我省2025年成人高等学校招生录取工作已完成高起本等4个批次投档,尚有部分高校专科升本科、高中起点专科非脱产层次未完成招生计划。根据教育部和省有关规定,经研究,决定对未完成计划实行公开征集志愿。现将有关事项通知如下:
一、征集志愿时间
12月14日10:00—12月15日10:00。
二、征集志愿对象
本次征集志愿的填报对象为成人高考成绩在省招生办公室公布的各科类征集志愿资格分数线上且未被录取的考生。已经被录取的考生,不得申请填报征集志愿。
三、征集志愿资格分数线
专科升本科层次
理工、经管类:100分;
文史、中医类,法学类,教育类,农学类:120分;
艺术类,体育类:115分;
高中起点专科(非脱产)层次
理工类,文史类,外语类,艺术类:95分。
四、征集志愿填报方式
符合条件的考生,凭考生号及成人高考报名时设置的密码,登录“广东省成人高考志愿征集系统”(网址:https://www.eeagd.edu.cn/crzj)填报志愿。
志愿填报后,须点击“确认征集志愿”按钮,确认所填报的志愿。未确认的志愿为无效志愿,不能参与投档和录取。考生须在规定时间内填报征集志愿,逾时无法参与志愿征集。
五、注意事项
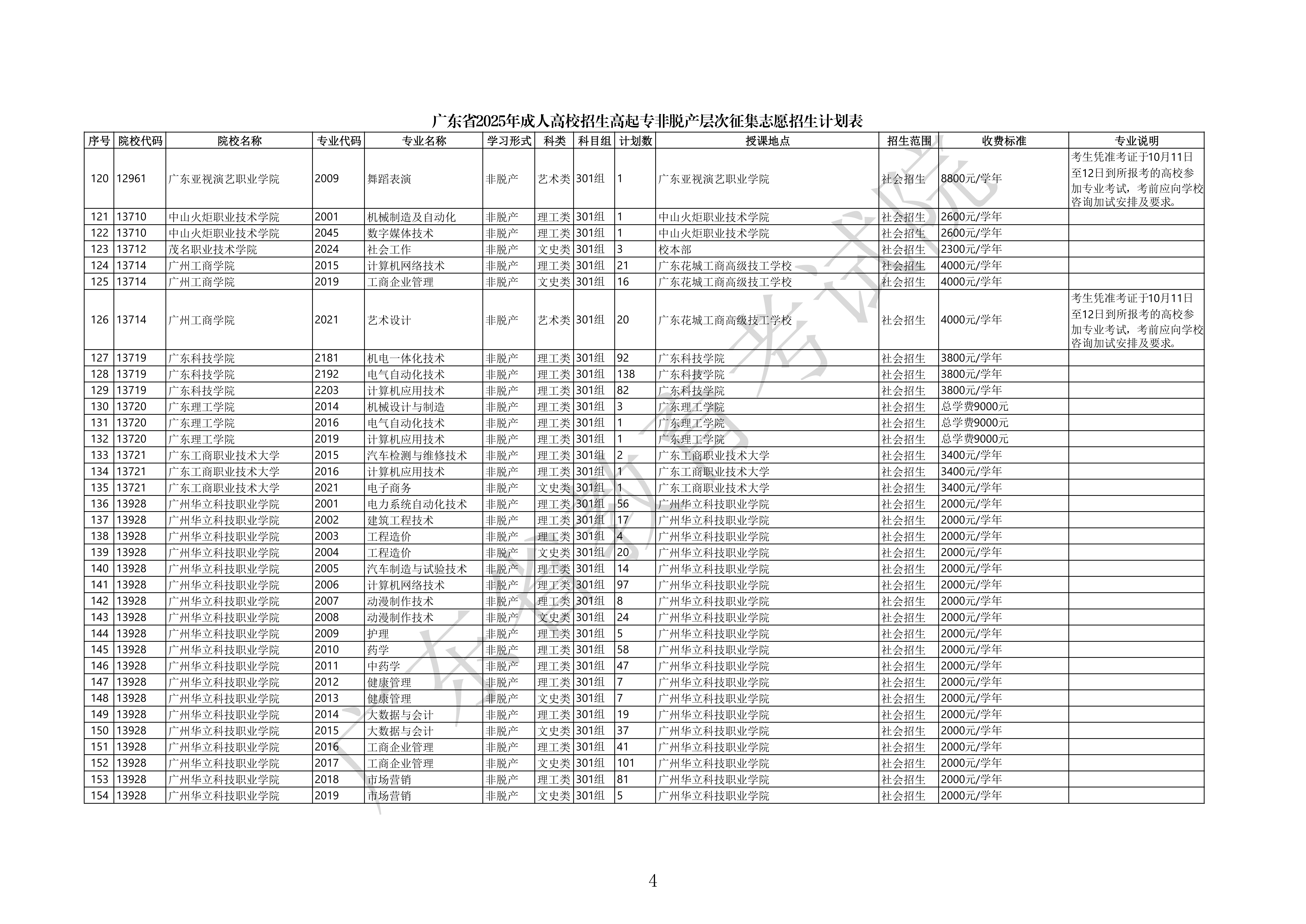
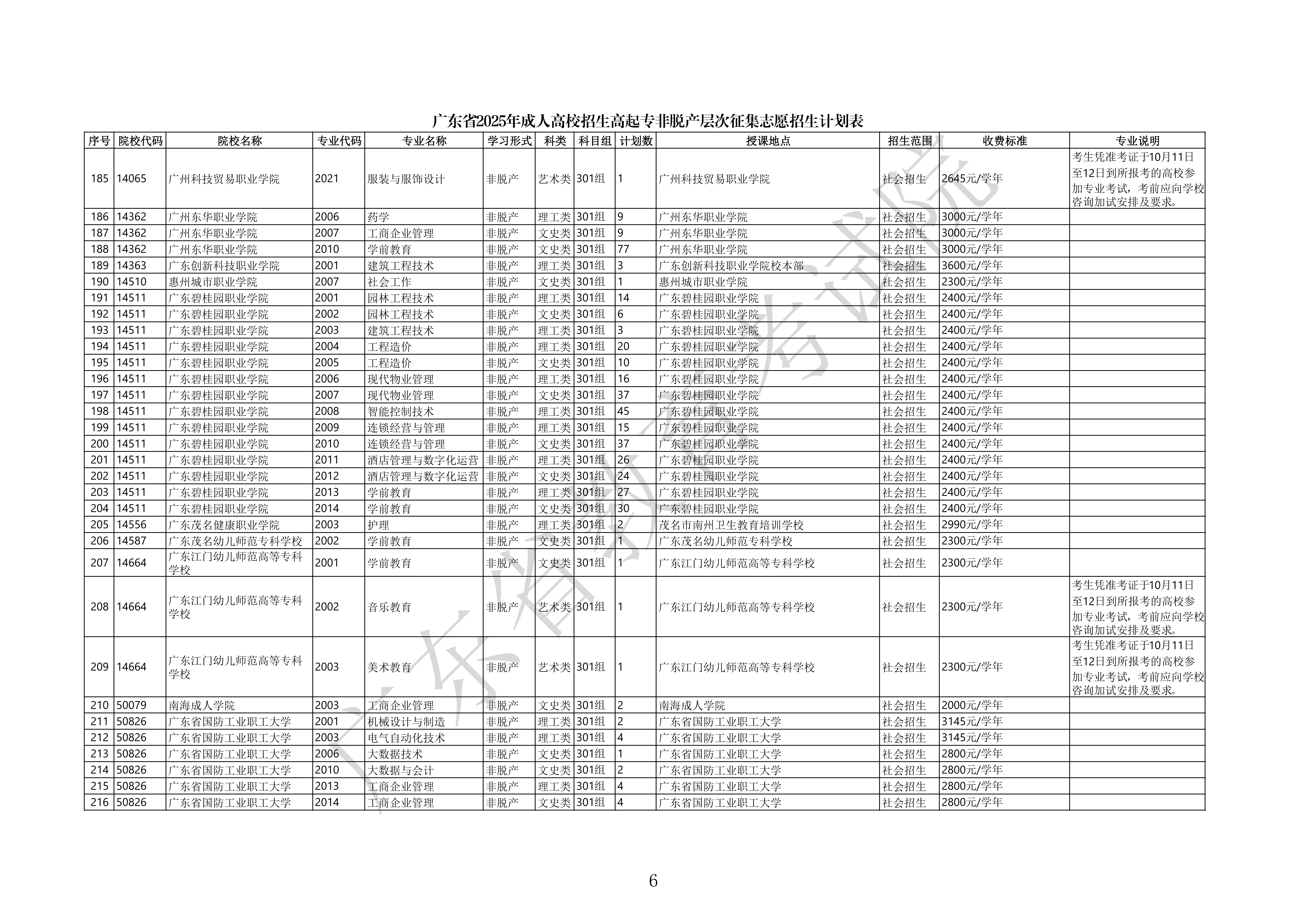
(一)考生填报志愿时,须认真查阅网上填报系统中公布的征集志愿院校及专业计划、办学地点等情况,征集志愿院校、专业计划详细情况及要求见附件。同时,须认真阅读《广东省2025年成人高等学校报考须知及招生专业目录》,以便准确填报。
