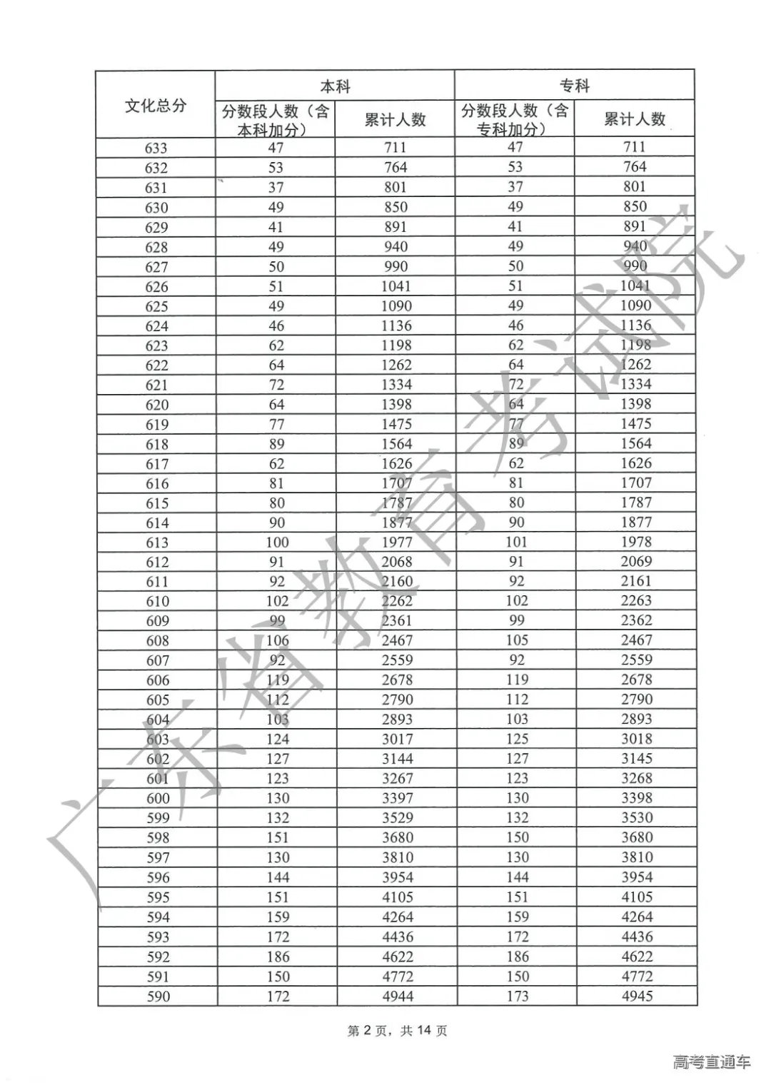
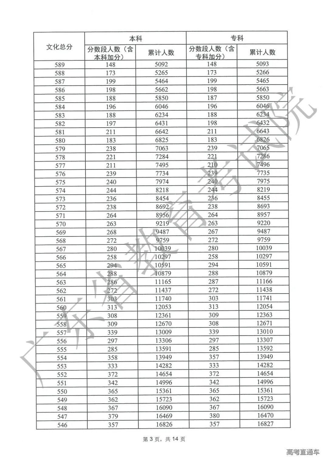
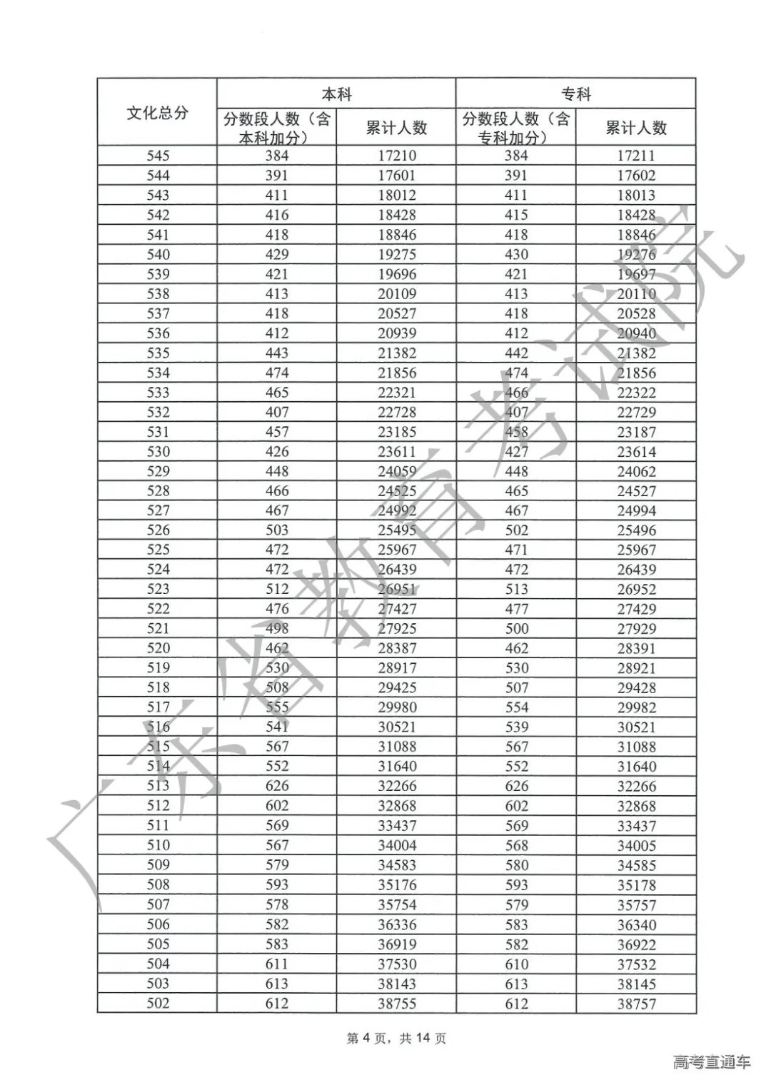
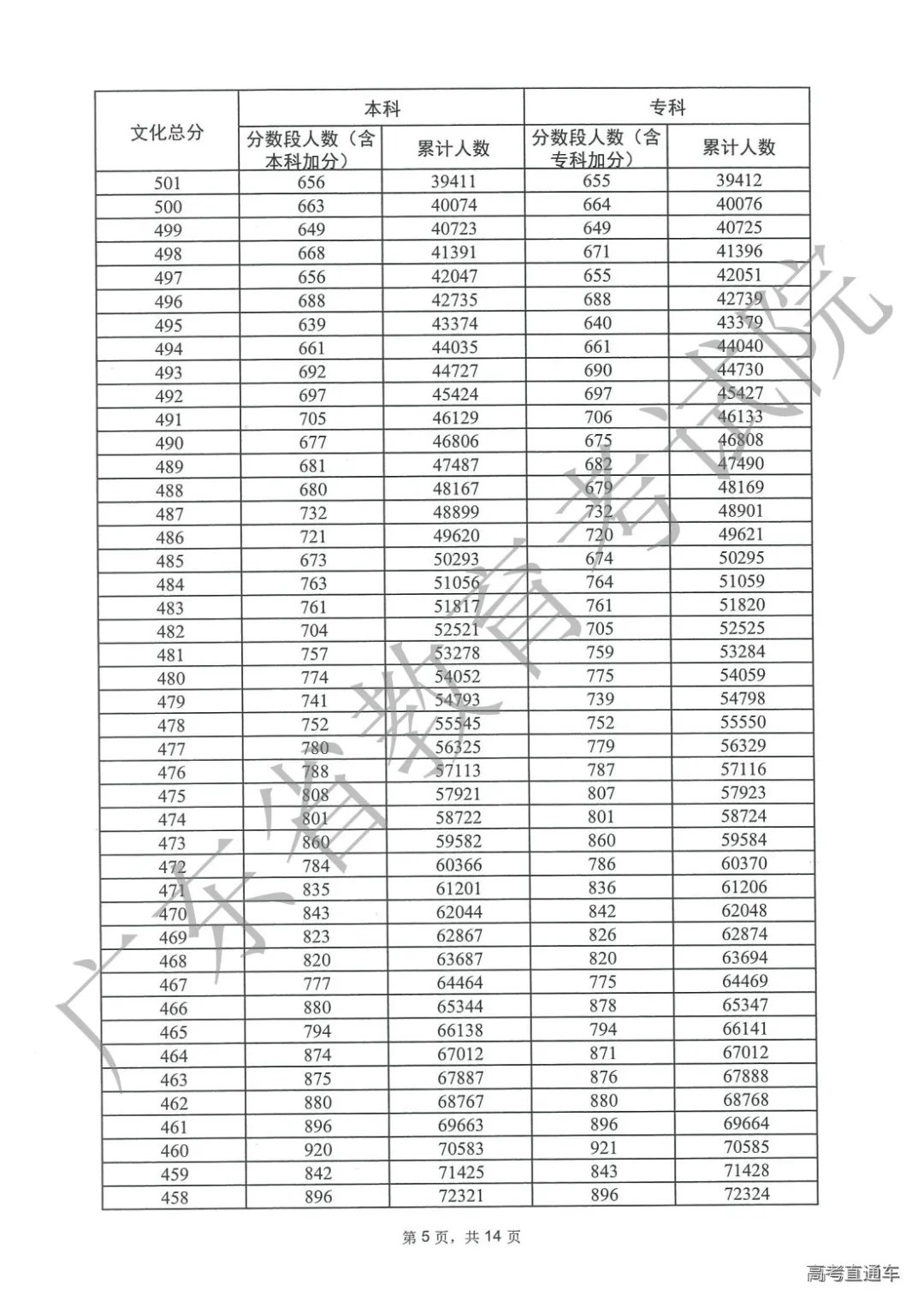
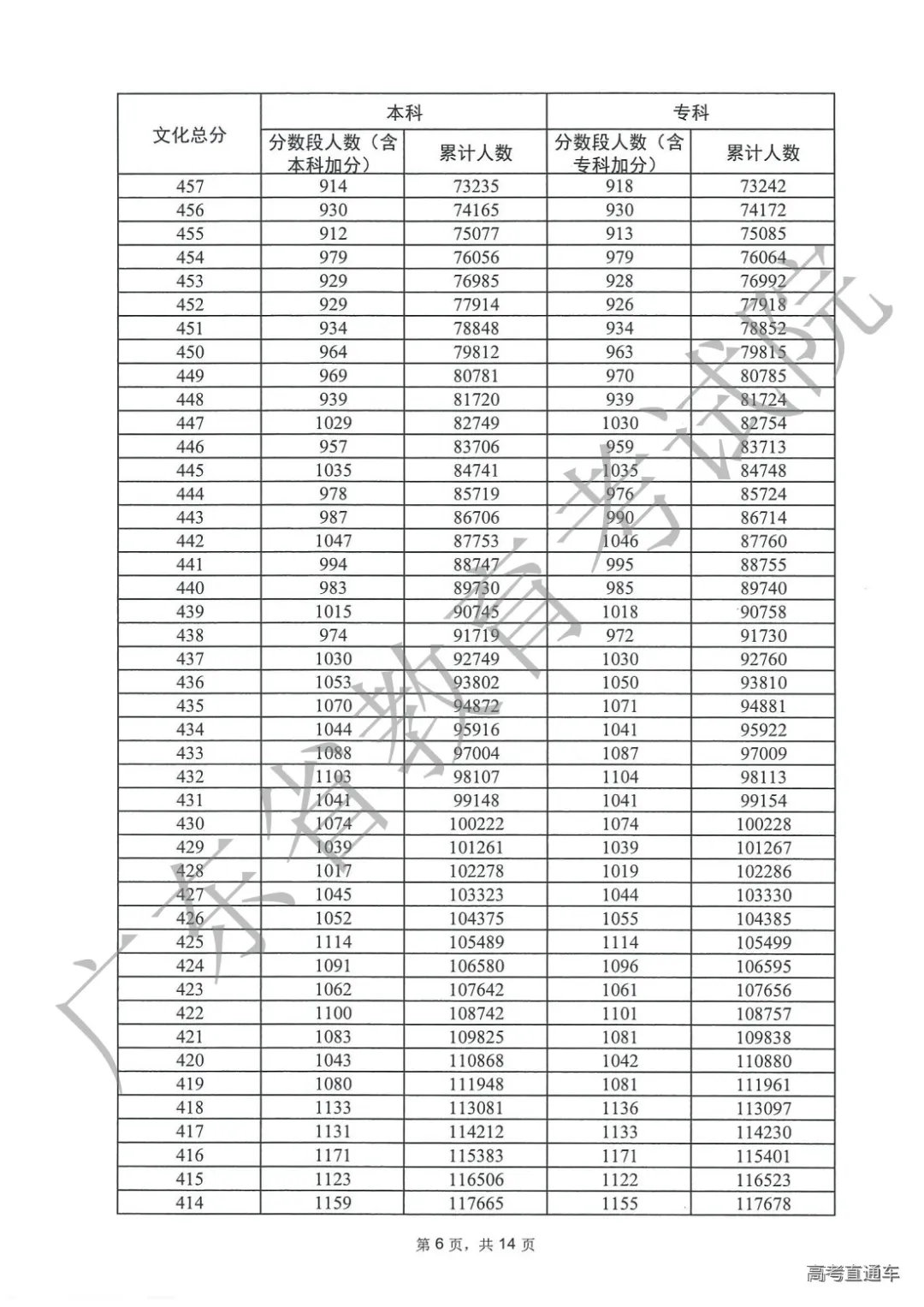
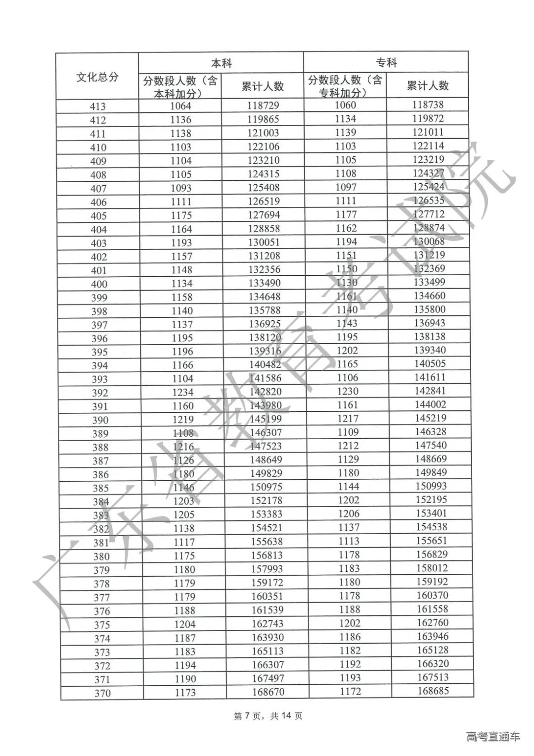
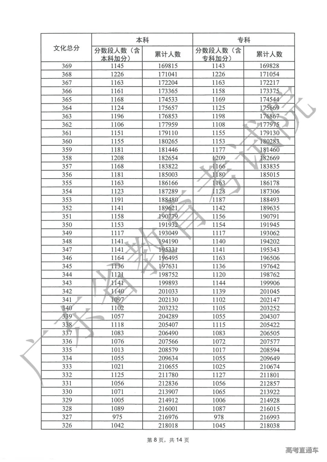
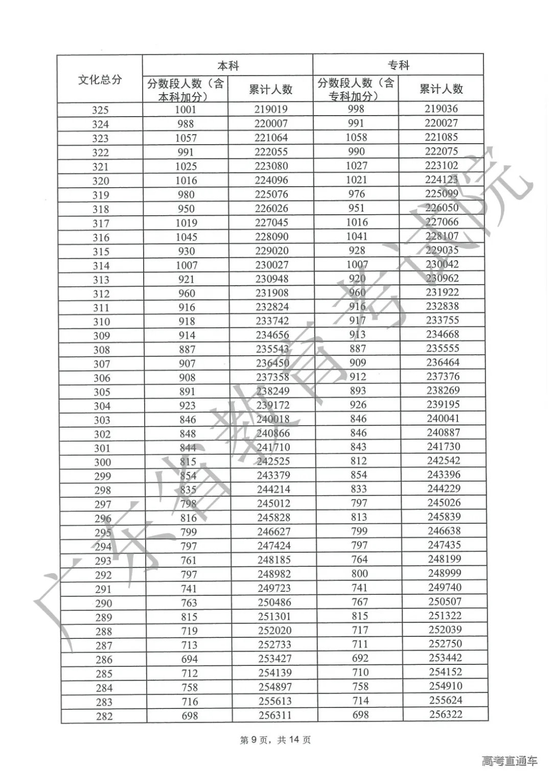
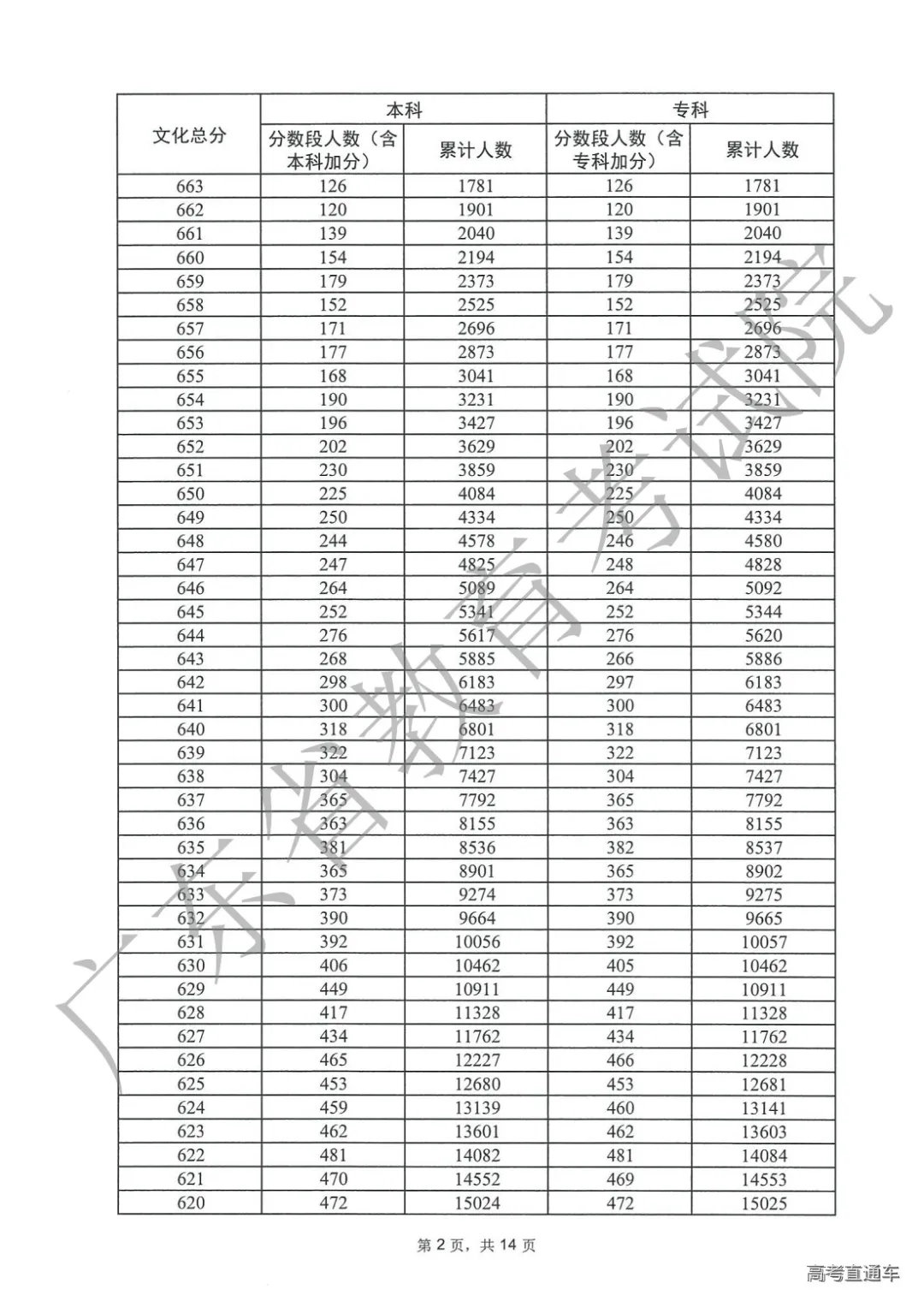
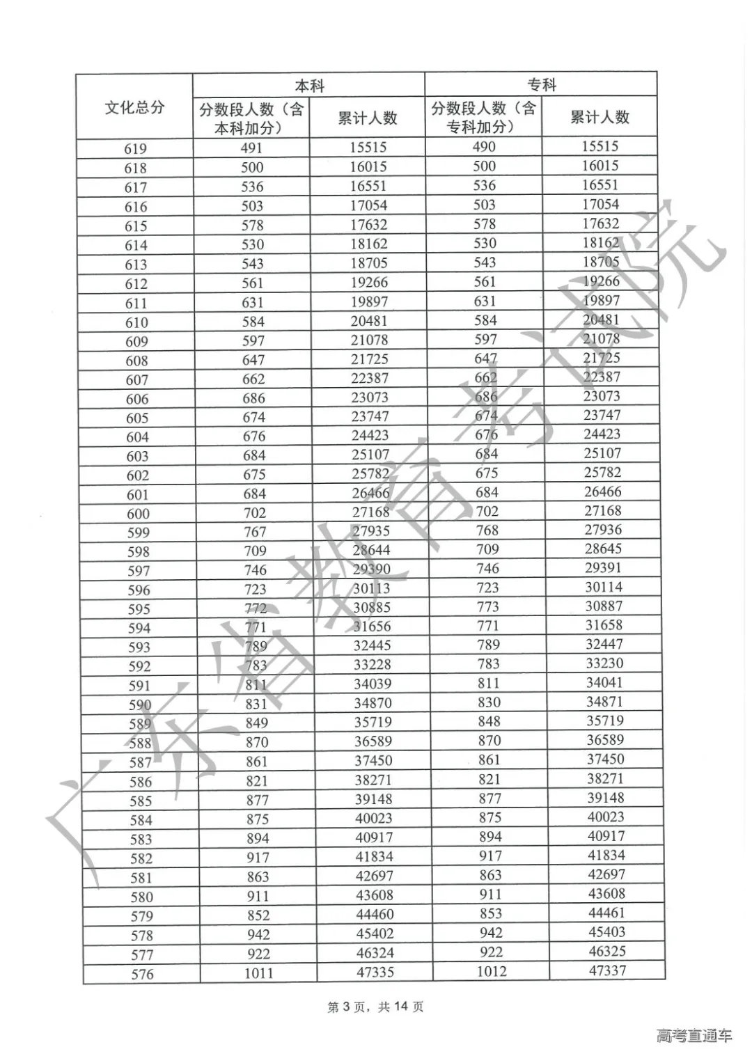
