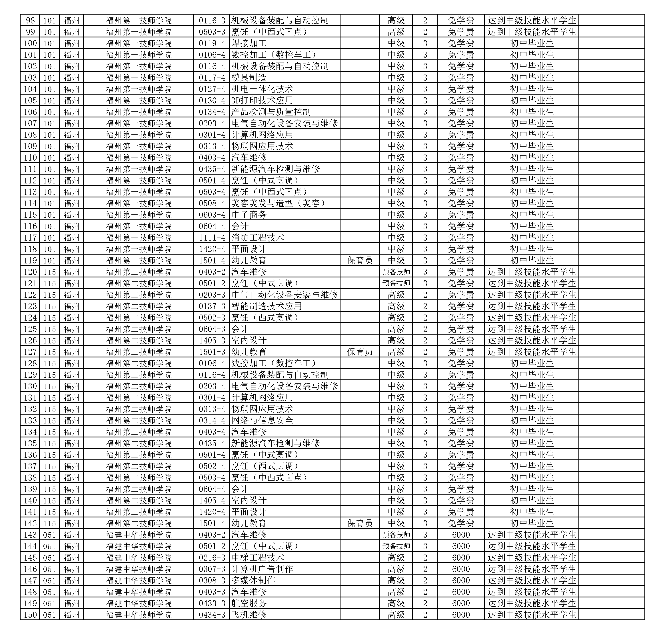
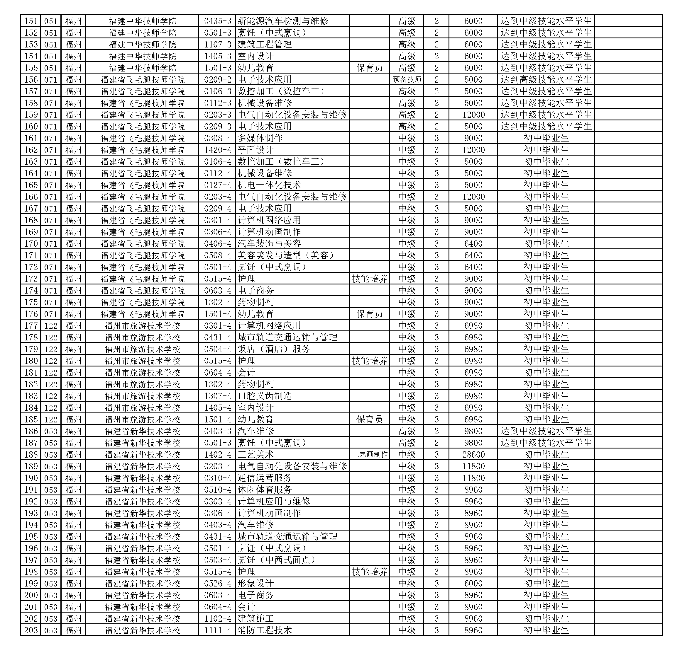
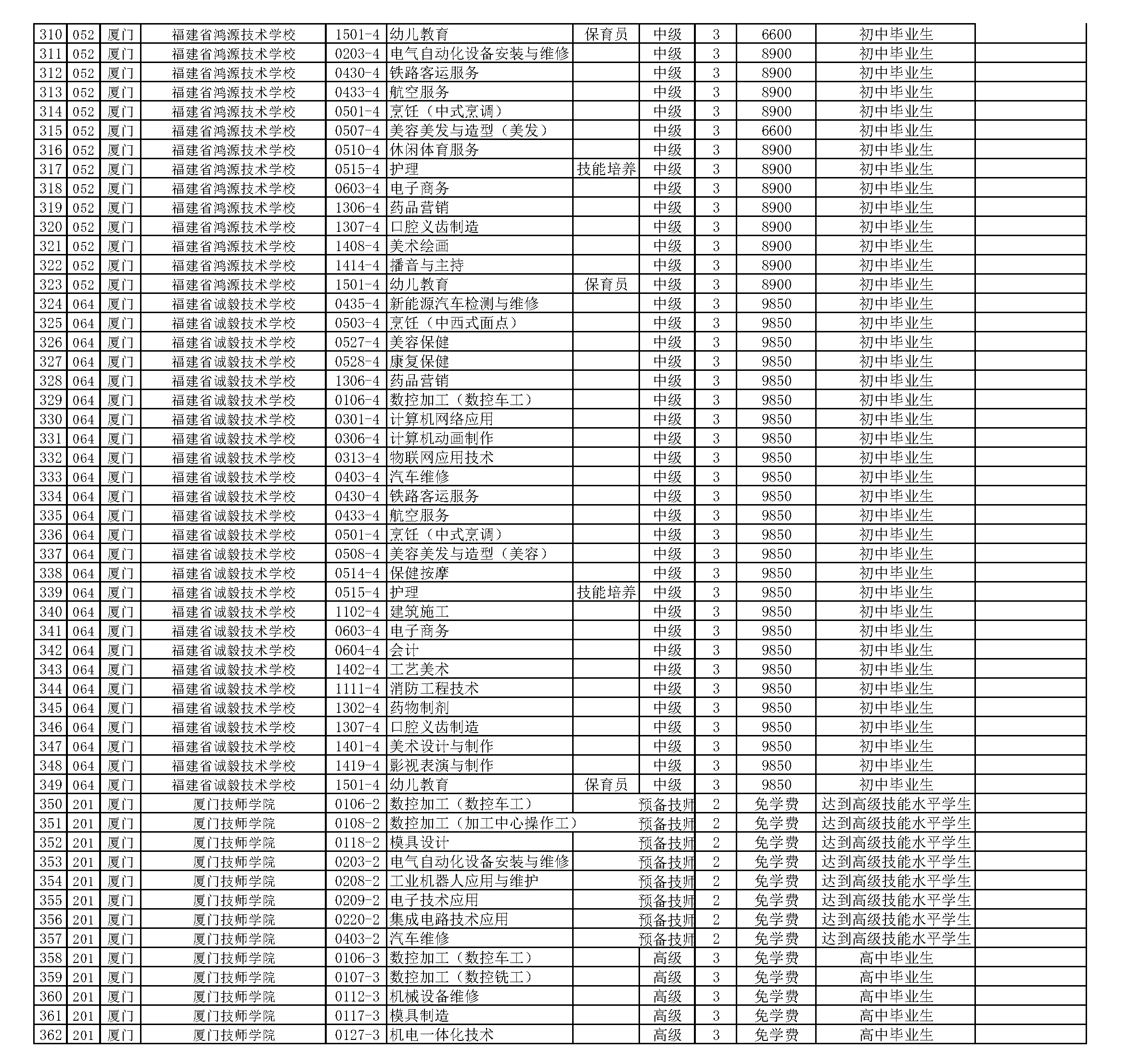
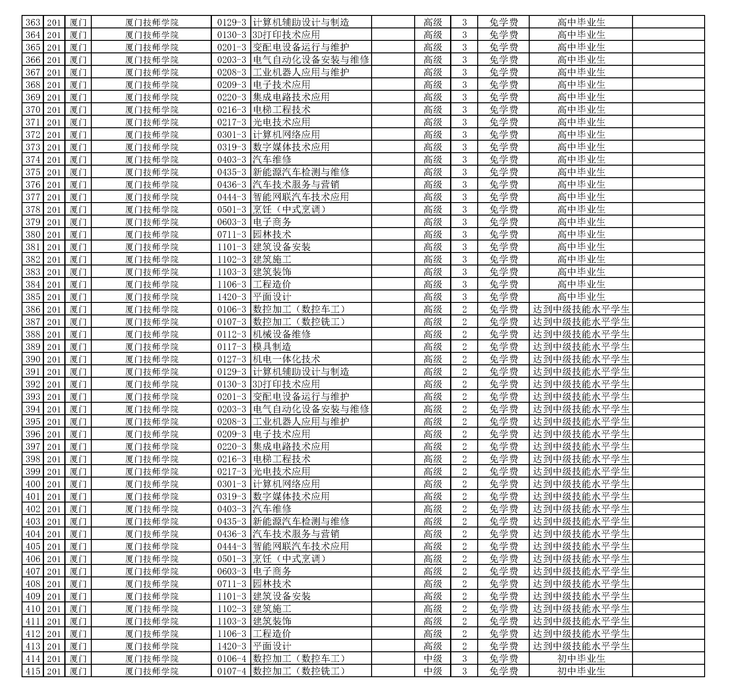
