点击微信扫码关注,获取最新高考录取资讯和分析
2020年我省高考普通类一段,艺术类第二批一段、体育类一段平行志愿今天上午8:30投档,在浙招生各高校的专业投档分数线随后出炉!按照今年高考招生录取进程,预计相关考生可于8月21日晚,通过浙江省教育考试院网站(www.zjzs.net)、“浙江考试”微信公众号或“浙里办”APP,查询自己在本轮投档后的录取状态。
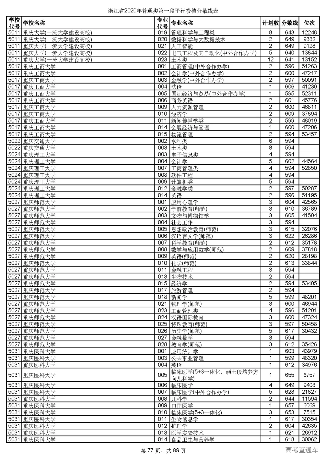
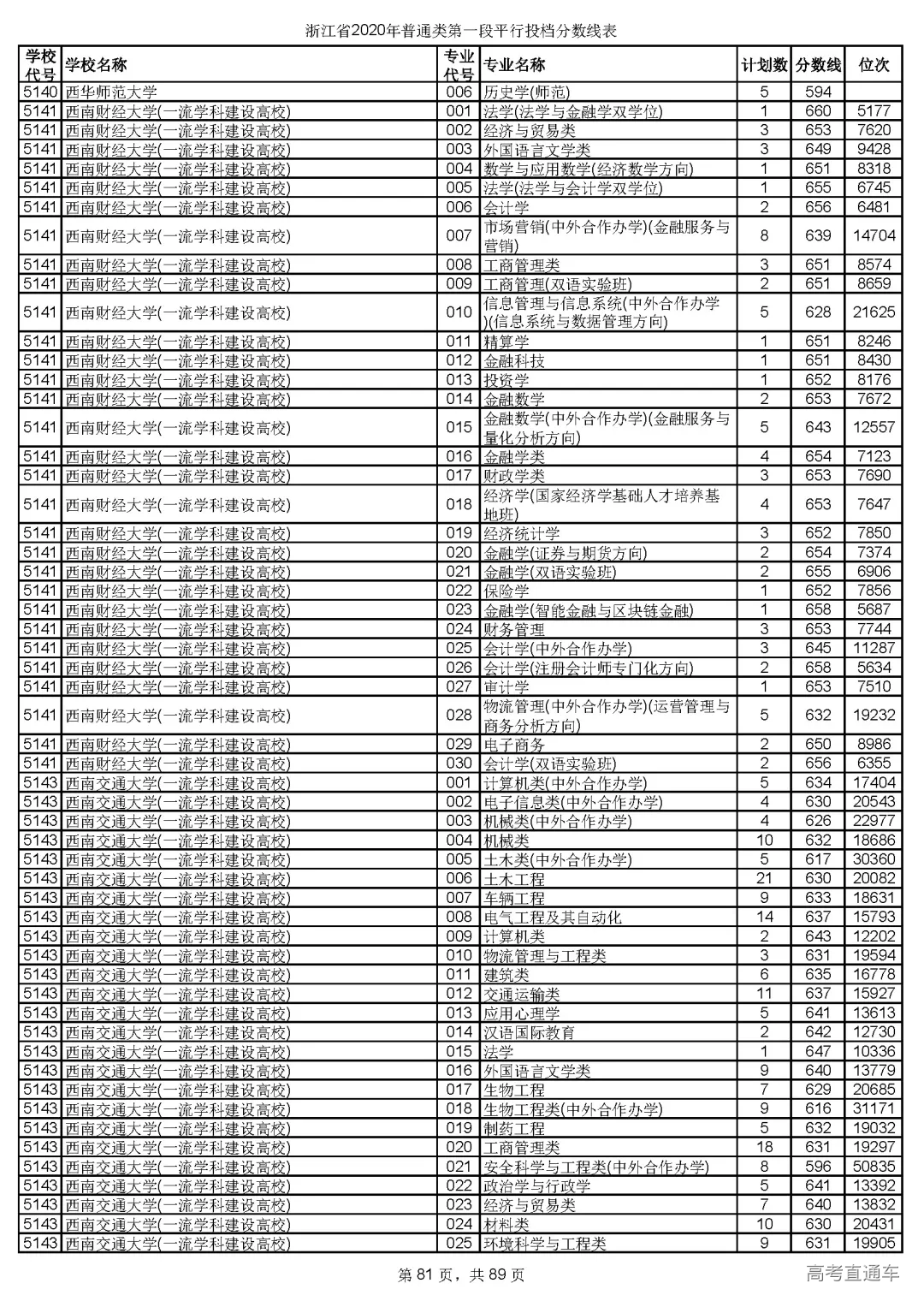
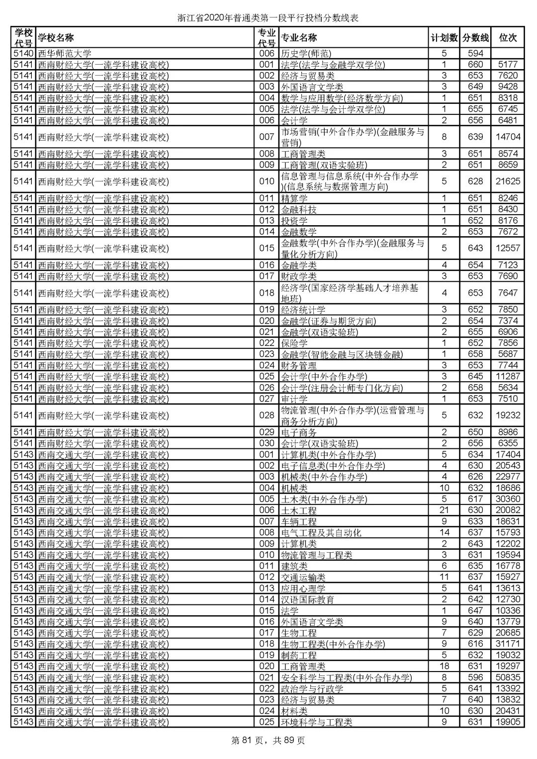
投档线怎么形成,怎样使用 浙江新高考招生实行专业平行志愿,按“分数优先、遵循志愿”的投档规则和招生计划1:1的比例,直接投到考生所填报的具体院校的具体专业(类)。被投档的最后一名考生的分数即为该校该专业投档线,由计算机投档后自动生成。 那么,平行投档分数线具体该怎么看,怎么知道是否被投档?考生根据投档分数线查询自己投档状态时,要按志愿顺序、对照位次依次进行,一旦符合条件即说明已经被该校该专业投档。高考总分相同时按位次、志愿顺序投档,若考生总分上线但位次或志愿序号未达到,仍将无法被投档到该专业。 需提醒的是,专业投档分数线的高低,主要由该院校专业报考生源人数、招生计划数所决定。报考人数尤其是高分考生多,就会导致专业投档分数线上升;专业招生计划数大,其投档分数线也会相对下降。因此,看各院校专业投档线时要与招生量结合,不能简单地把投档线与院校综合实力挂钩。比如,浙江大学及本省有关综合性大学在浙招生量大,为一段线上考生提供大量优质高教资源,某些专业(类)招生多达上百人,超出多数院校年度总招生量。 新高考专业平行志愿,因“不服从专业调剂而退档”的情况不复存在,但退档风险依然存在。若考生的体检、单科成绩等不符要求,还是可能会退档。平行投档每轮只有一次投档机会,一旦被投到其中一个志愿,其余志愿即同步失效;若投档后被退档,其他志愿也不能再投,只能再次参加后续志愿填报。 本轮高考招生投档录检完成后,剩余计划将于8月22日上午在浙江省教育考试院网站公布,二段考生和一段未被录取考生的志愿填报将于8月25-26日进行。 浙江省2020年普通类第一段平行投档分数线








































































































浙江省2020年艺术类第二批第一段平行投档分数线






































































浙江省2020年体育类第一段平行投档分数线











