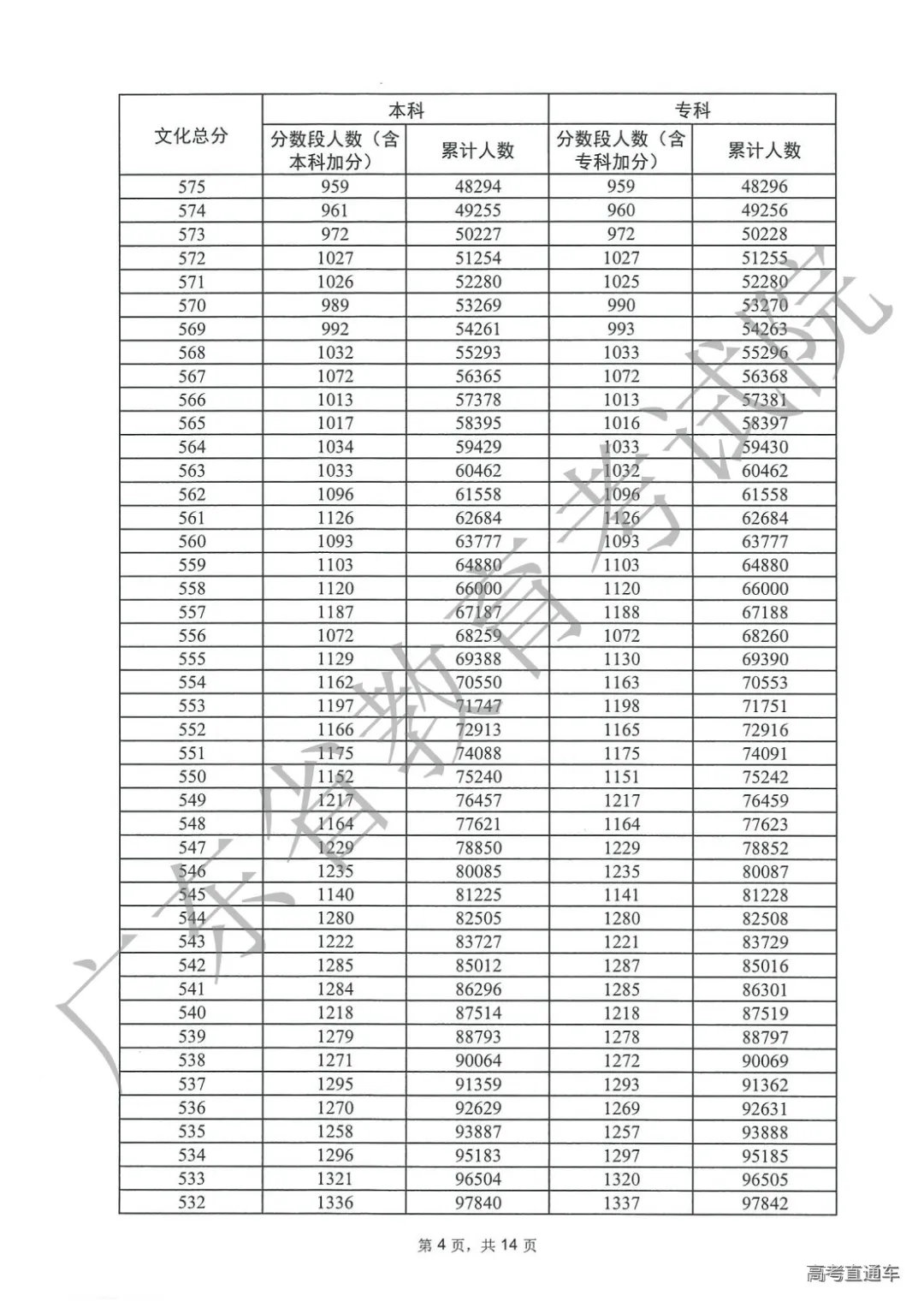
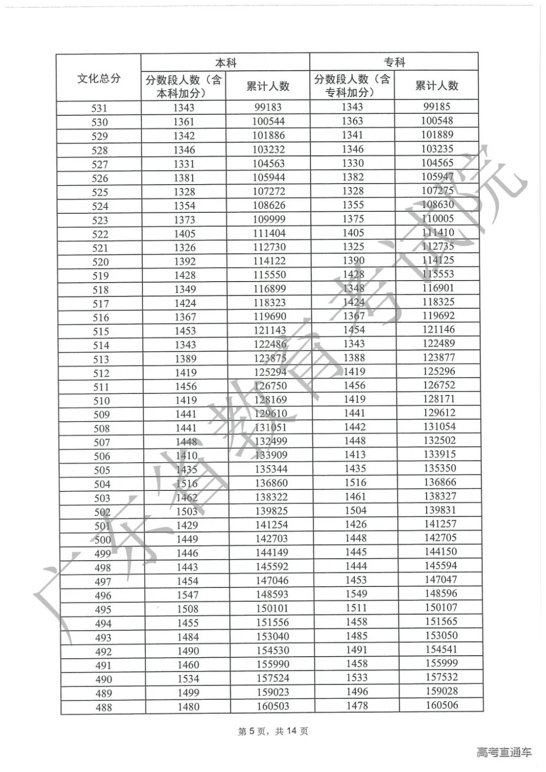
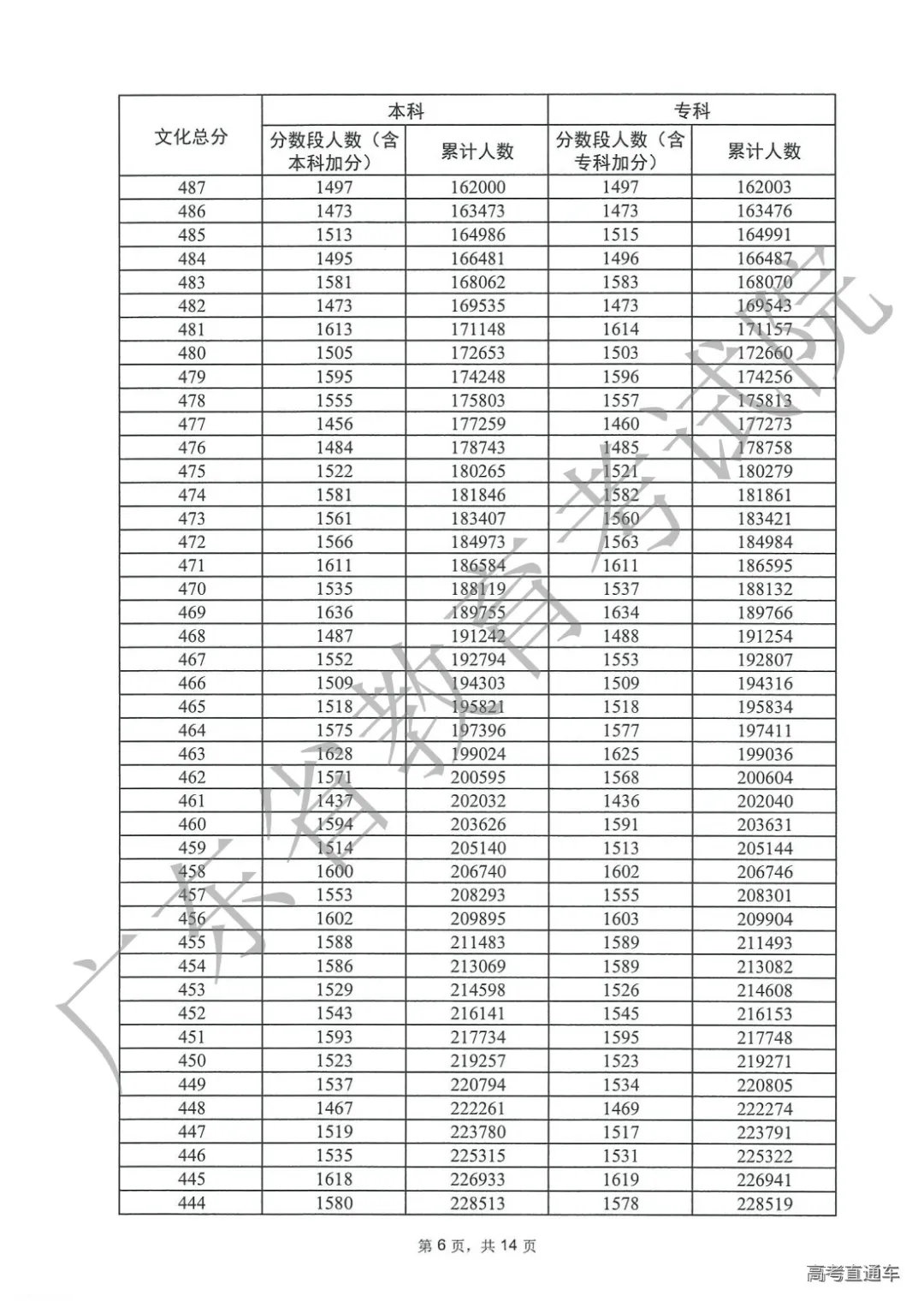
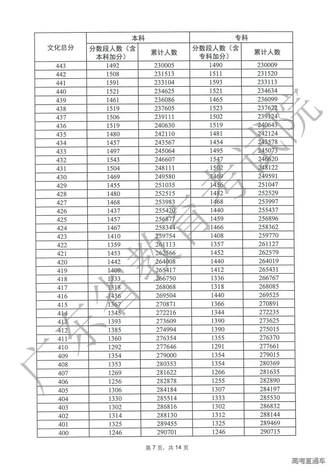
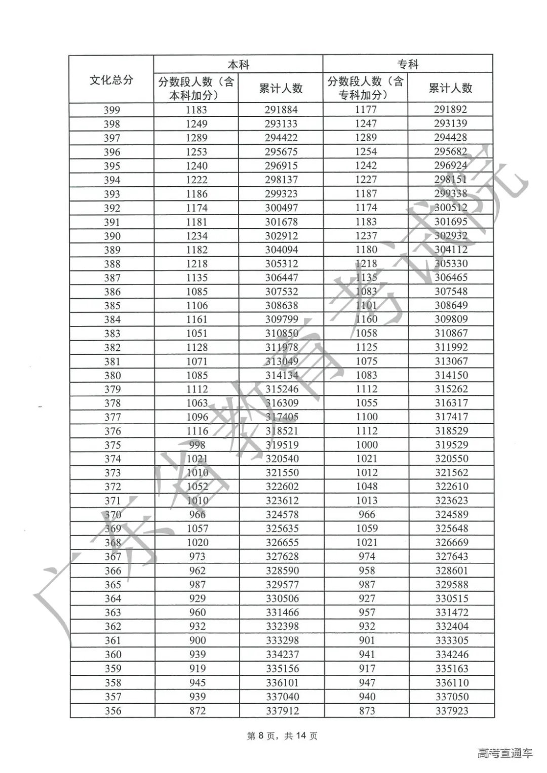
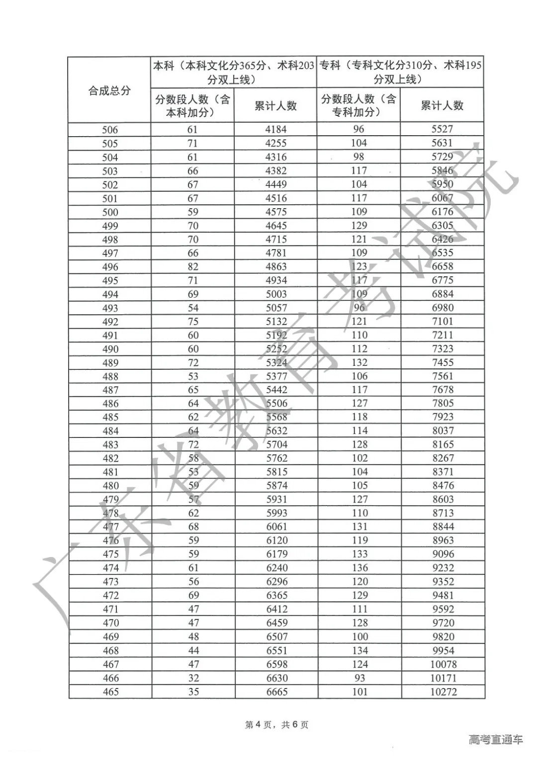
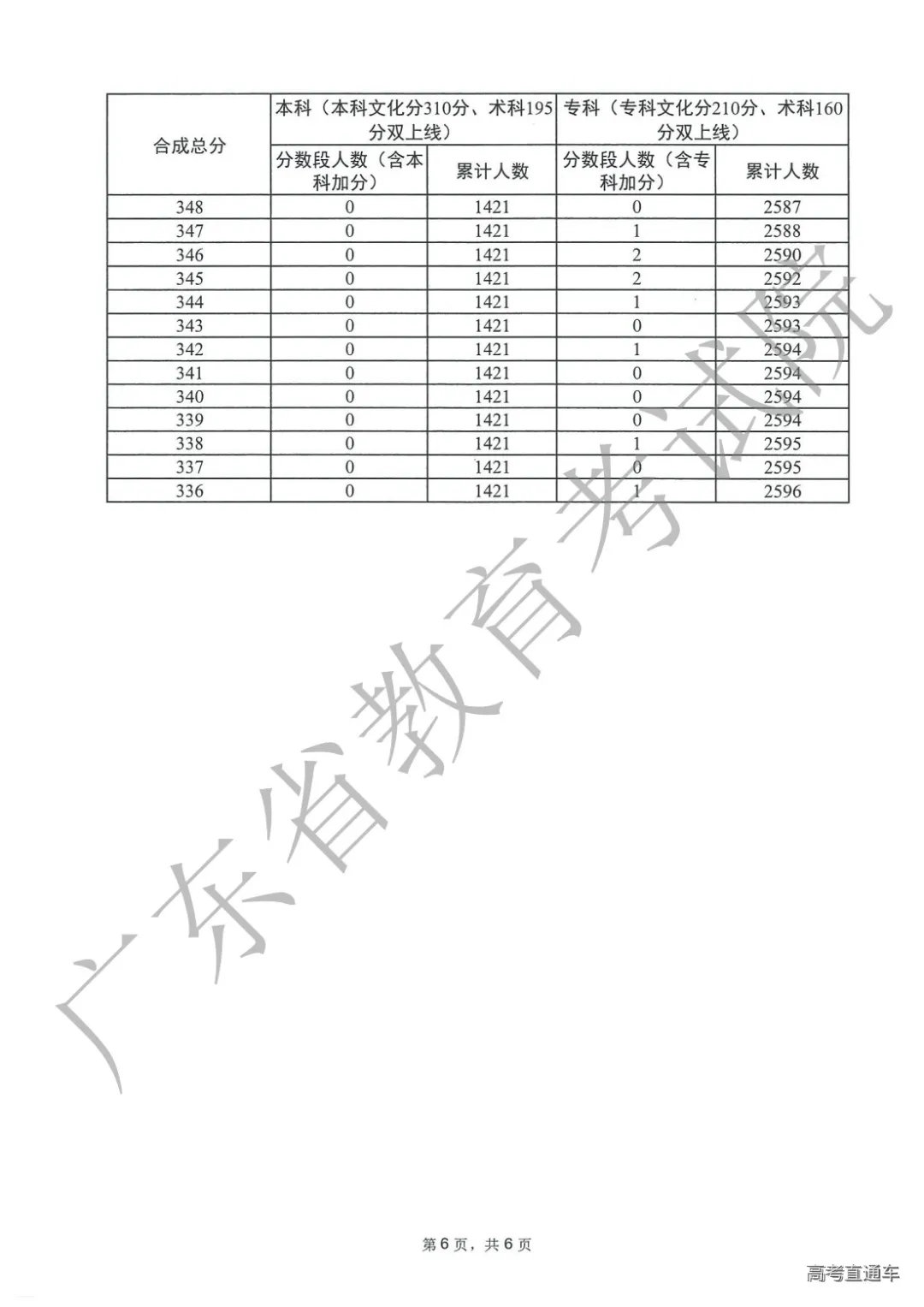
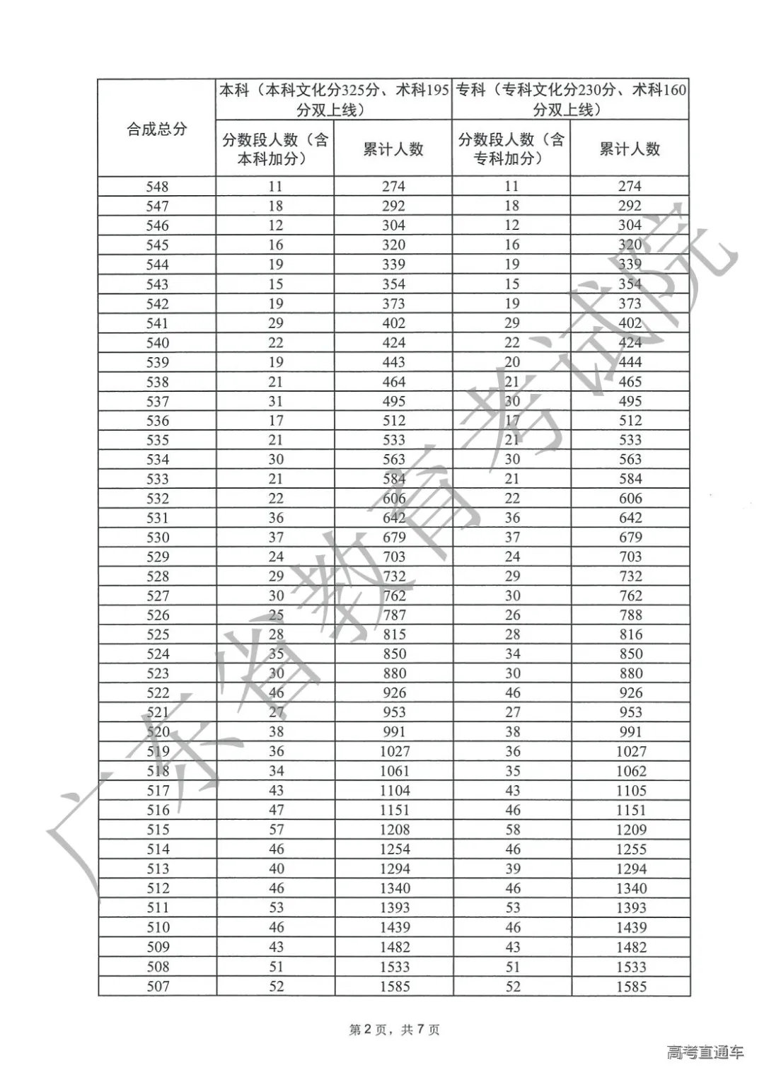
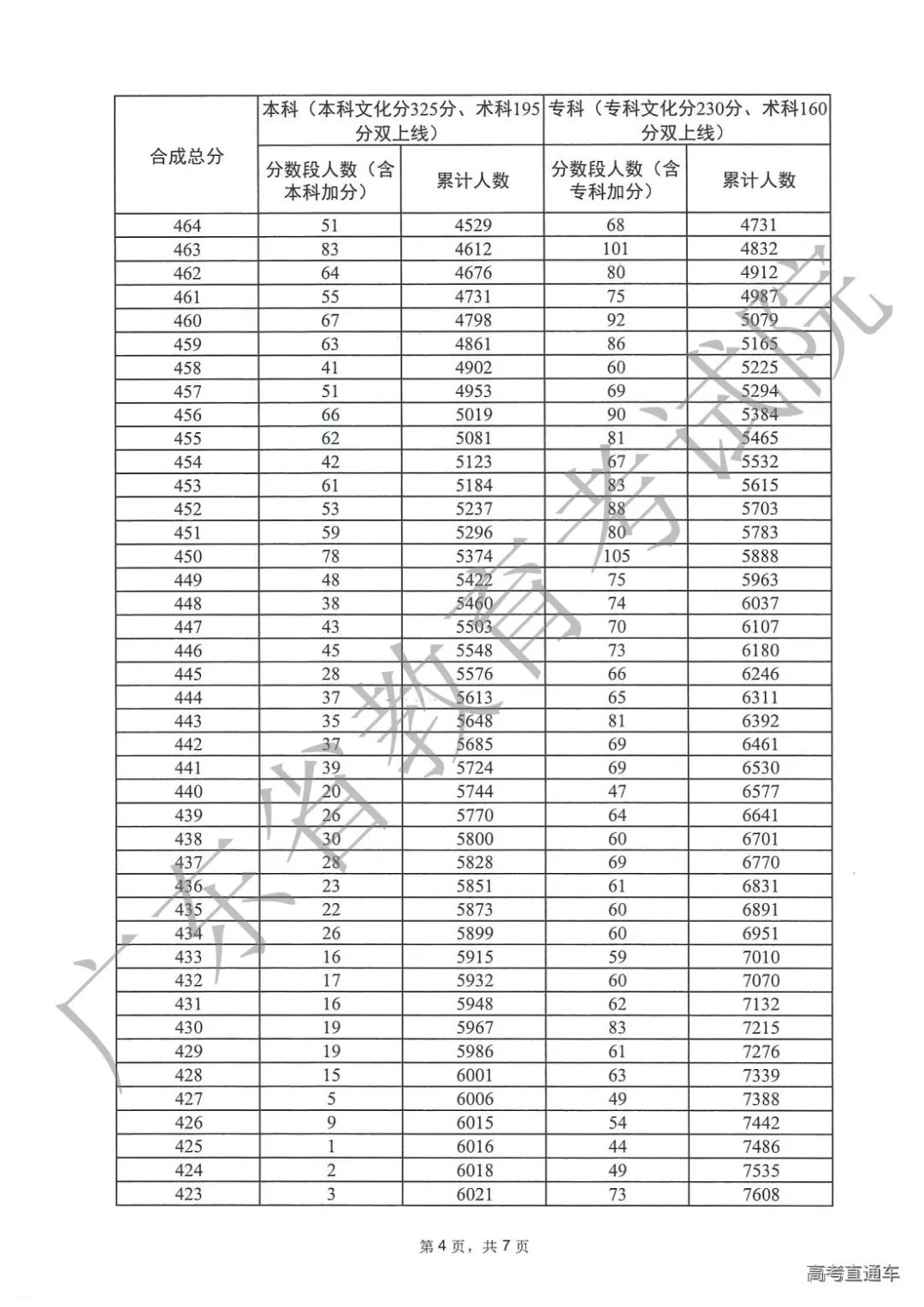
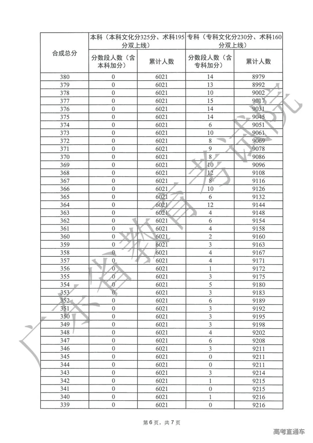