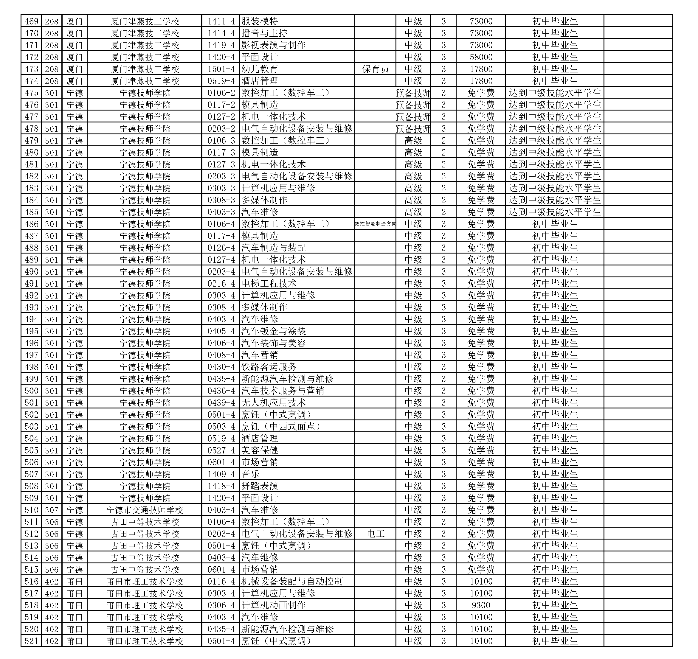
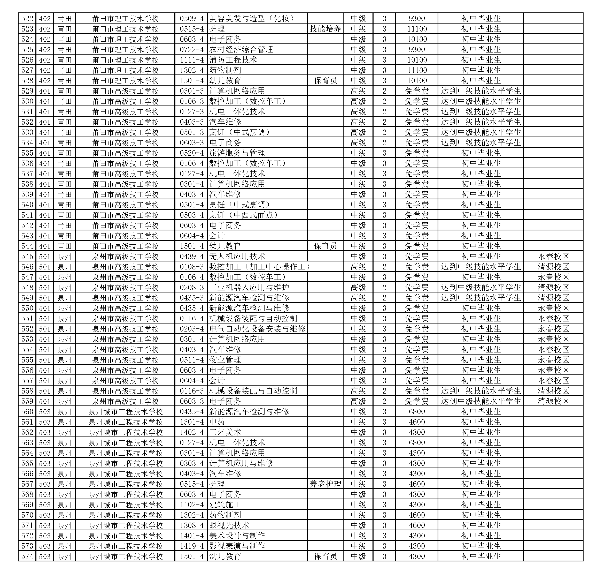
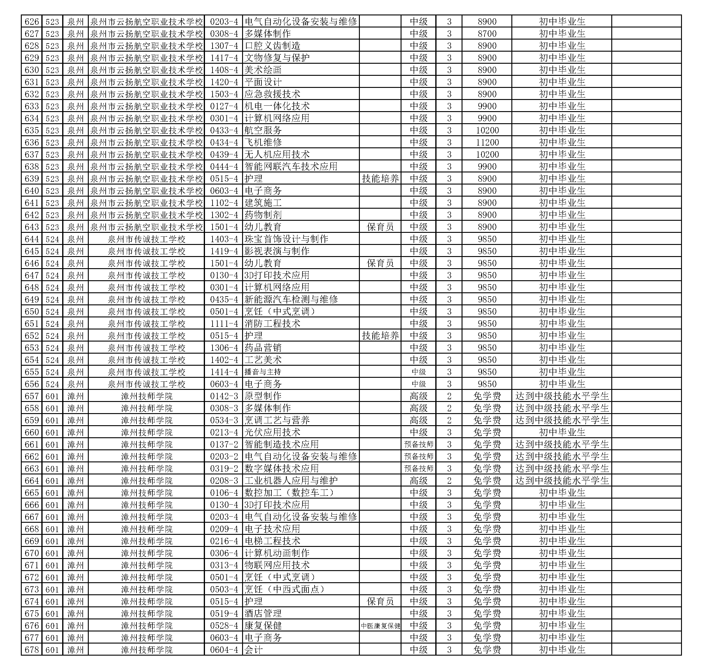