(二)本次征集志愿须分类别进行填报,专科升本科可以填报2个院校志愿,高中起点专科非脱产层次可以填报3个院校志愿,每个院校可填报2个专业志愿。
(三)考生要对自己填报志愿的准确性负责。网上填报志愿信息一经确认,任何人不得更改。征集志愿填报必须由考生本人完成,任何高校、机构或个人不得代替考生填报征集志愿及修改考生志愿。考生须管好自身密码,以防他人冒名填报征集志愿。
六、其他
(一)省招生办公室于12月16日起投征集志愿的考生档案,高校录取以考生网上填报的征集志愿信息为投档依据。对未完成招生计划的院校,在各科类征集志愿资格线上按1:1的投档比例,以考生征集志愿顺序,从高分到低分一次性提供考生填报的专科升本科一、二志愿(高中起点专科非脱产层次一、二、三志愿)电子档案,由高校择优录取。
(二)各级招生考试机构、各有关成人高校要切实履职尽责,及时将征集志愿信息和要求通知有关考生,确保考生征集志愿工作顺利进行。
附件:
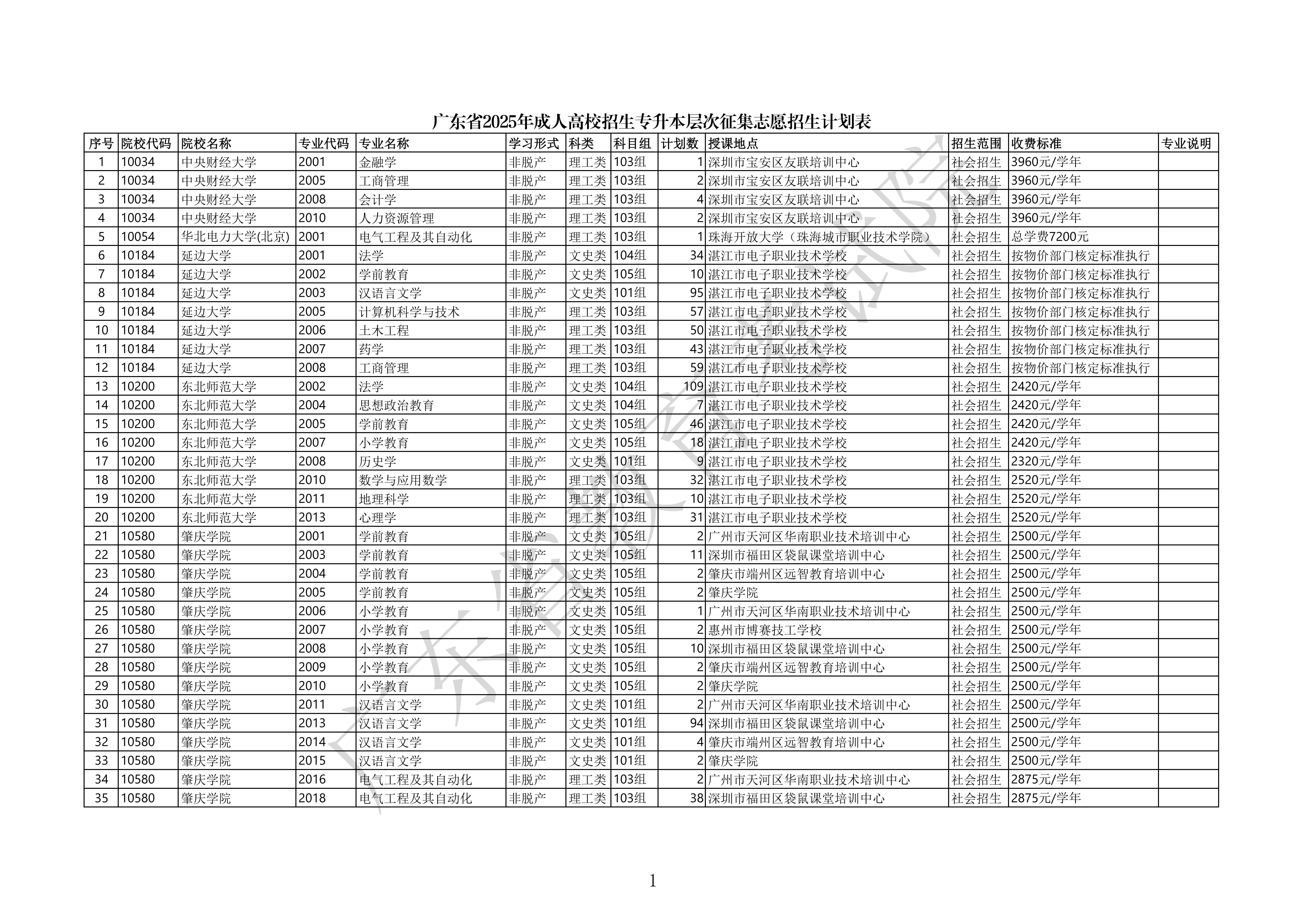
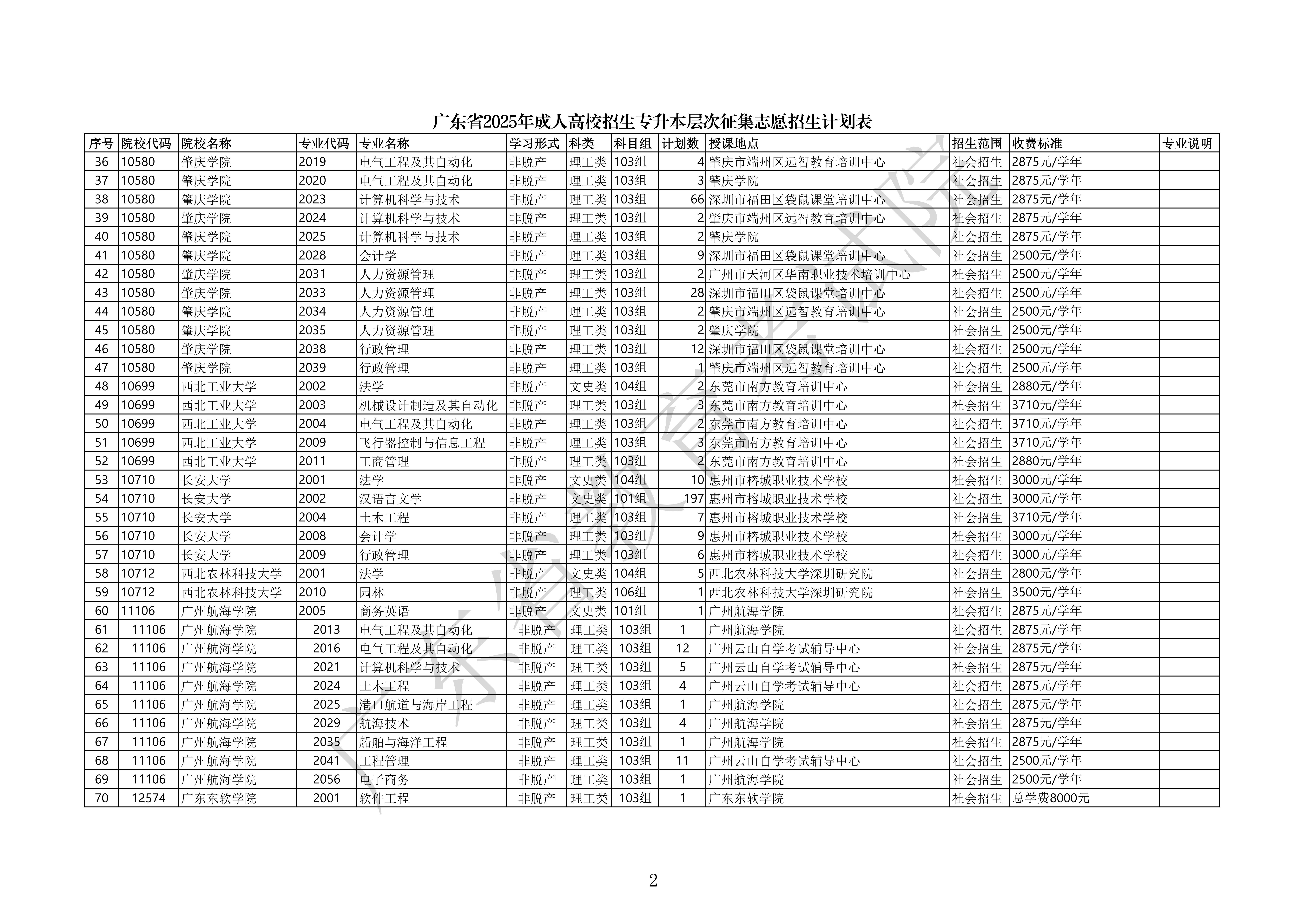
1.广东省2025年成人高校招生专升本层次征集志愿招生计划表
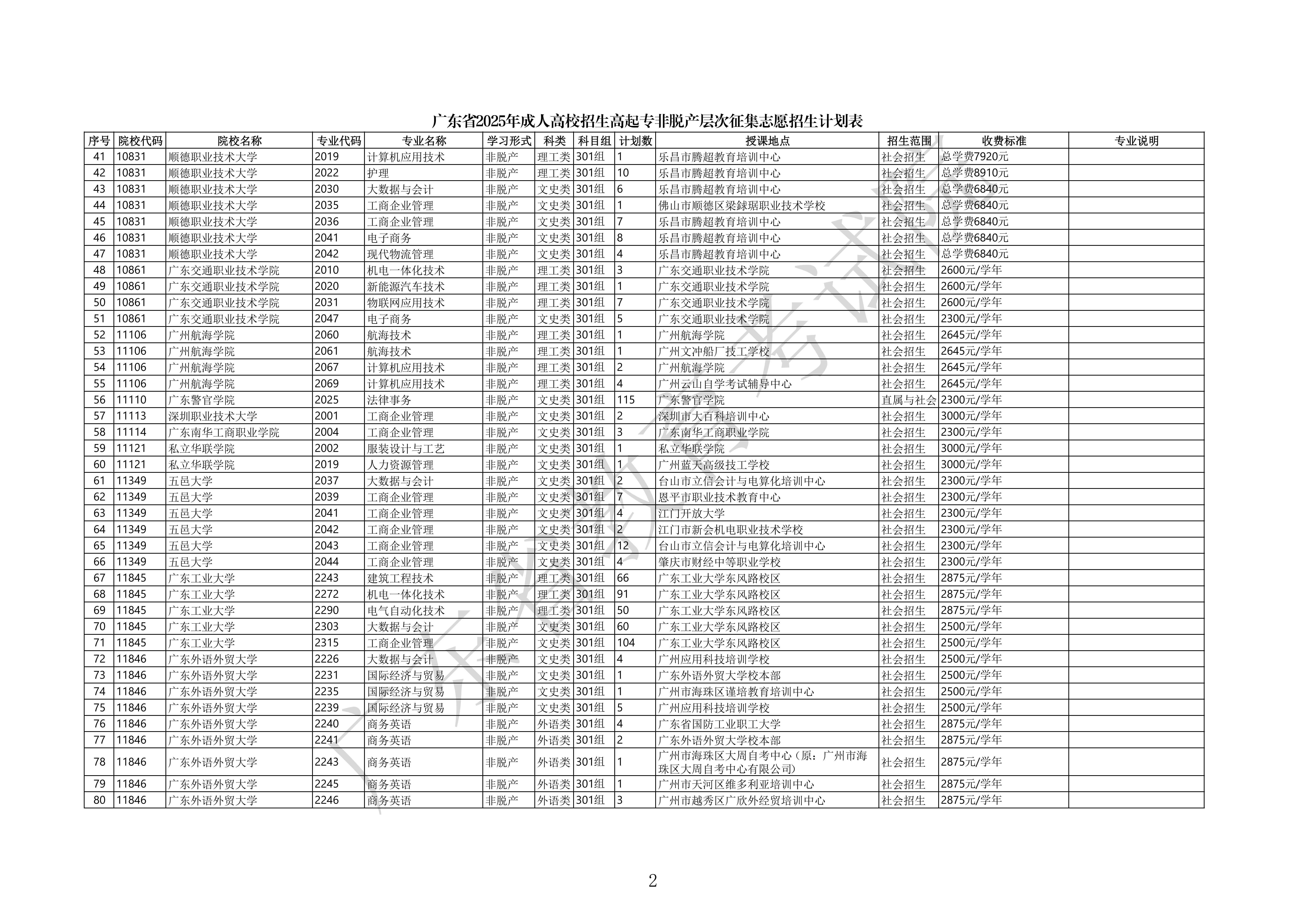
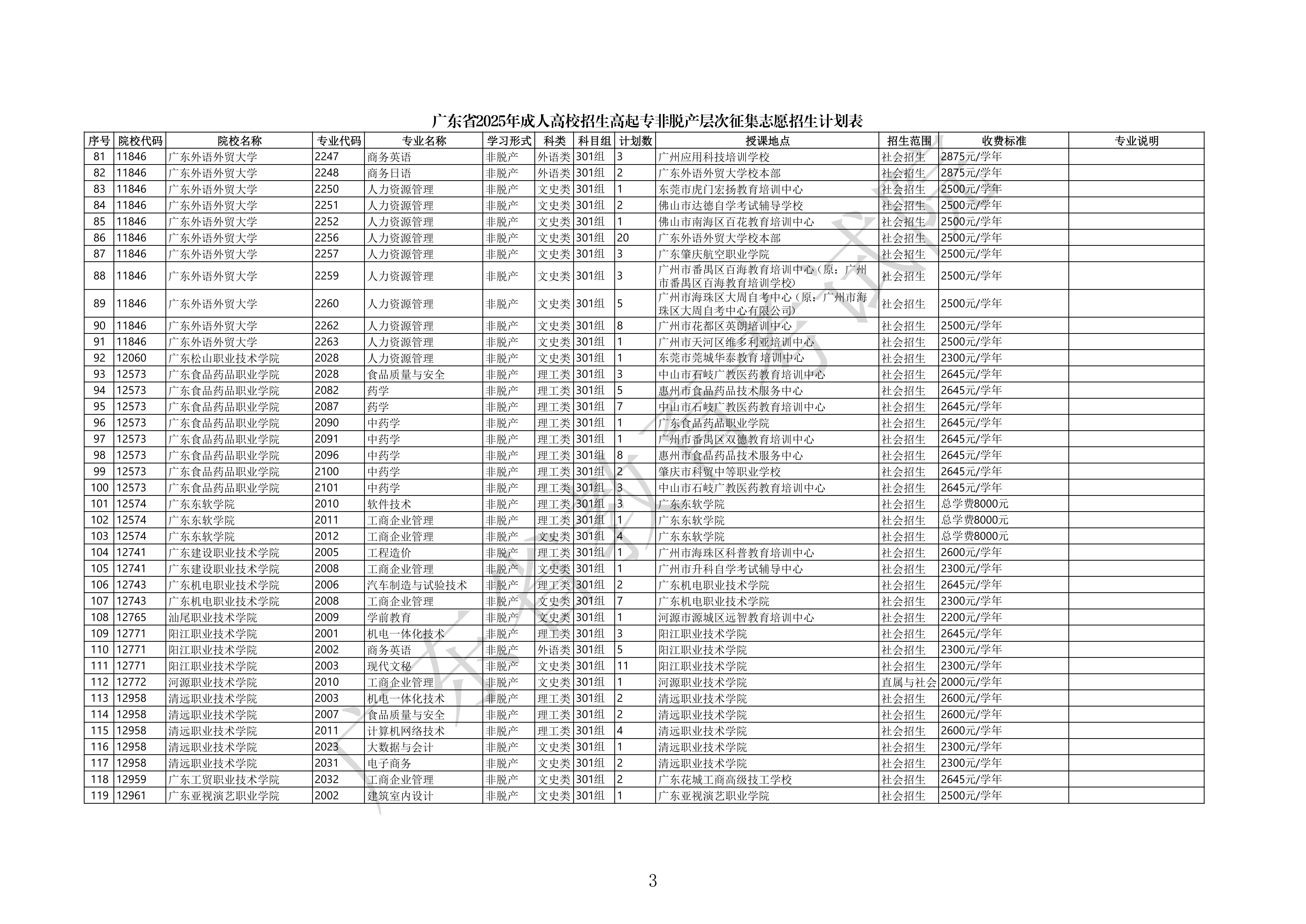
2.广东省2025年成人高校招生高起专非脱产层次征集志愿招生计划表