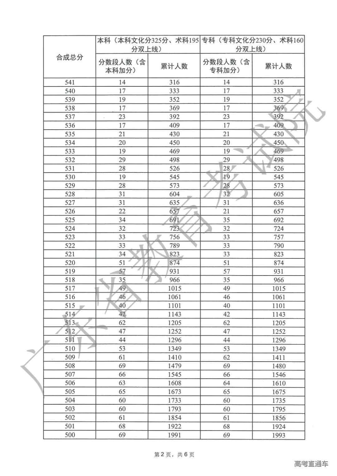
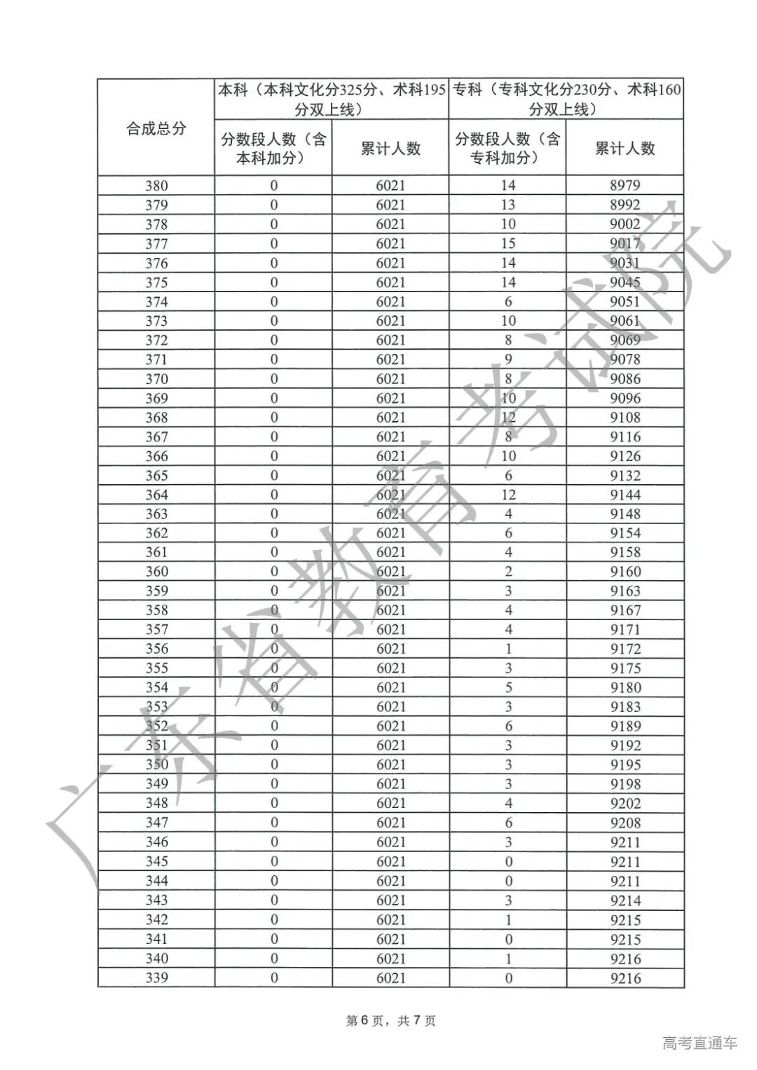
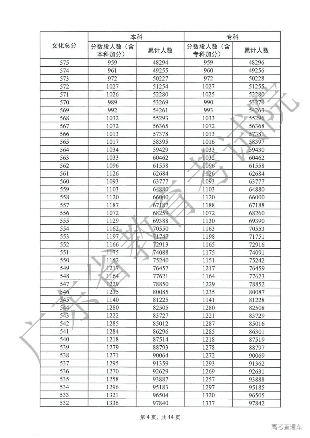
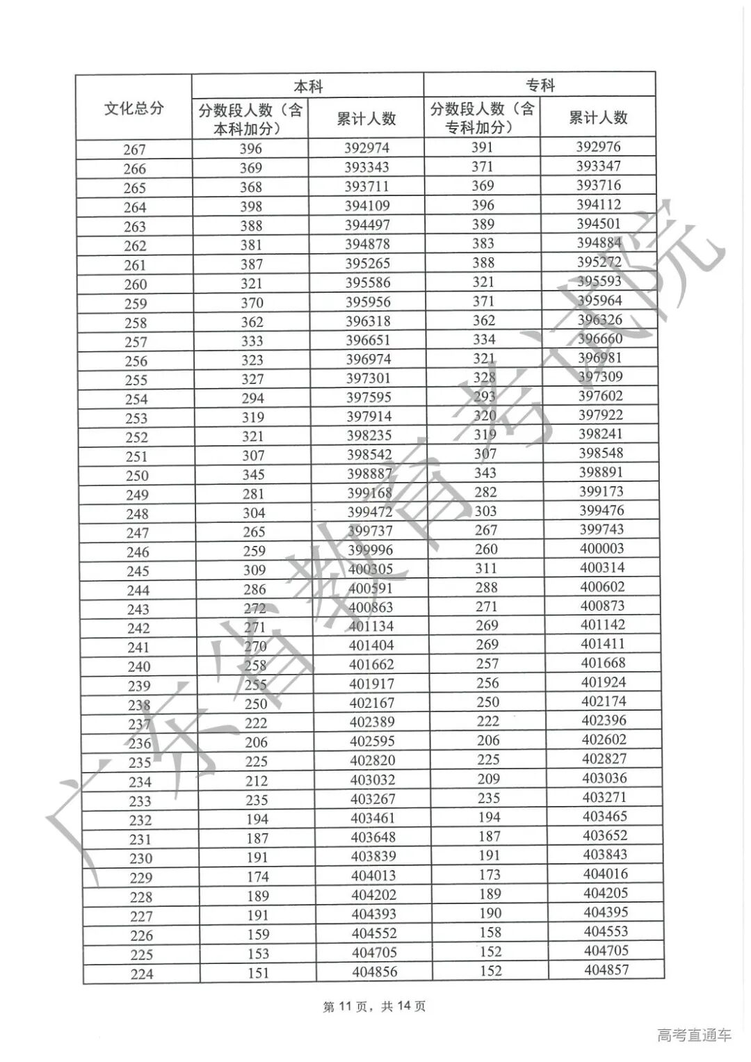
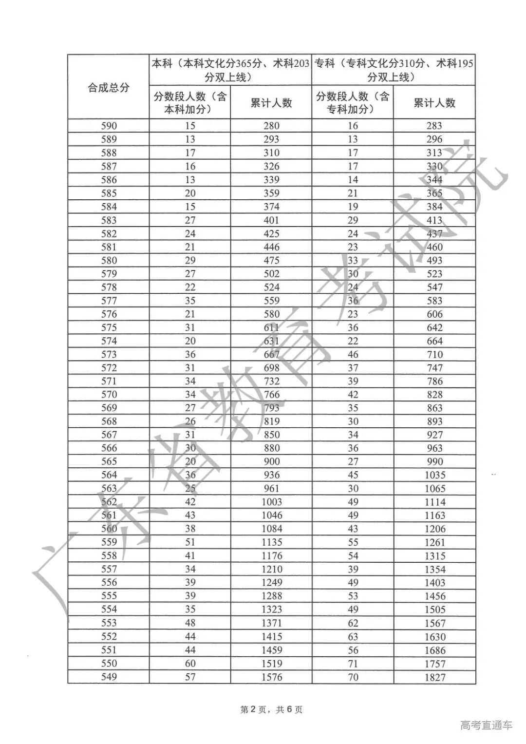
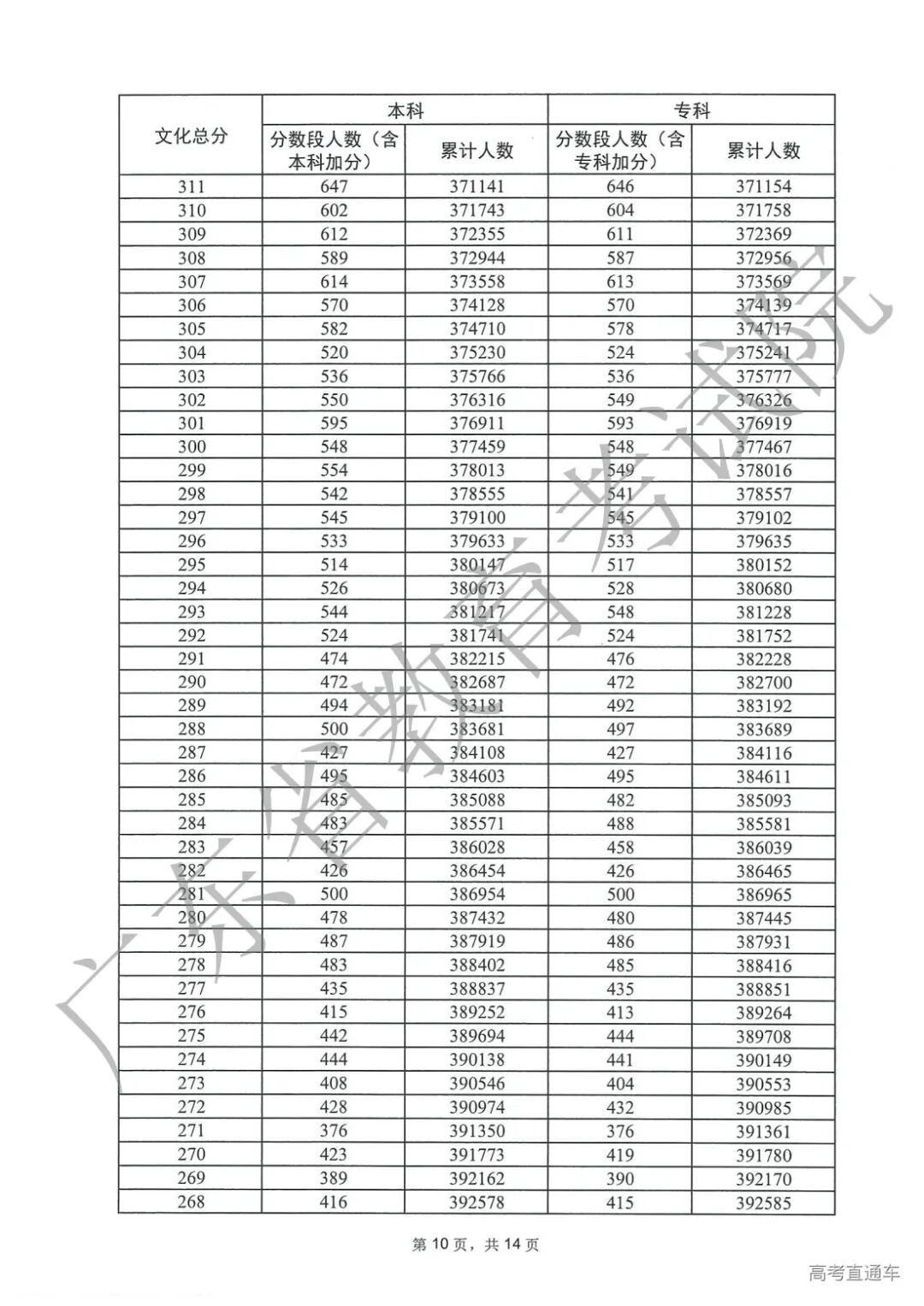
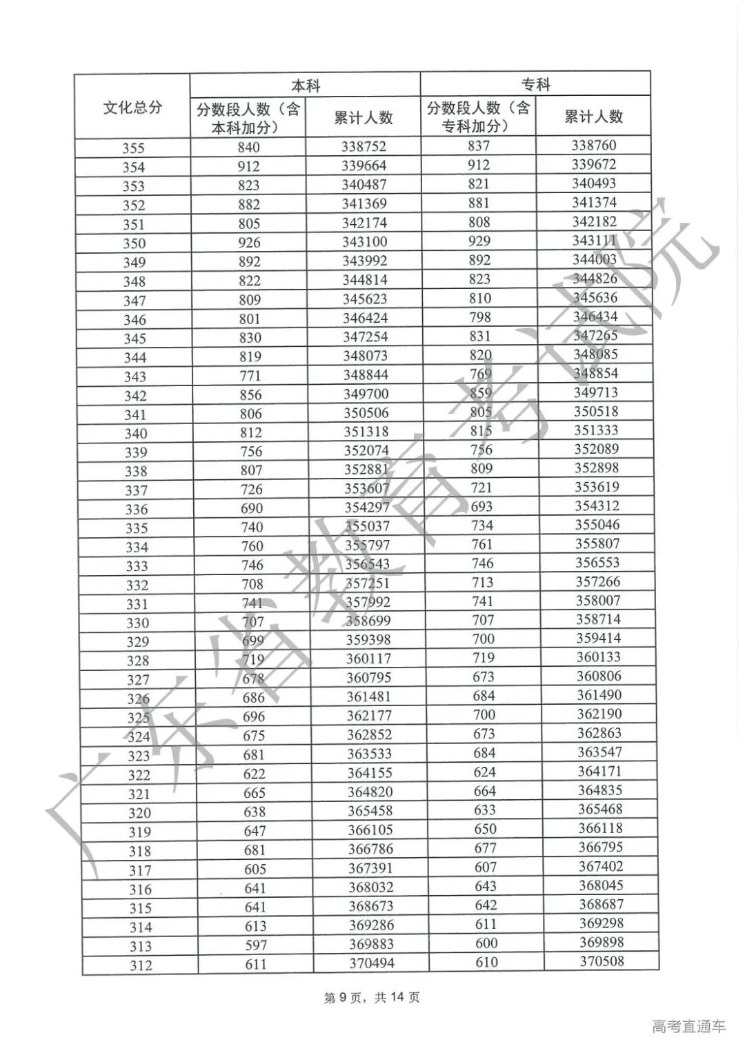
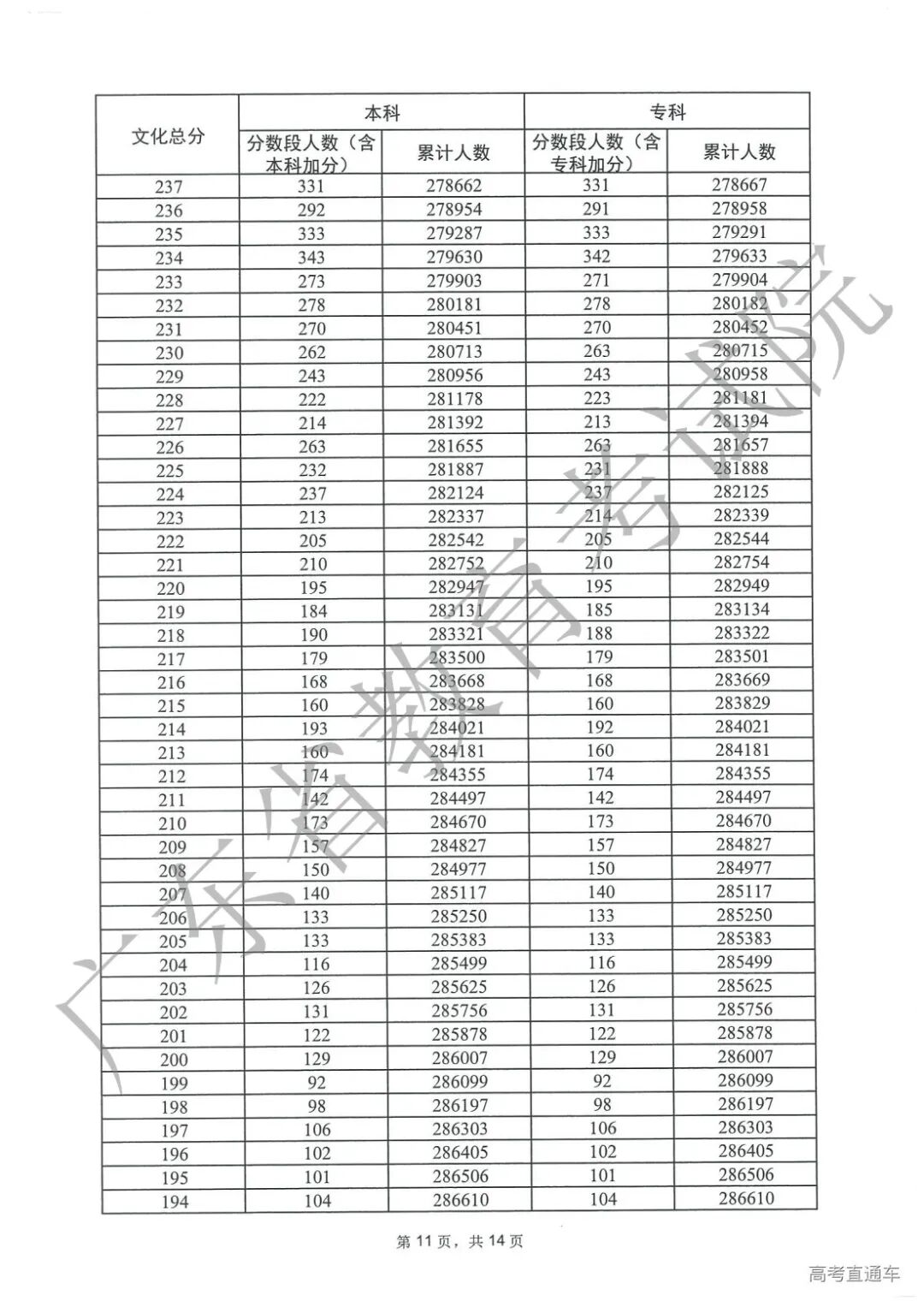
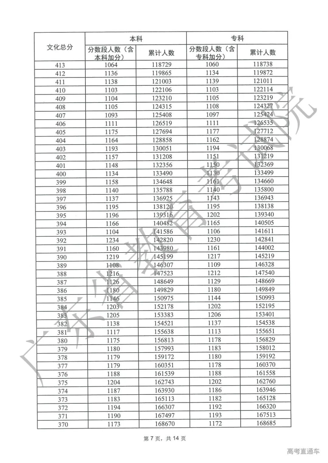
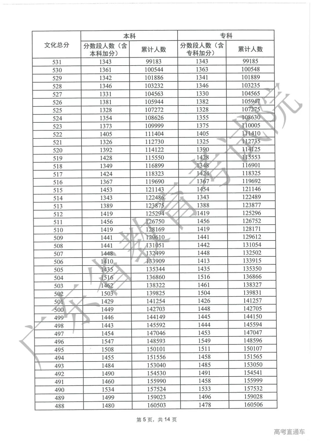