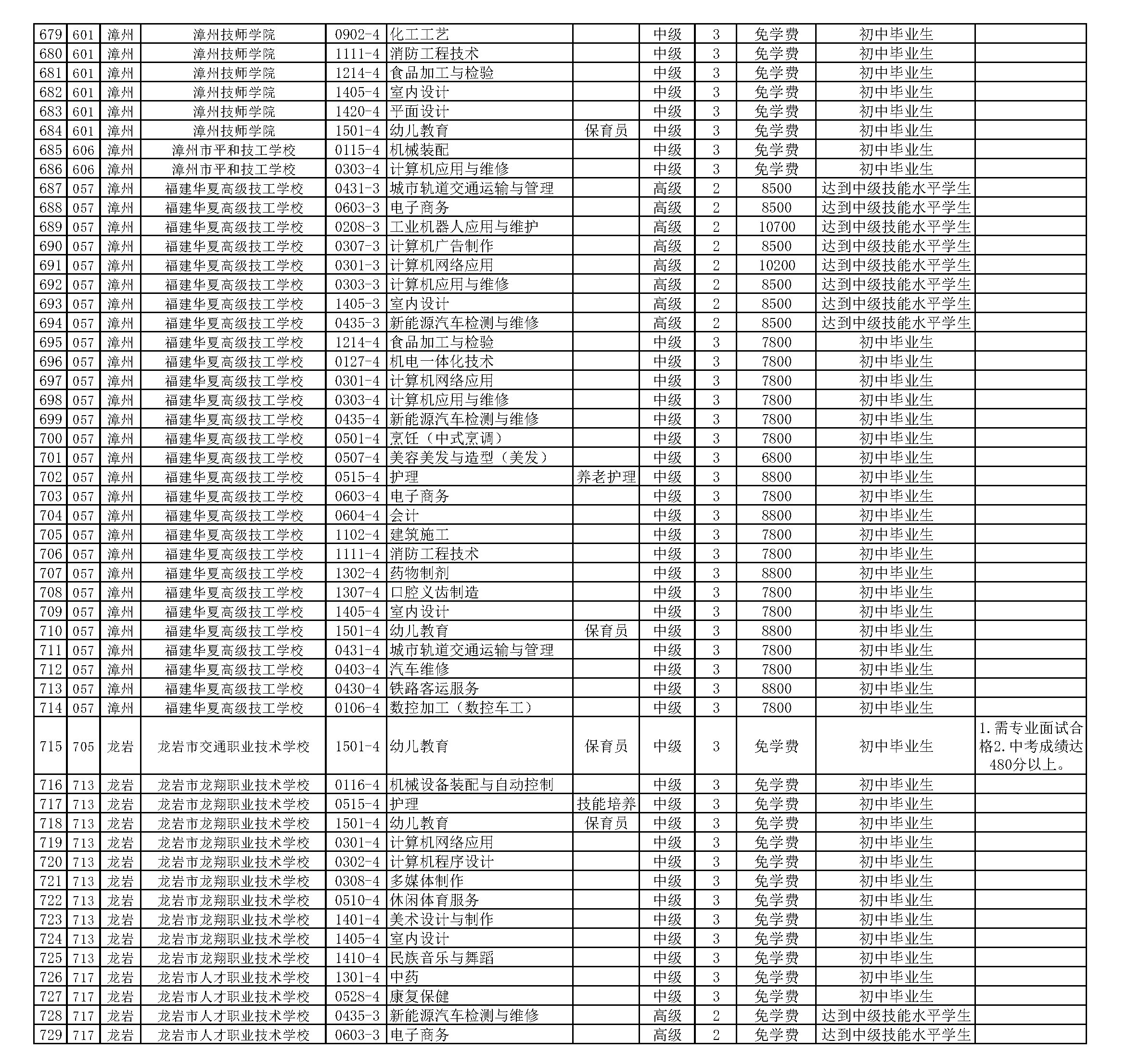
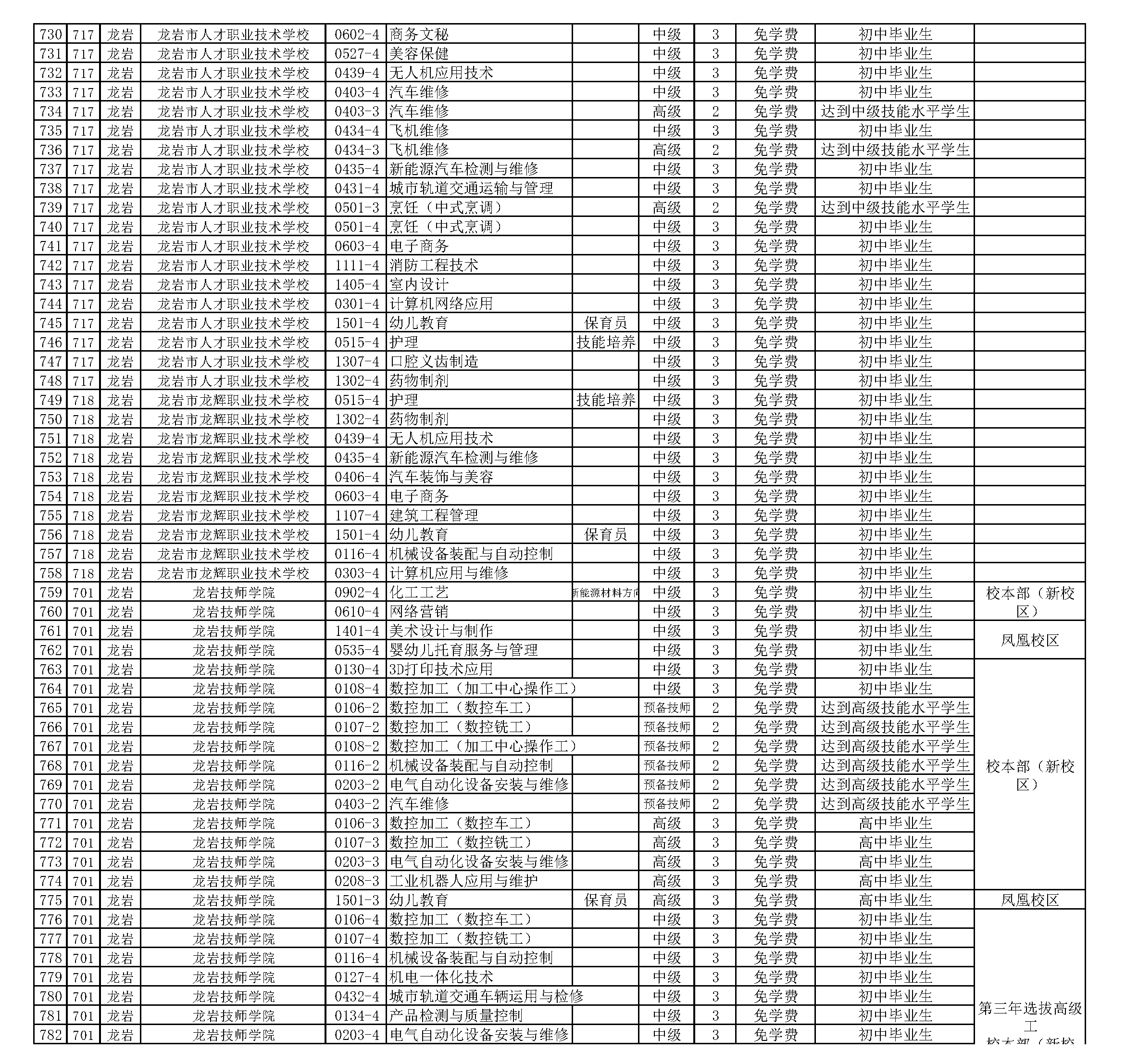
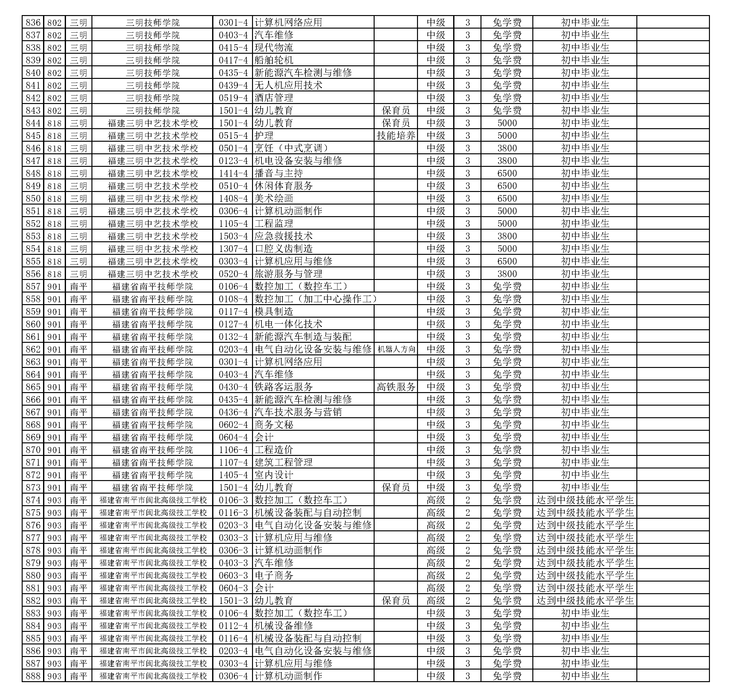
为做好我省2023年中等职业教育招生工作,日前,省教育厅、省人社厅公布具有中等职业教育招生资质的职业学校、技工院校名单和拟招生专业名单。
根据相关要求,2023年具有中等职业教育招生资质的职业学校要强化责任意识,规范招生录取行为,切实维护学生合法权益。严格按照备案的2023年中等职业教育拟招生专业开展招生和宣传。
未列入招生资质名单的职业学校、未备案的招生专业一律不得招生。未经办学地设区市教育行政部门审批设立的中职异地分校、办学点不得招生。未经生源省与计划招生省主管部门备案,不得开展跨省招生及联合招生。严禁中职学校与非学历教育培训机构联合办学。
附件(点击下载):
1 2023年福建省具有中等职业教育招生资质的职业学校名单(1).xlsx
3.2023年福建省首批具有招生资质的技工院校名单.xlsx
4.2023年秋季福建省招生技工院校招生专业名单(首批).xlsx

























































































