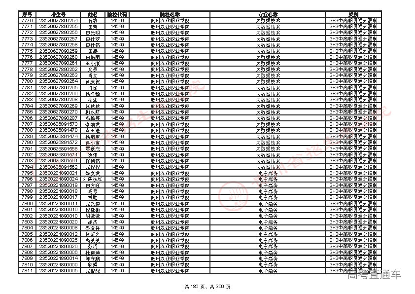
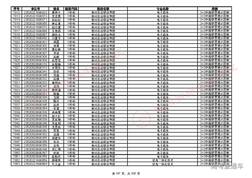
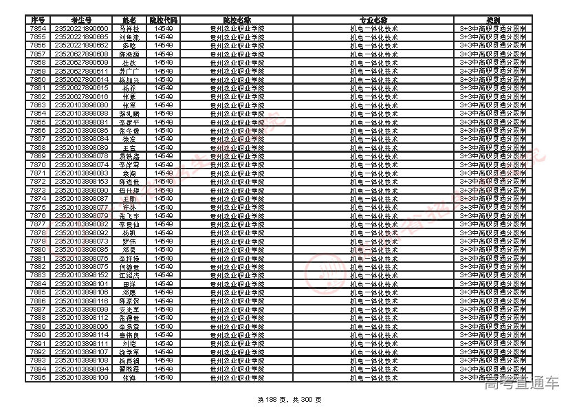
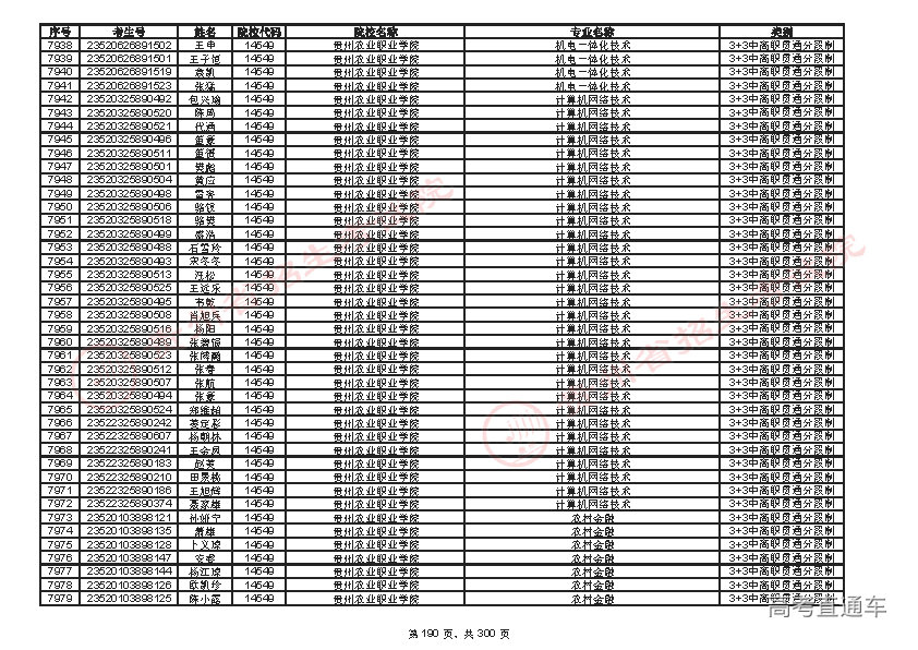
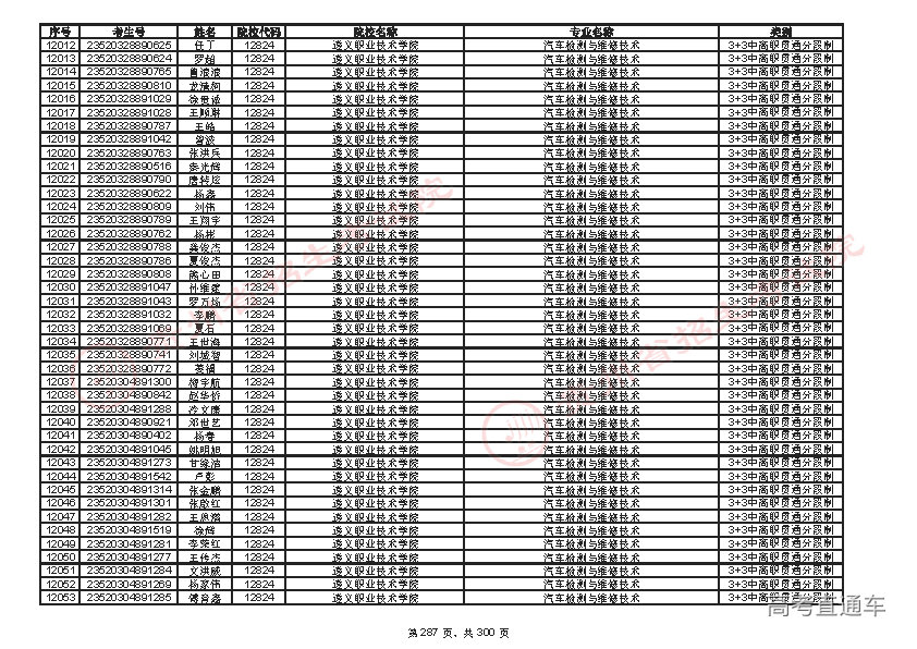