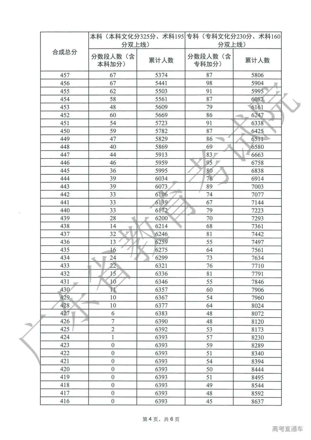
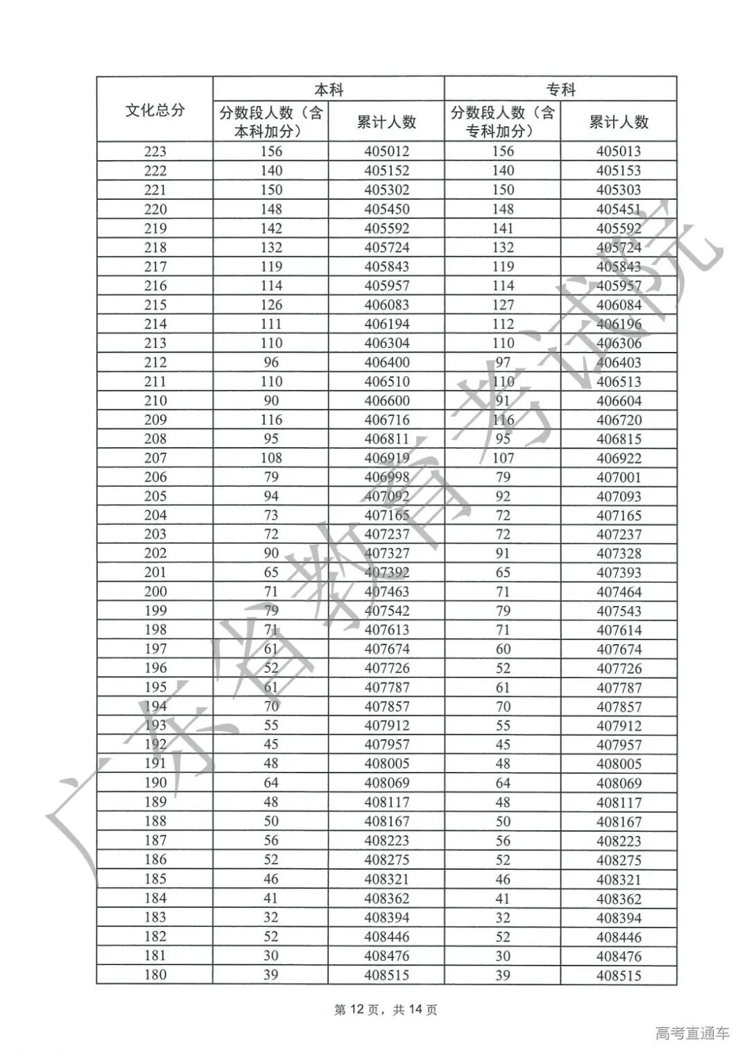
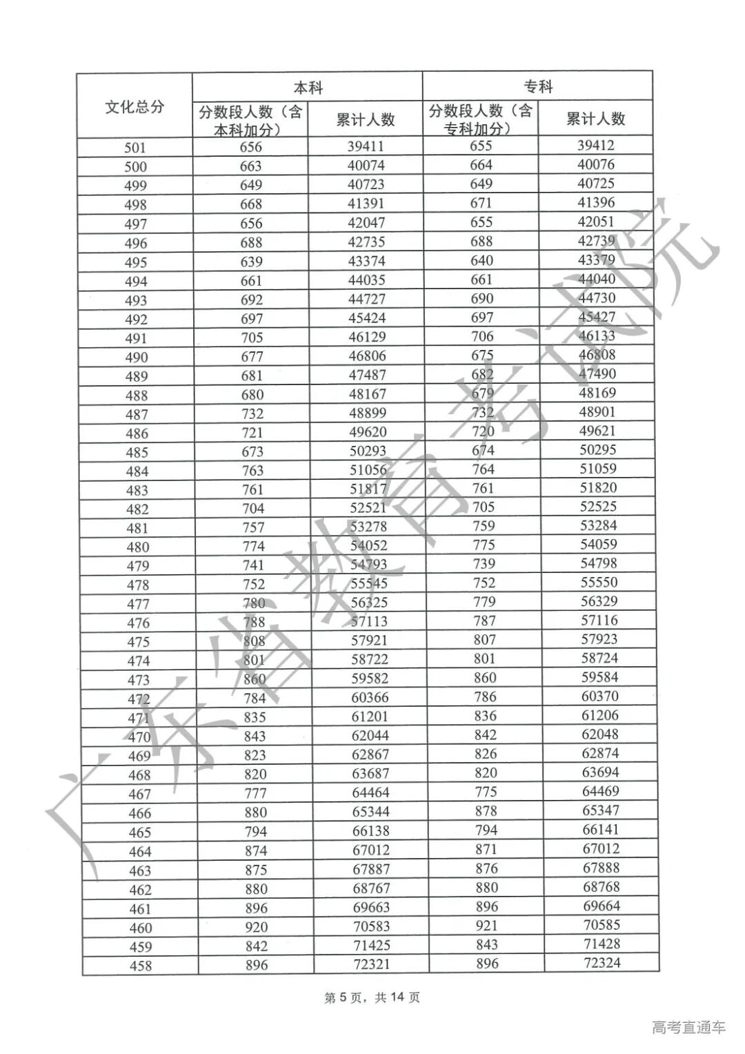
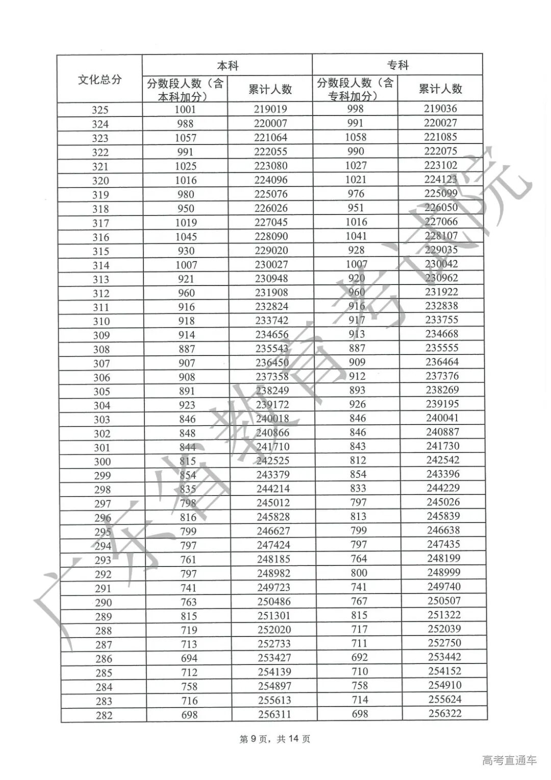
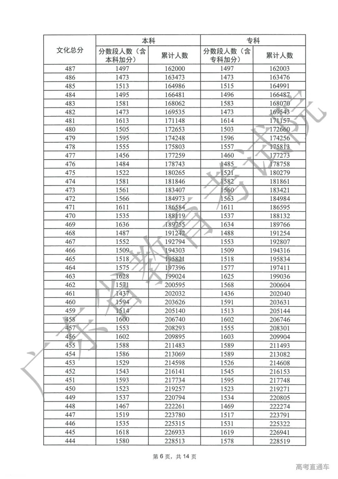
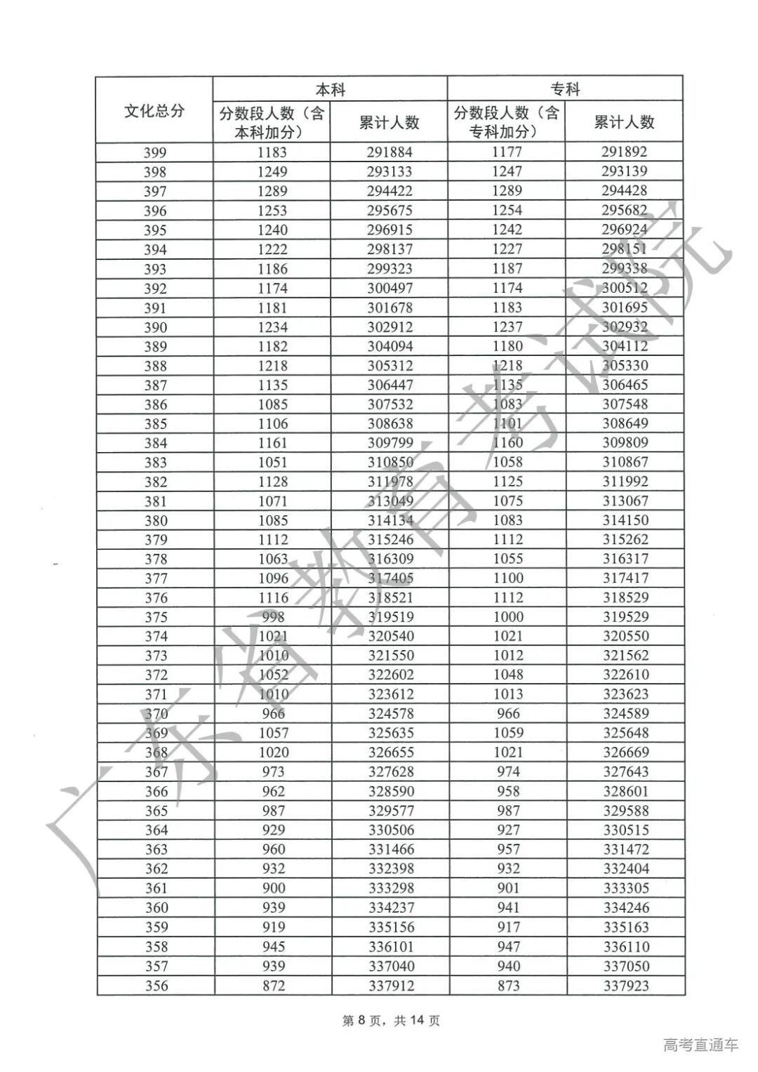
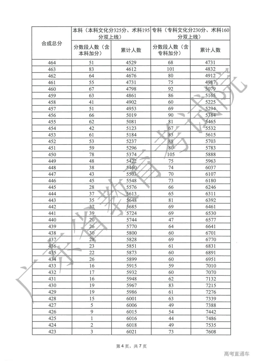
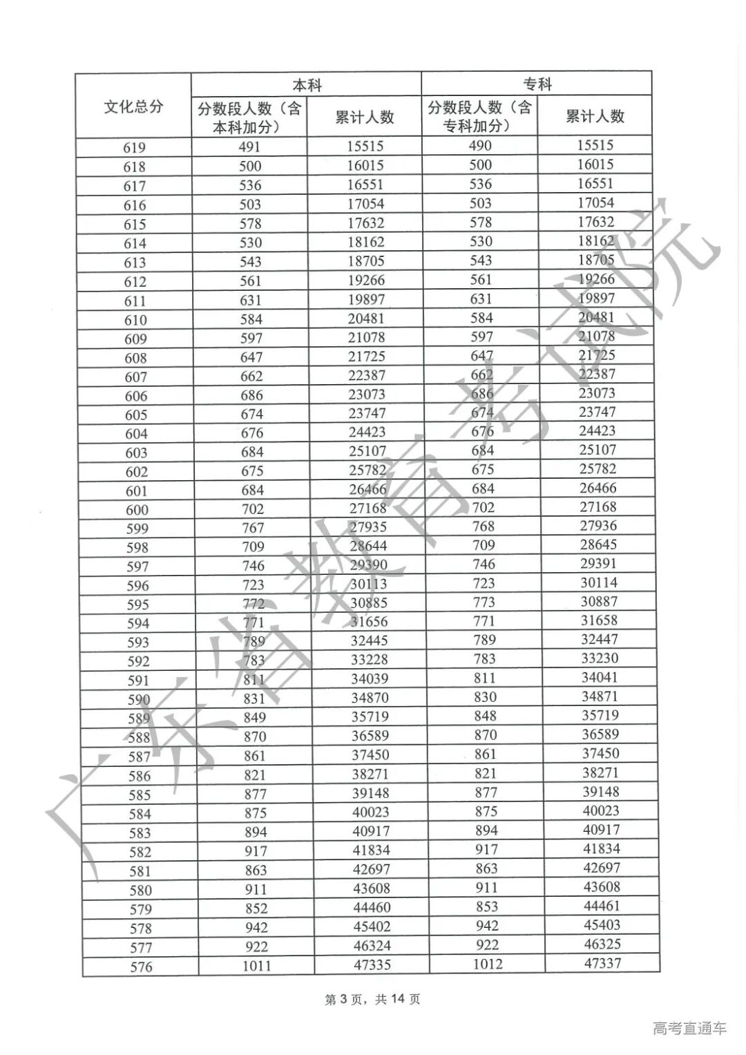
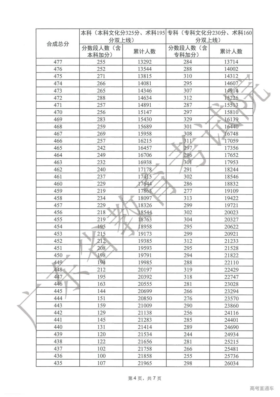
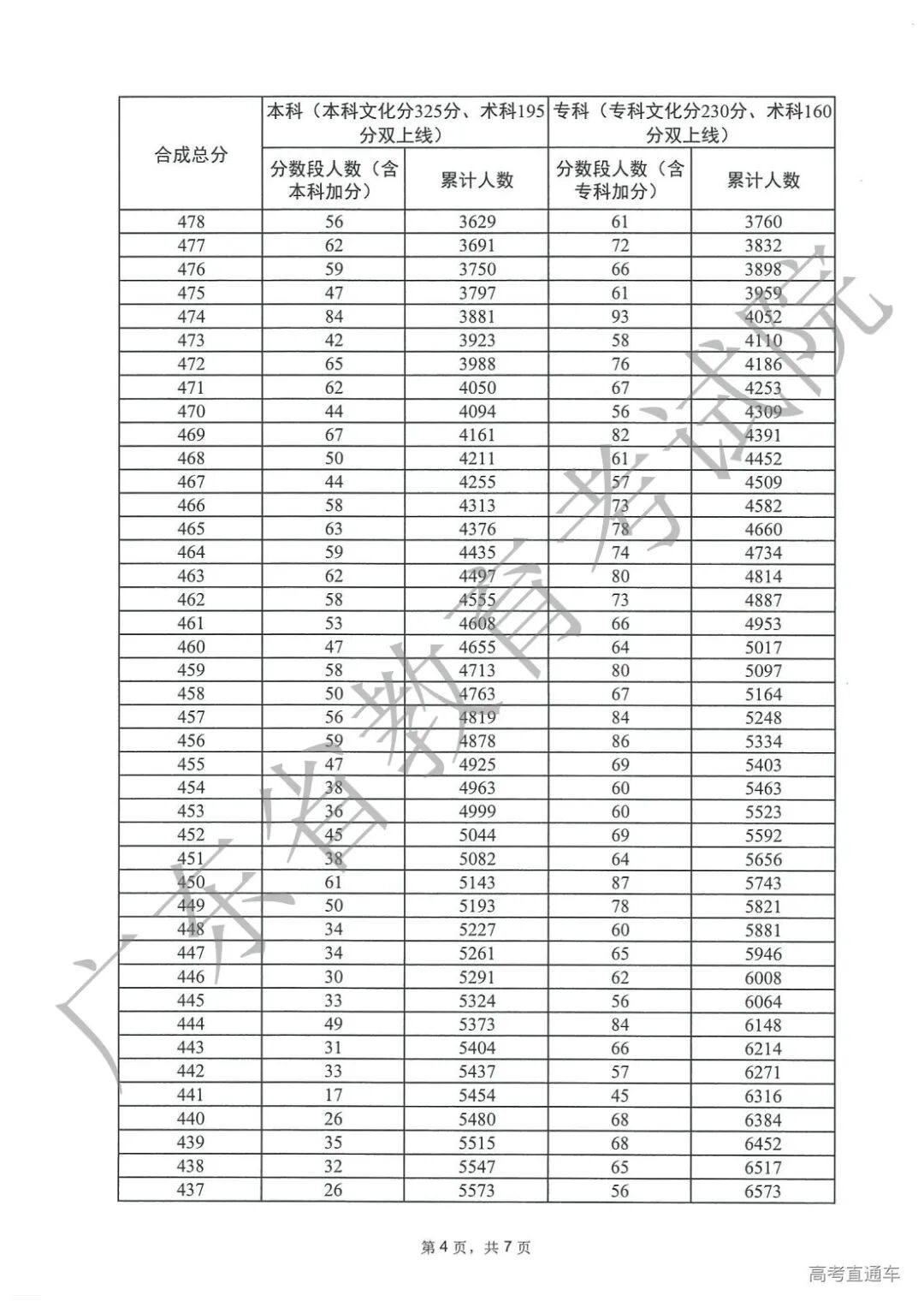
