现将有关部门审核各类普通高考加分、同等条件优先录取考生名单予以公示,如有异议请向省、市招生考试机构及有关部门举报。
辽宁省招生考试办公室
2021年6月9日
附件:
1.辽宁省2021年普通高校招生考试本人申请经审核具备报考并达到有关高等学校投档线应予以优先录取的一级至四级残疾军人子女的考生名单(公示)(点击链接查看)
2.辽宁省2021年普通高校招生考试本人申请经审核具备高考加分资格的“自主就业的退役士兵”考生名单(公示)(点击链接查看)
3.辽宁省2021年普通高校招生考试本人申请经审核具备高考加分资格的归侨学生、归侨子女和华侨在国内的子女考生名单(公示)(点击链接查看)
4.辽宁省2021年普通高校招生考试本人申请经审核具备高考加分资格的台湾省籍考生名单(公示)(点击链接查看)
5.辽宁省2021年普通高校招生考试本人申请经审核具备在同等条件下优先录取的公安英模和因公牺牲公安民警子女的考生名单(公示)(点击链接查看)
6.辽宁省2021年普通高校招生考试本人申请经审核具备在同等条件下优先录取的退出部队现役考生名单(公示)(点击链接查看)
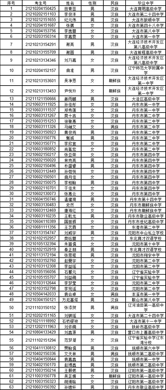
7.辽宁省2021年普通高校招生考试具备加分资格的“双语生”考生名单(公示)(点击链接查看)
(部分图表如下所示,由于内容过多,请自行点击链接查看)
8.辽宁省2021年普通高校招生考试具备加分资格的少数民族自治县的少数民族考生名单(公示)(点击链接查看)
(部分图表如下所示,由于内容过多,请自行点击链接查看)










