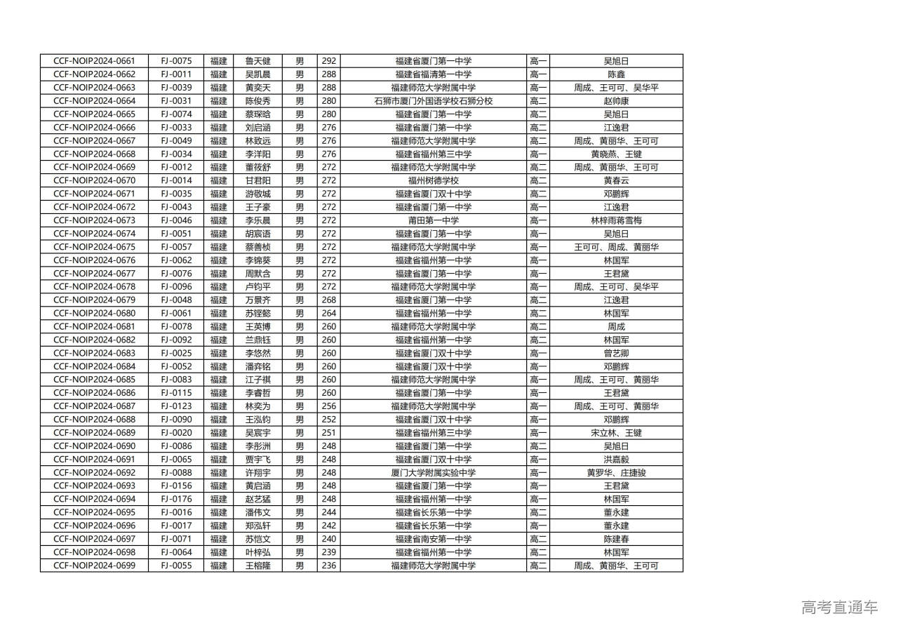
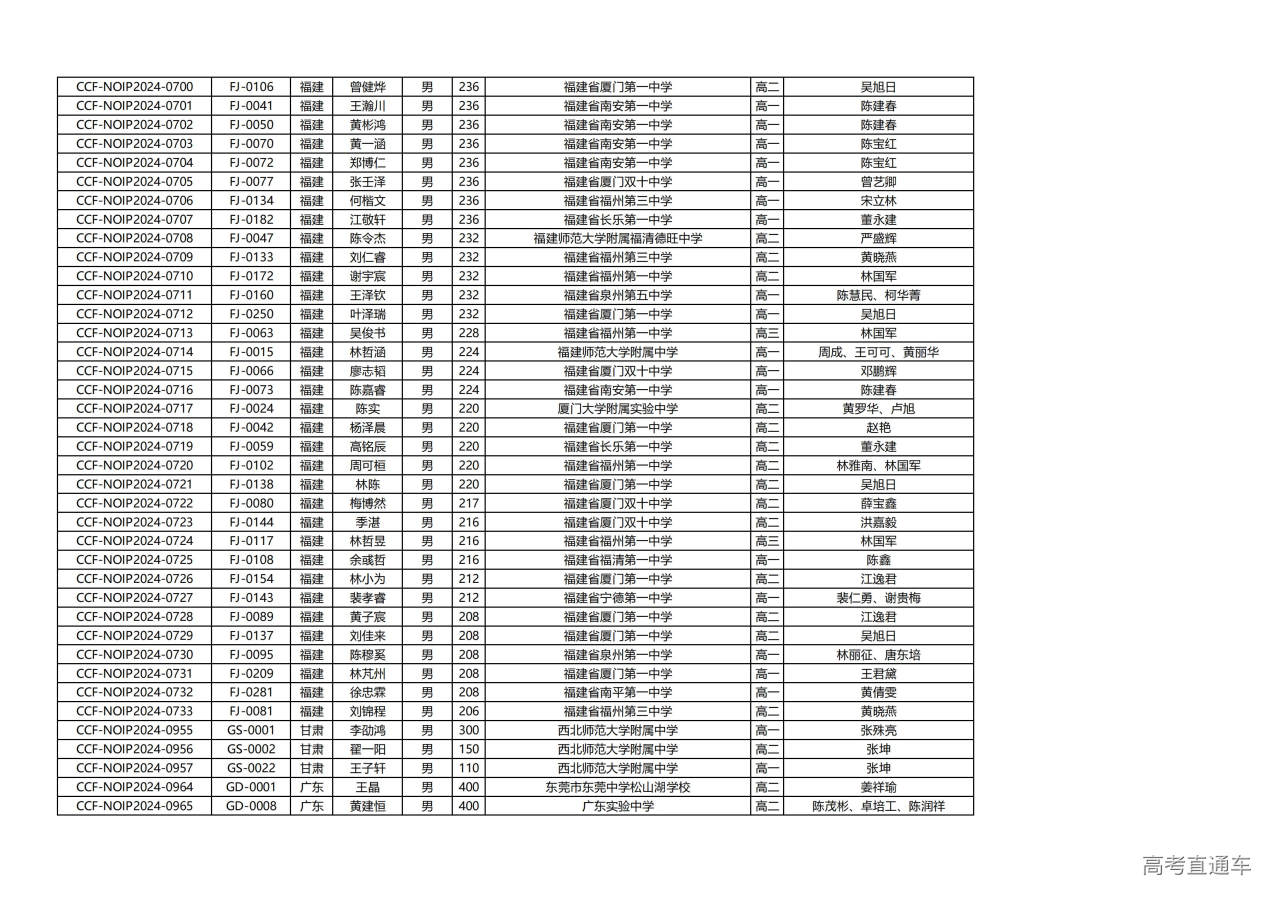
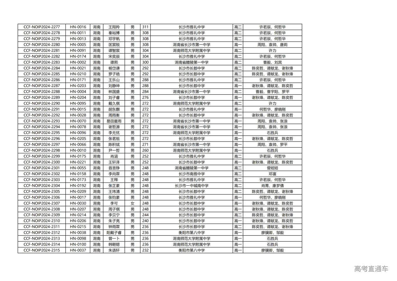
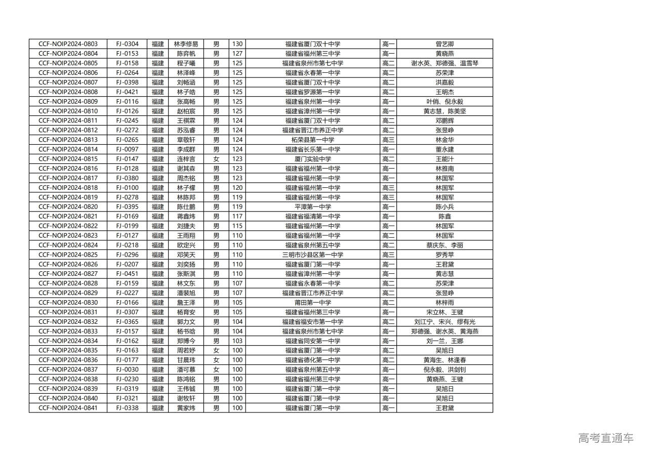
CCF NOI科学委员会、竞赛委员会召开会议,根据《NOIP评奖规则》,确定了NOIP2024全国各奖次基准分数线及各省各奖次分数线。
NOIP2024全国一等奖基准分数线为200分,二等奖基准分数线为90分,三等奖基准分数线为40分。
各省各奖次分数线如下:
省份 一等奖 二等奖 三等奖 获奖分数线 获奖人数 获奖分数线 获奖人数 获奖分数线 获奖人数 重庆 272 60 223 49 40 46 北京 232 87 105 86 40 103 湖南 224 60 120 61 40 48 广东 220 196 111 224 40 277 四川 220 102 105 111 40 114 浙江 216 161 105 187 40 252 上海 216 76 111 86 40 122 福建 206 95 100 111 40 110 湖北 191 37 82 39 40 35 江苏 190 113 87 126 40 162 江西 186 27 100 31 40 35 澳门 171 5 60 5 40 1 河北 165 40 75 46 40 42 香港 163 12 59 13 40 8 陕西 163 30 60 34 40 20 山东 163 137 90 169 40 217 河南 160 39 93 47 40 68 安徽 145 58 70 64 40 74 黑龙江 135 16 64 17 40 14 广西 132 23 63 28 40 42 辽宁 131 25 55 26 40 19 吉林 128 15 57 15 40 11 天津 115 16 60 20 40 15 山西 115 21 60 26 40 20 贵州 108 17 49 18 40 6 新疆 95 15 57 15 40 9 海南 90 10 45 12 40 6 内蒙古 90 9 45 11 40 4 云南 90 12 45 18 40 3 宁夏 90 0 40 9 / 0 甘肃 90 3 40 6 / 0 青海 90 0 40 2 / 0 NOIP2024一等奖获奖总数1517人,获奖率为20.20%;二等奖获奖总数1712人,获奖率为22.79%;三等奖获奖总数1883人,获奖率为25.07%。全国总获奖率为68.06%。 原文链接:点击查看 名单如下:















































































































































