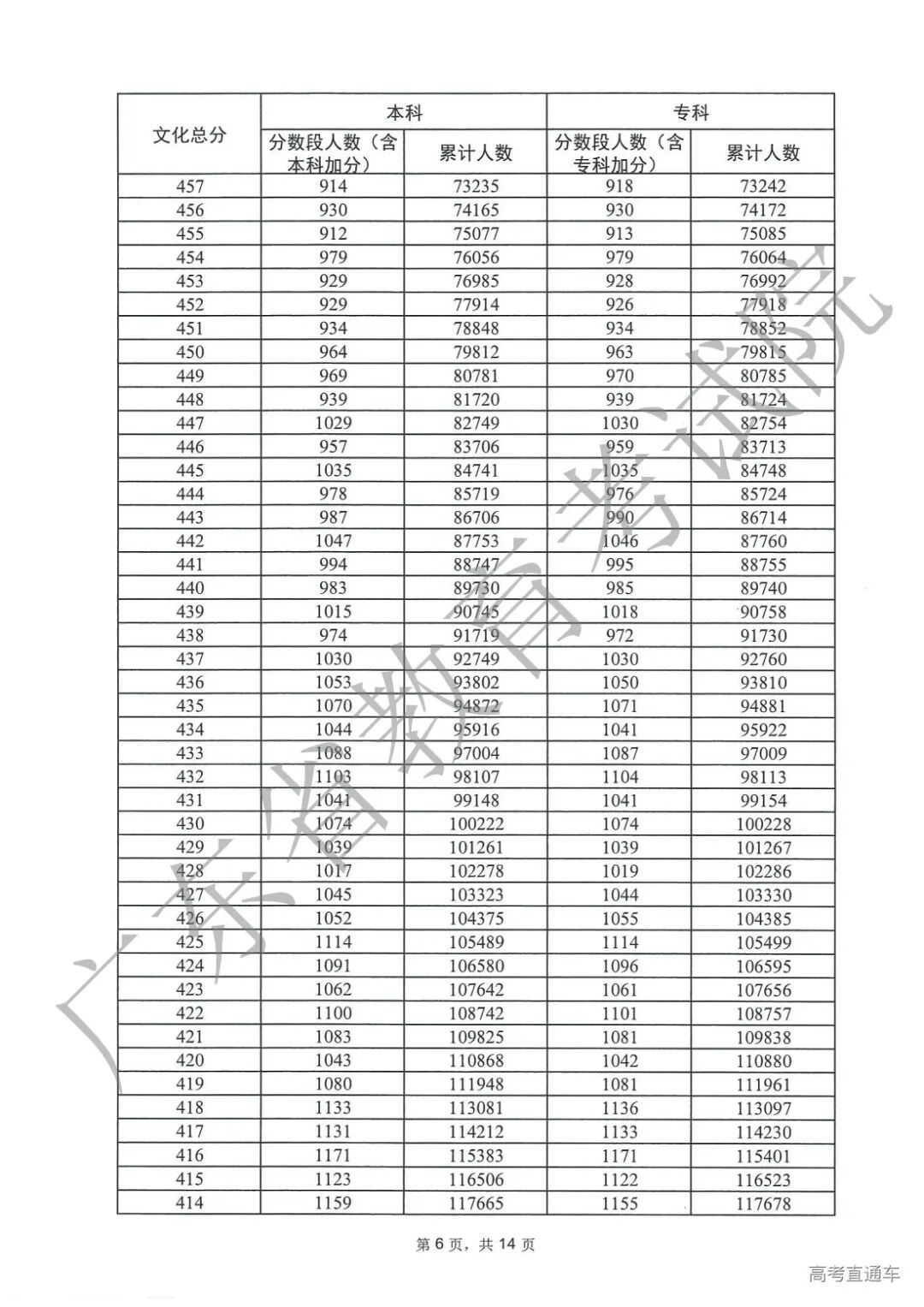
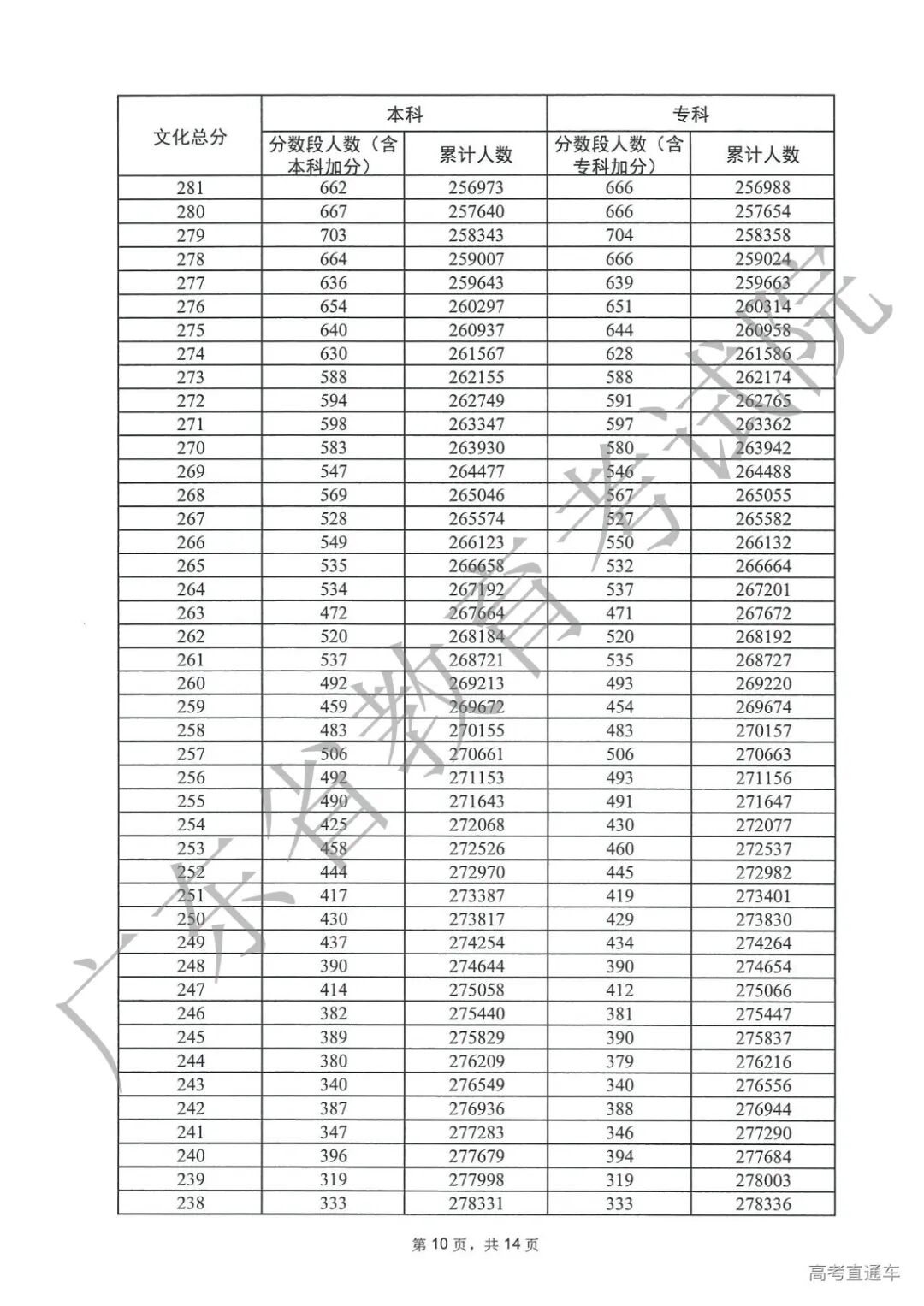
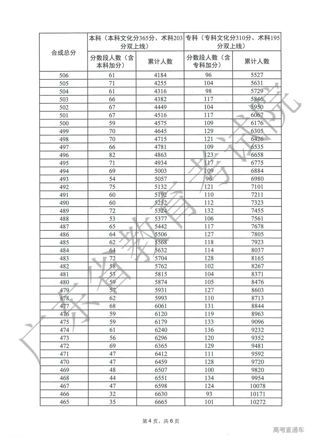
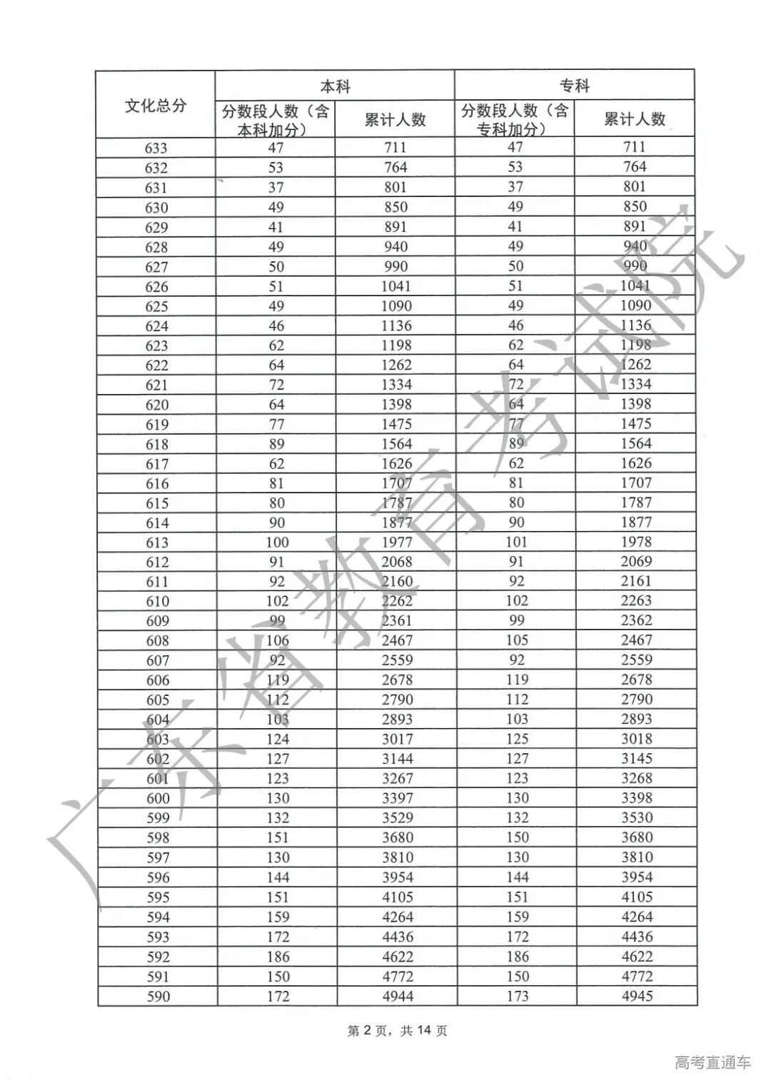
2024高考即将到来,同学们可以提前了解一下往年的录取和考生分数数据,心里有底了才能更好规划志愿。今天我们来重点看看广东2023年的一分一段表👇
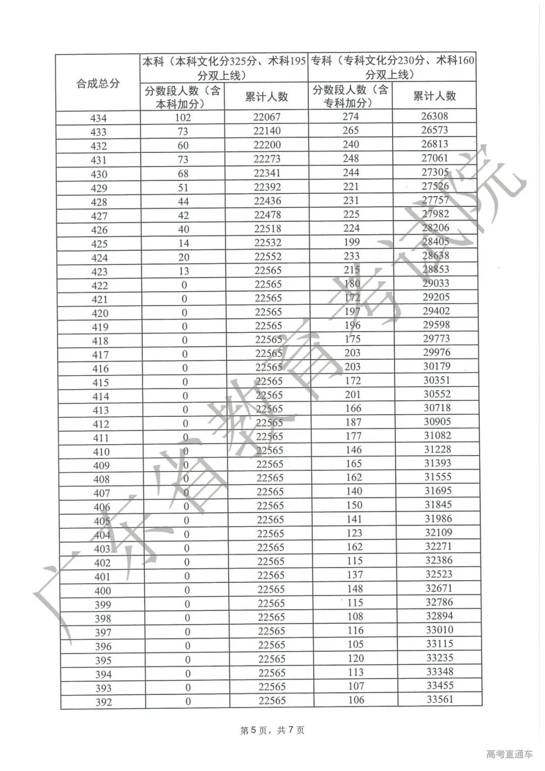
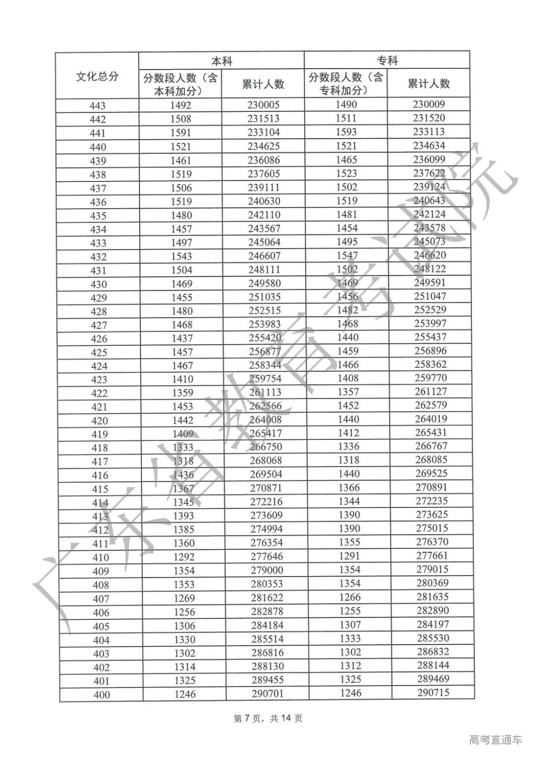
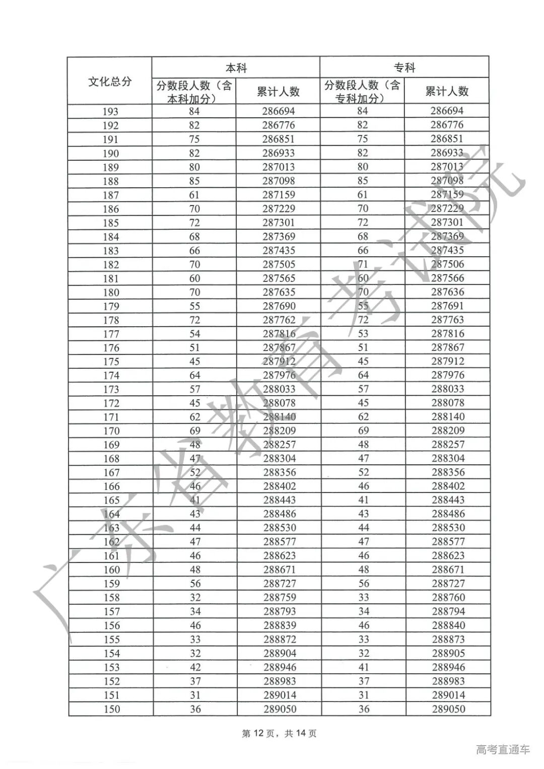
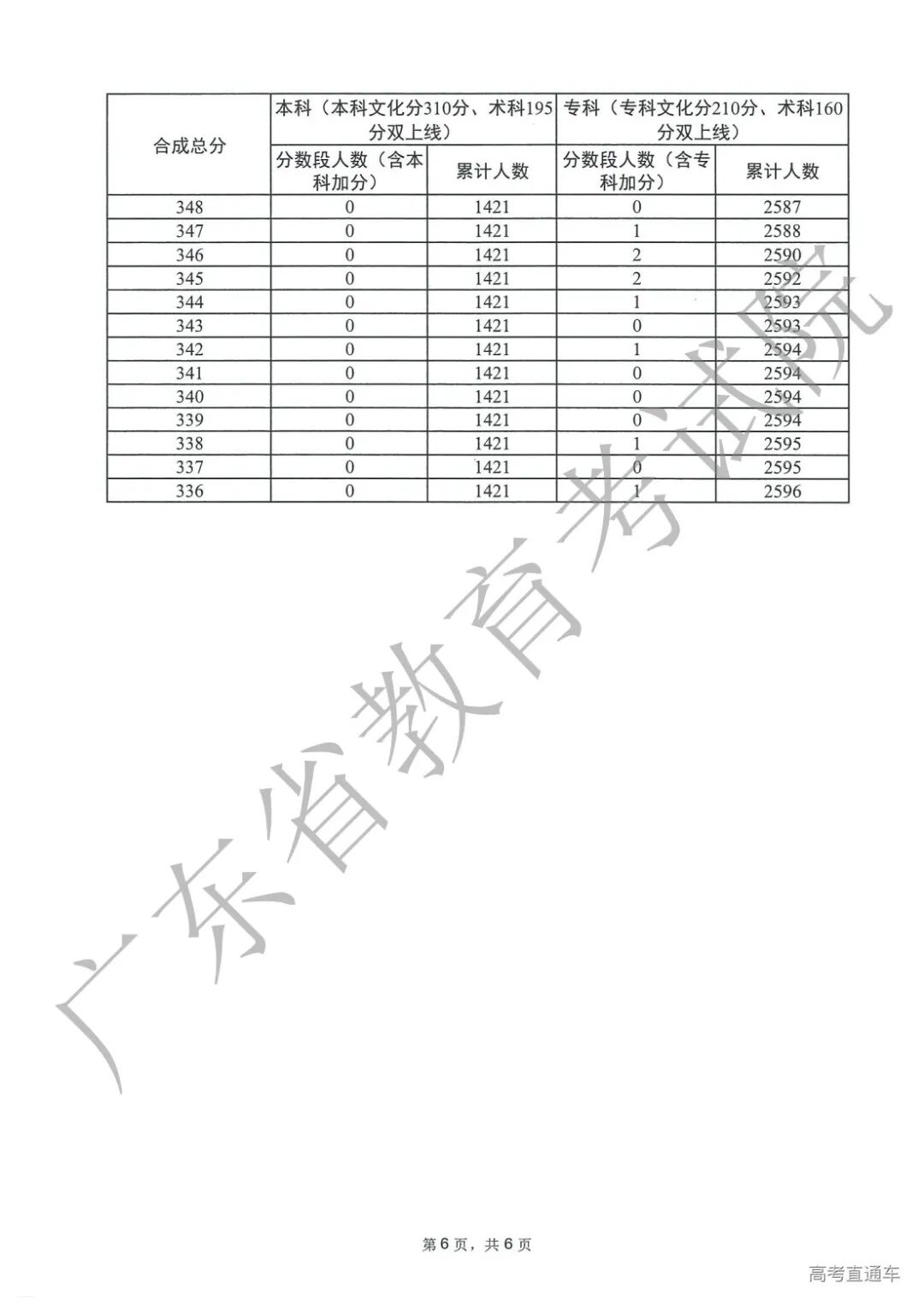
