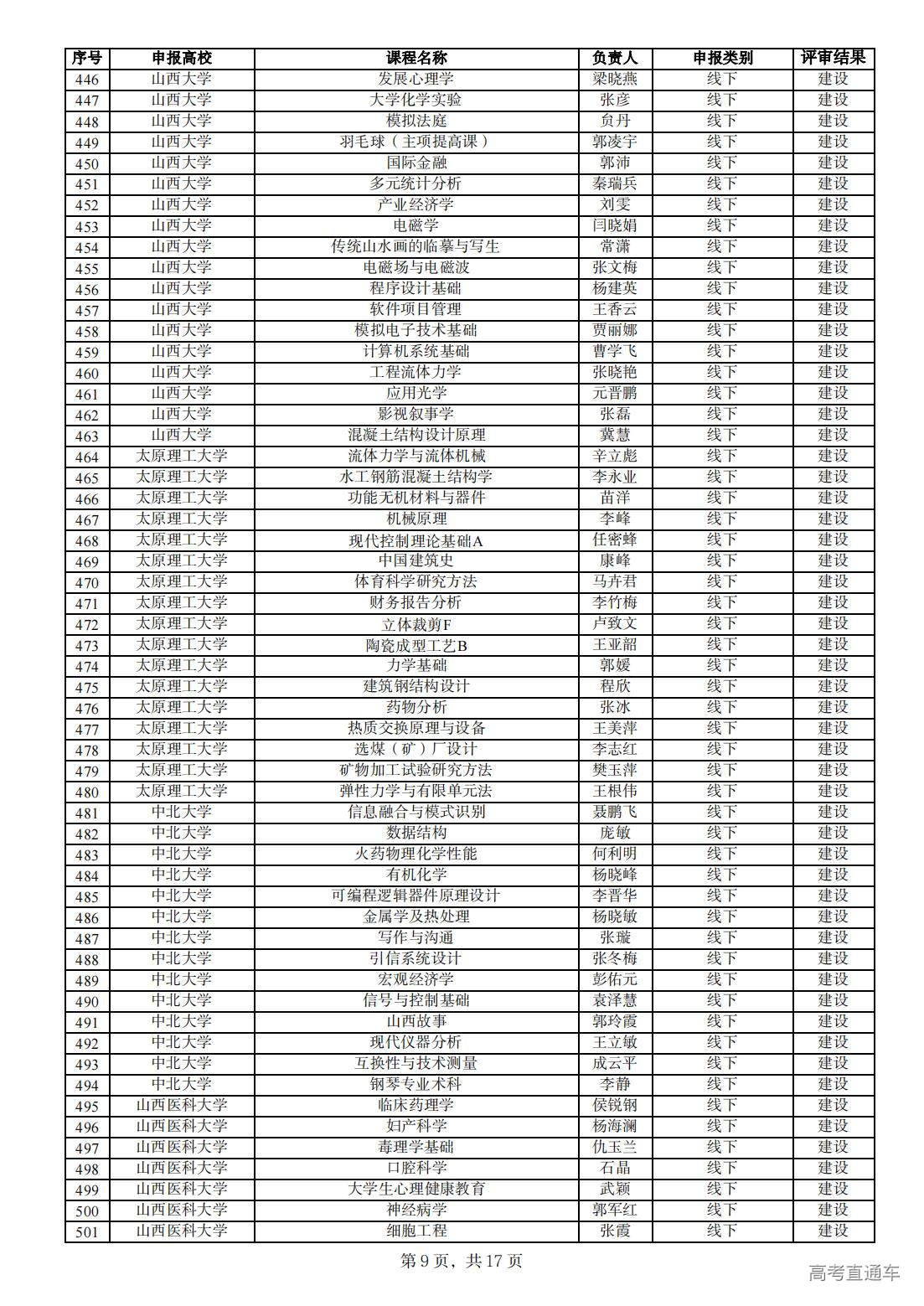
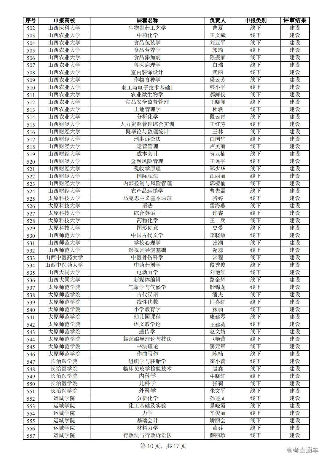
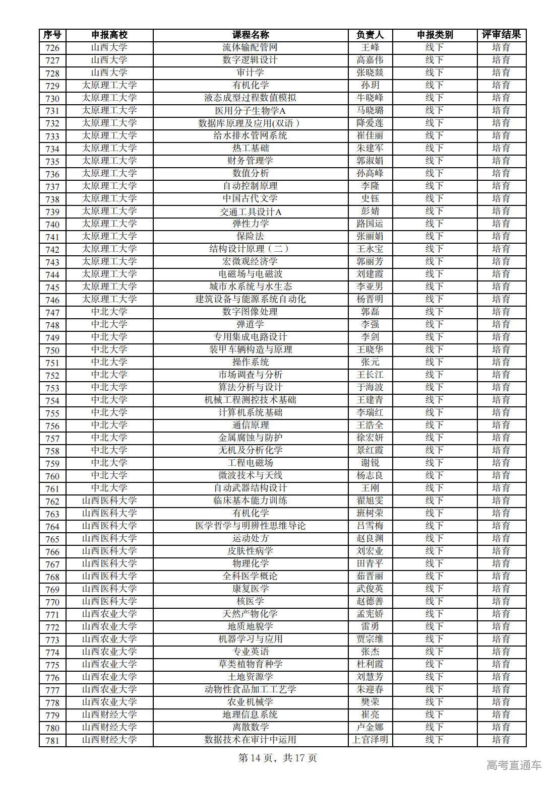
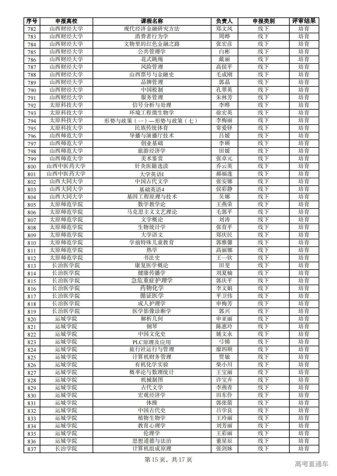
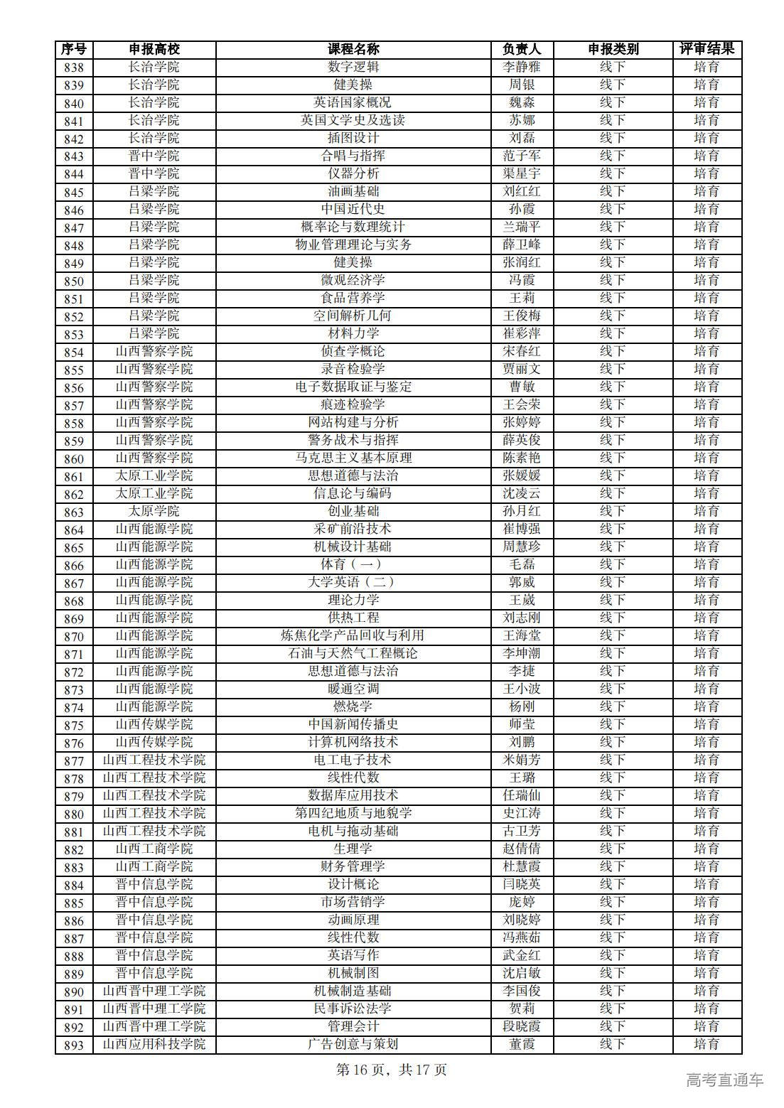
根据《山西省教育厅关于开展2024年山西省一流课程认定工作的通知》(晋教高函〔2024〕2号)要求,经过形式审核、通讯评议和会议评审等环节,产生省级认定课程345项、建设课程281项、培育课程283项。现将名单予以公示(见附件)。
公示期为2024年5月27日至5月31日。公示期间,如有异议,请以书面形式向省教育厅高等教育处反映,并提供必要的证据材料,以便核实查证。以单位名义反映的须加盖本单位公章,以个人名义反映的应署真实姓名、身份证号,写明联系电话。逾期及匿名反映不予受理。
联系电话:0351—3046828
电子邮箱:gjc@sxedc.com
