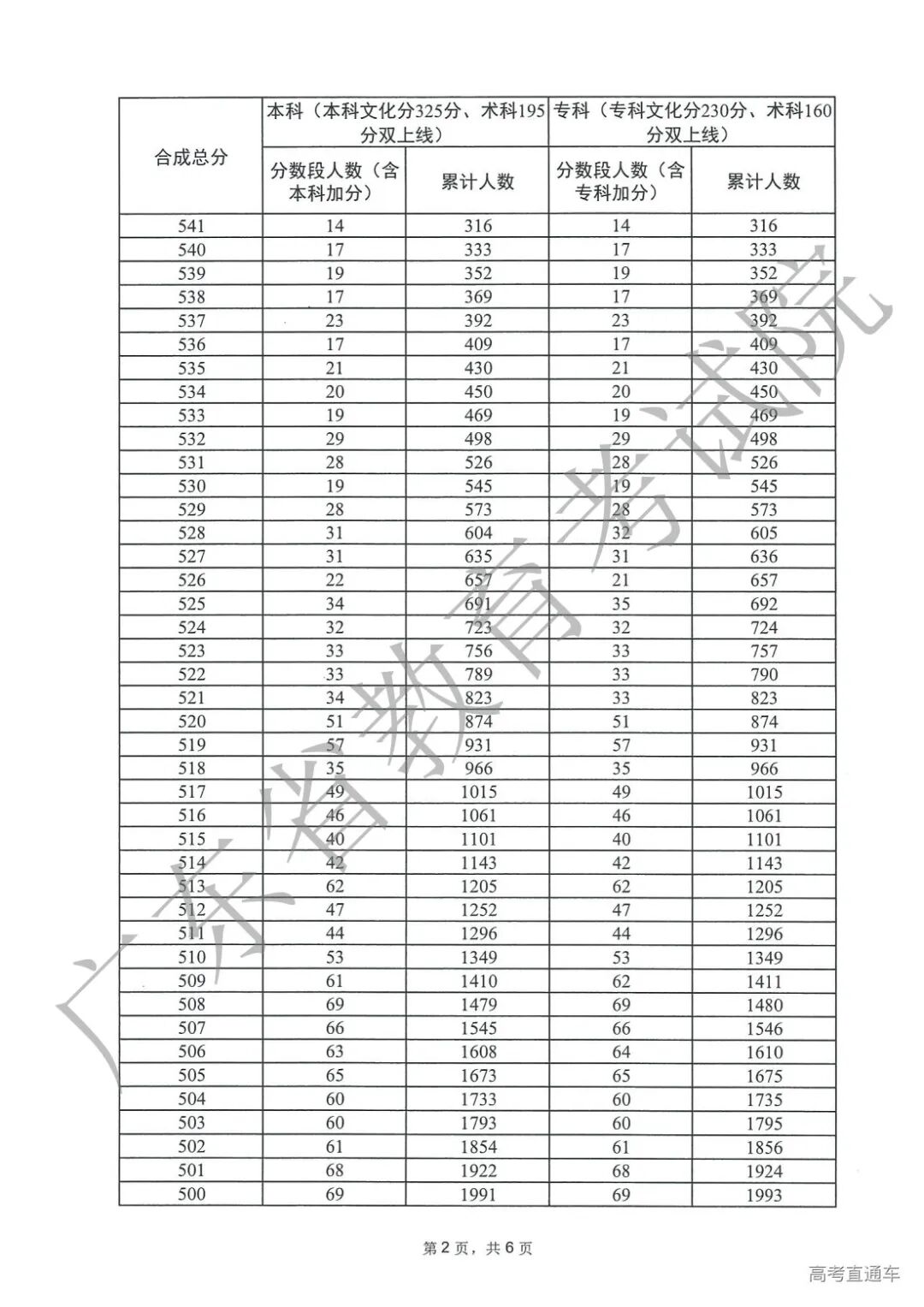
分数段:1分为一段。
各分数段人数:在此分数内的一共有多少考生。
累计人数:这个分数内最后一名考生的排名。
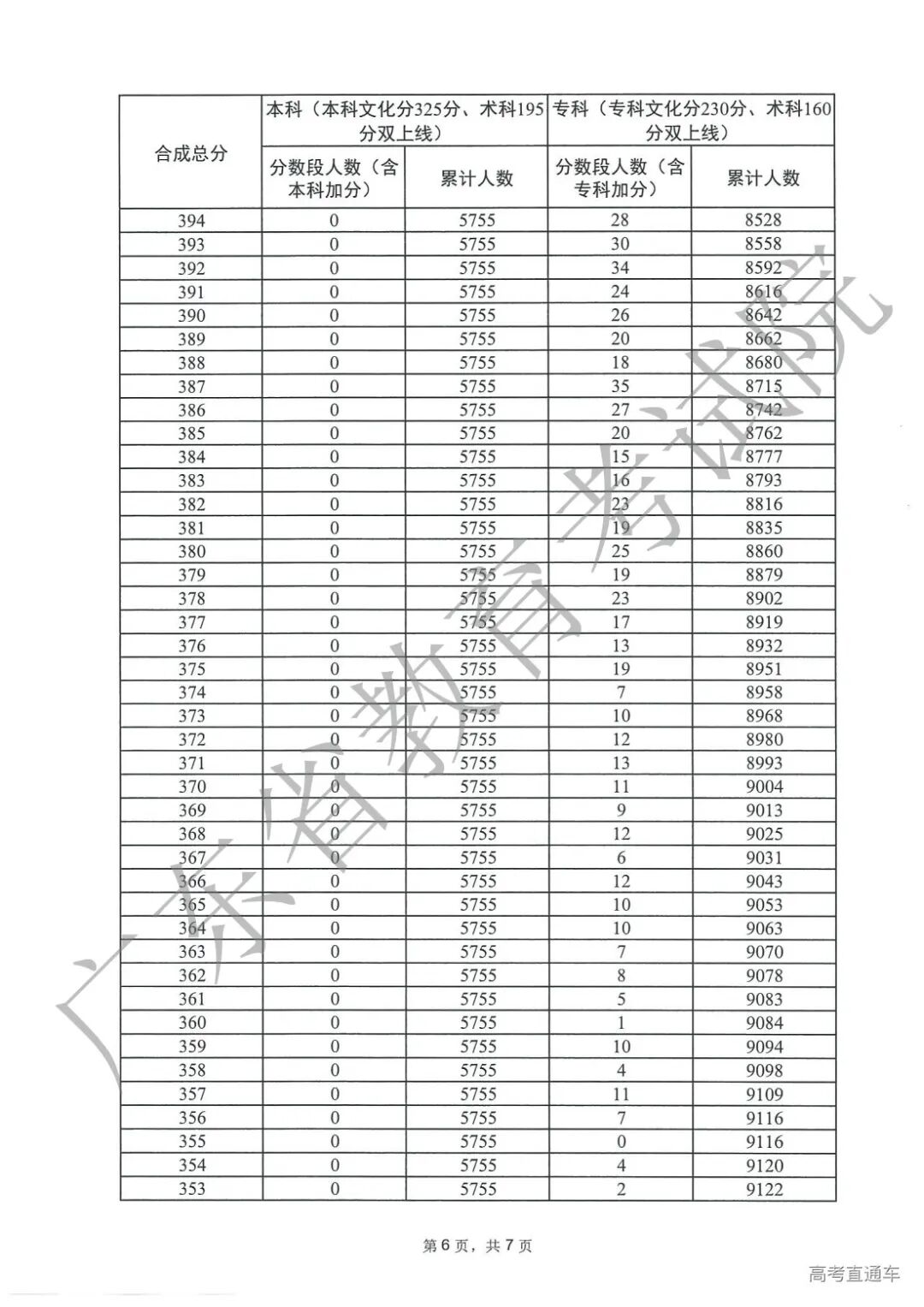
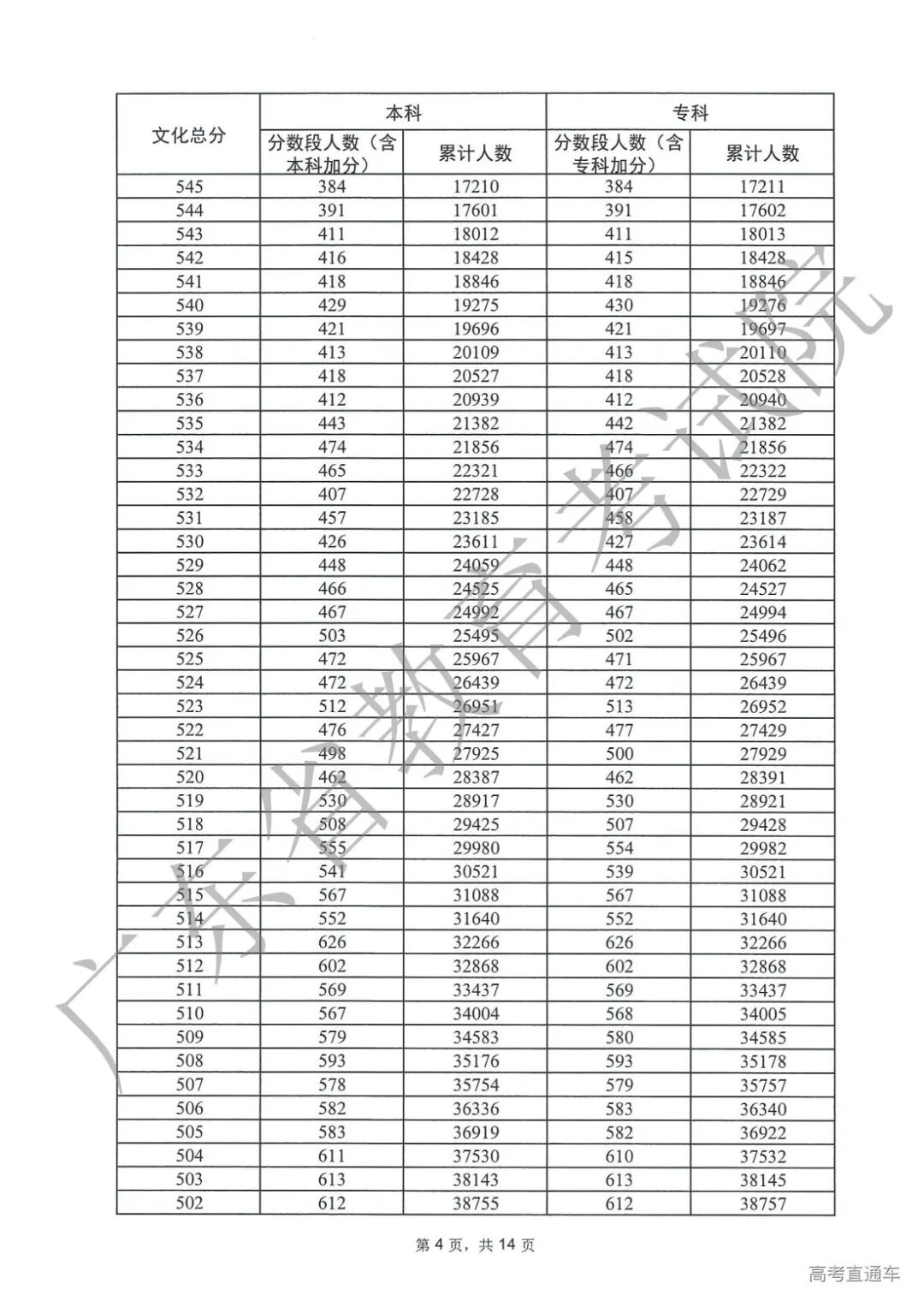
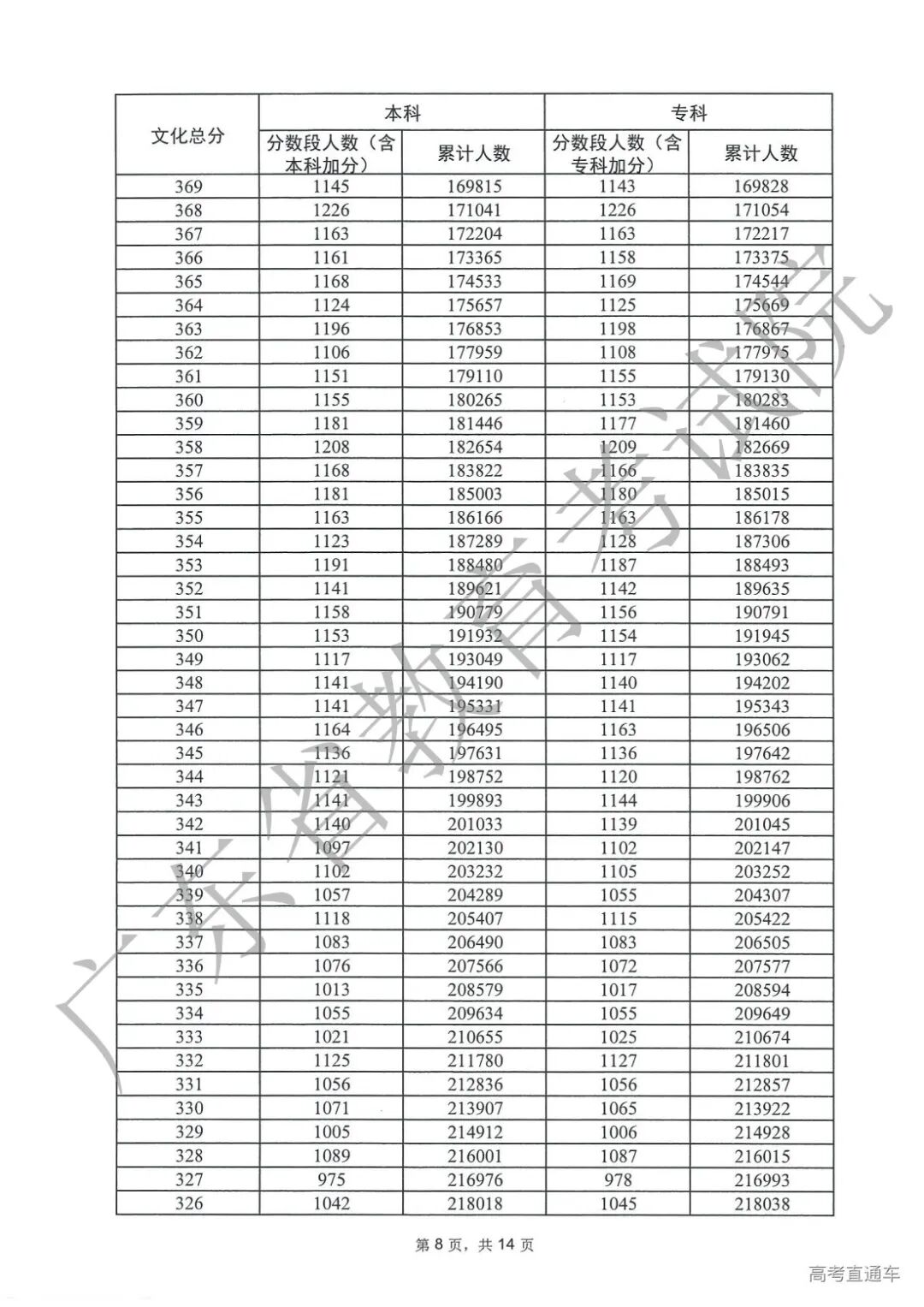
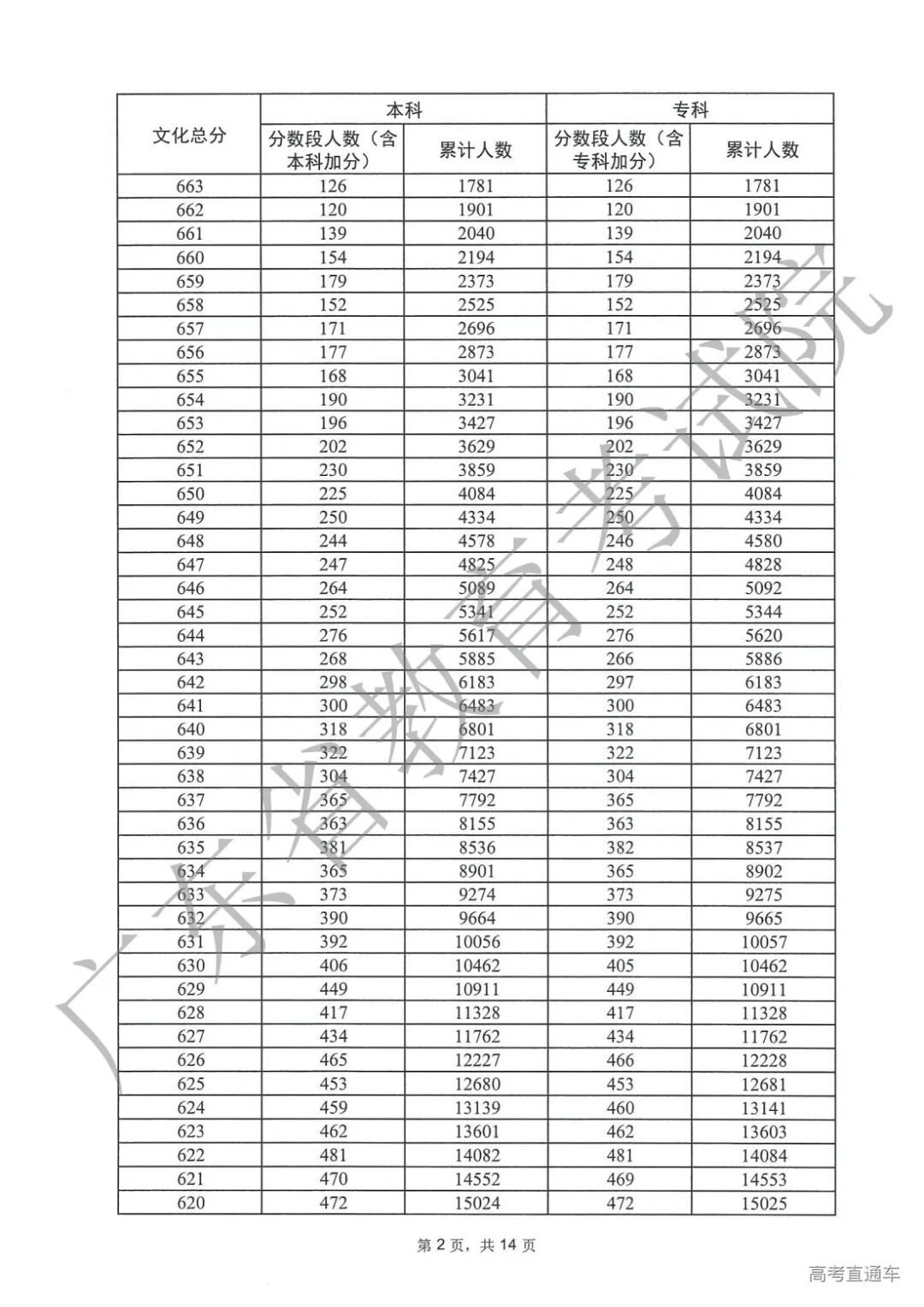
以下是广东2023年一分一段表,篇幅较长,请滑动浏览全部图片:
历史类
物理类
广播电视编导类(2024年取消招生)
书法类
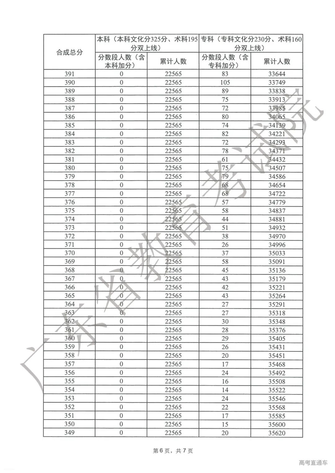
体育类
舞蹈类
音乐学类
音乐表演-声乐类
音乐表演-器乐类
美术类
播音与主持普通话类
播音与主持粤语类
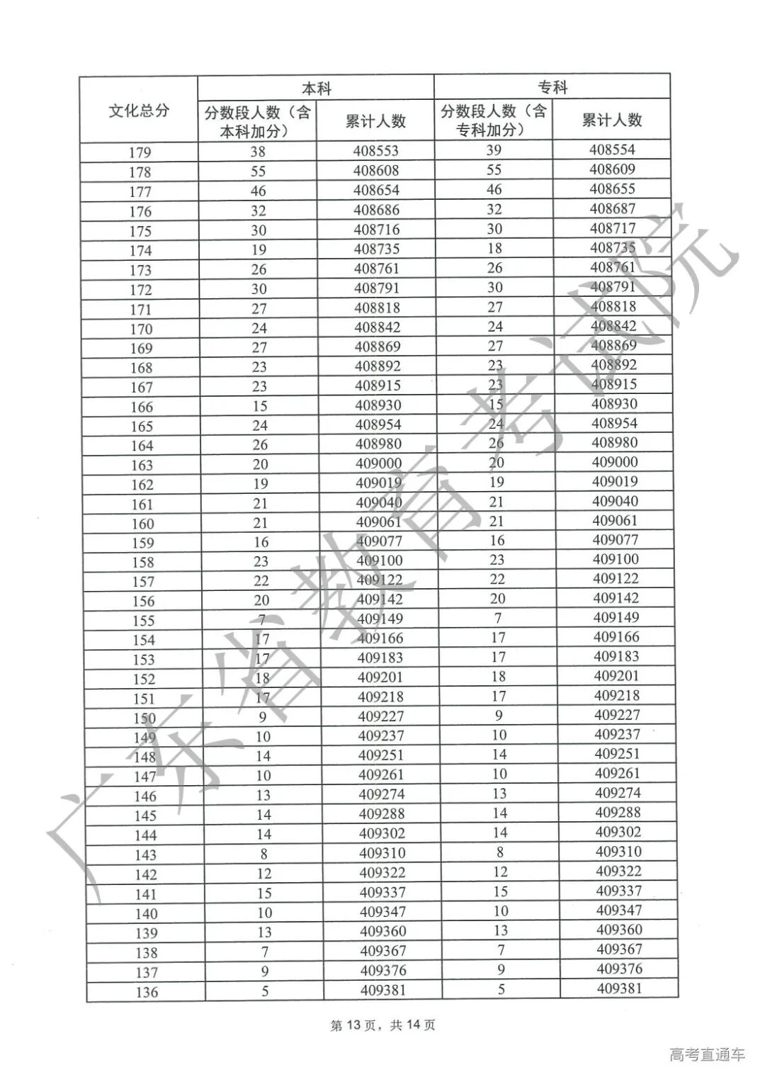
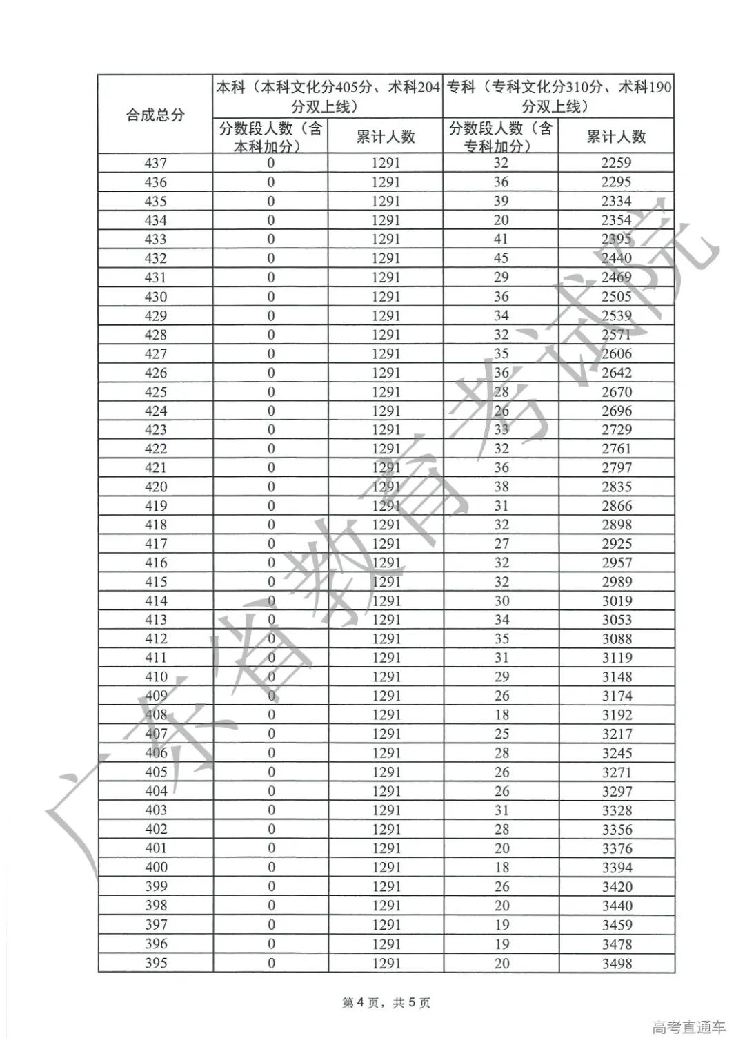
2023年广东夏季高考总考试人数约70万人。 物理类: 700分以上32人, 600分以上2.67万人, 539分(特控线)以上8.83万人 500分以上14.22万人, 439分(本科线)以上23.51万人, 180分(专科线)以上40.85万人。 历史类: 700分以上32人, 600分以上3377人, 540分(特控线)以上1.9万人, 500分以上3.99万人, 433分(本科线)以上9.63万人, 180分(专科线)以上28.76万人。
1.合成总分(含政策性加分)相同时,比较“3+1+2”考试科目总分(也即是裸分)高低,高者优先。
2.“3+1+2”考试科目总分(不含政策性加分)仍相同时,按以下原则进行排列:
第1位序,比较语文加数学两门合计成绩高低,高者优先; 第2位序,比较语文和数学两门中的单科较高成绩高低,高者优先; 第3位序,比较外语成绩高低,高者优先; 第4位序,普通类专业按选考物理、历史分开两类比较物理或历史成绩高低,高者优先;艺体类专业比较术科统考成绩(播音与主持类为校际联考成绩)高低,高者优先; 第5位序,比较两门再选科目中的单科较高成绩高低,高者优先; 第6位序,比较两门再选科目中的单科次高成绩高低,高者优先; 第7位序,单科成绩均相同的同时投档。
截取自2023高考查分公告↑
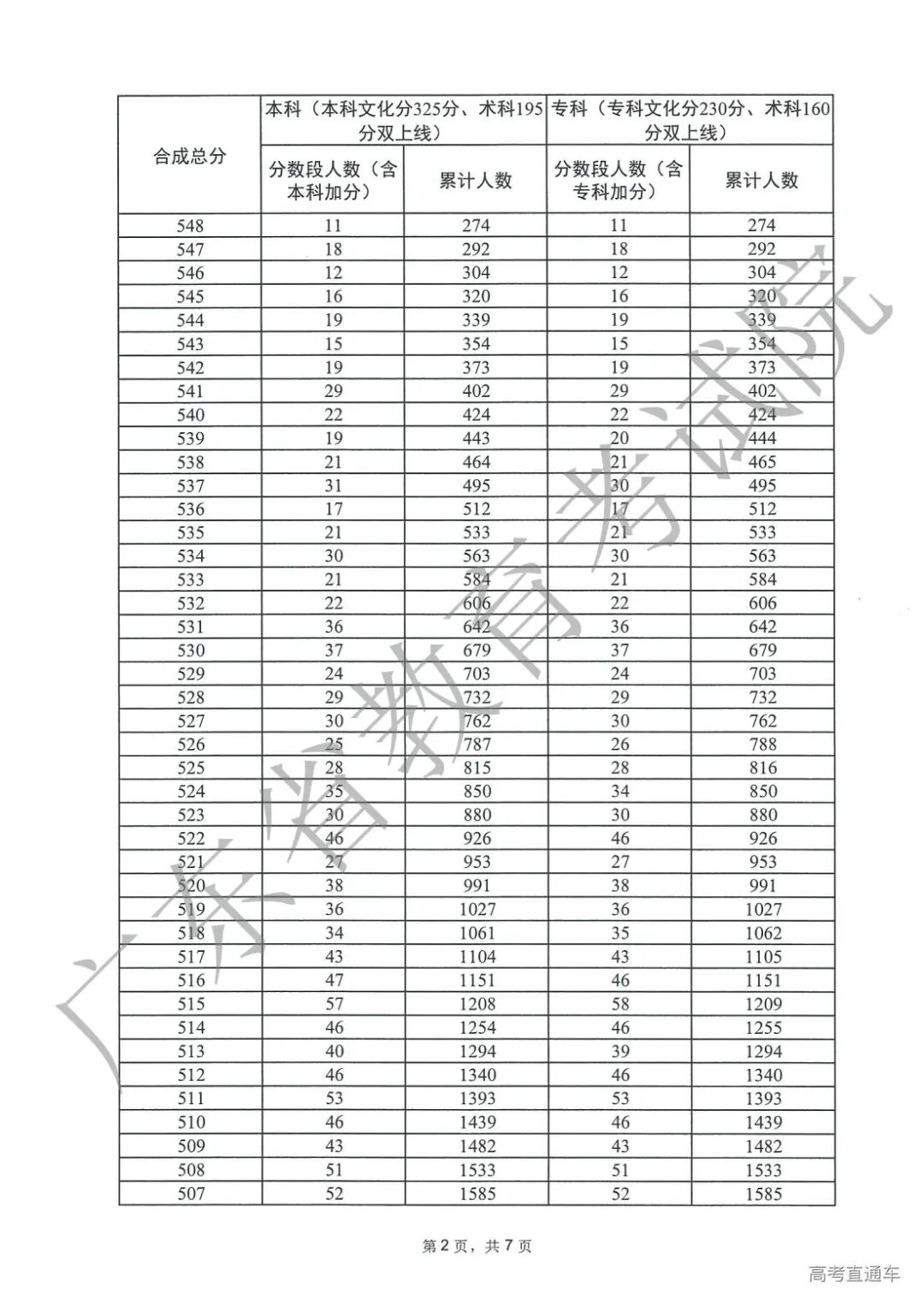
在夏季高考中,同一个分数就多达1600+、1500+人。可见,人数扎堆严重的情况下,语文/数学分数高的考生还是有一定优势的!

















