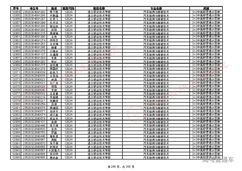
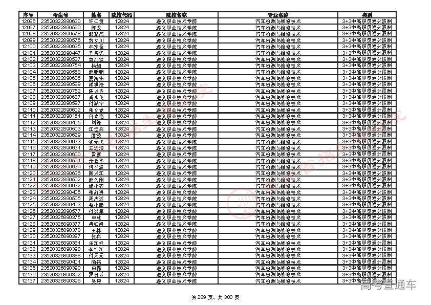
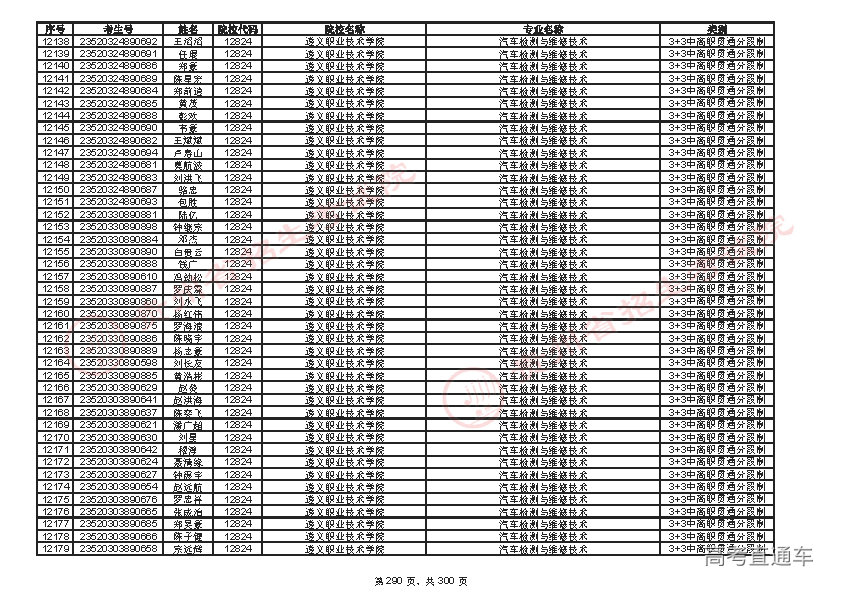
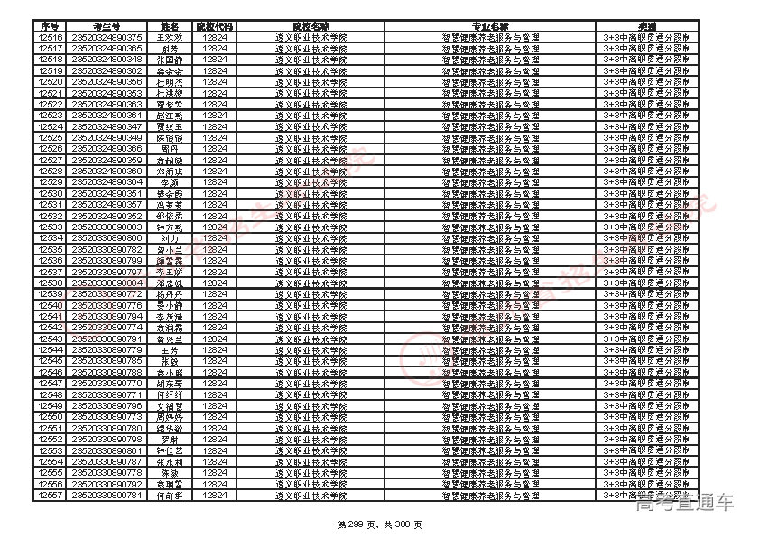
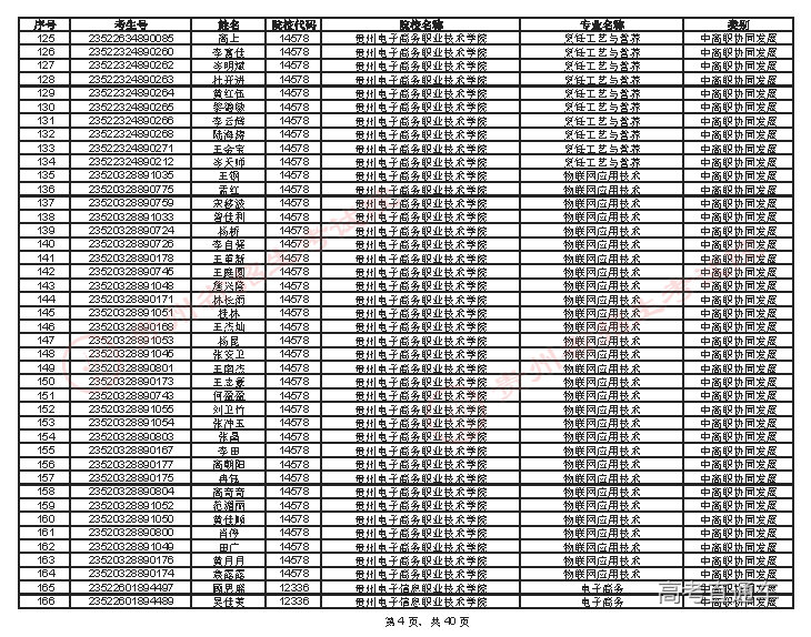
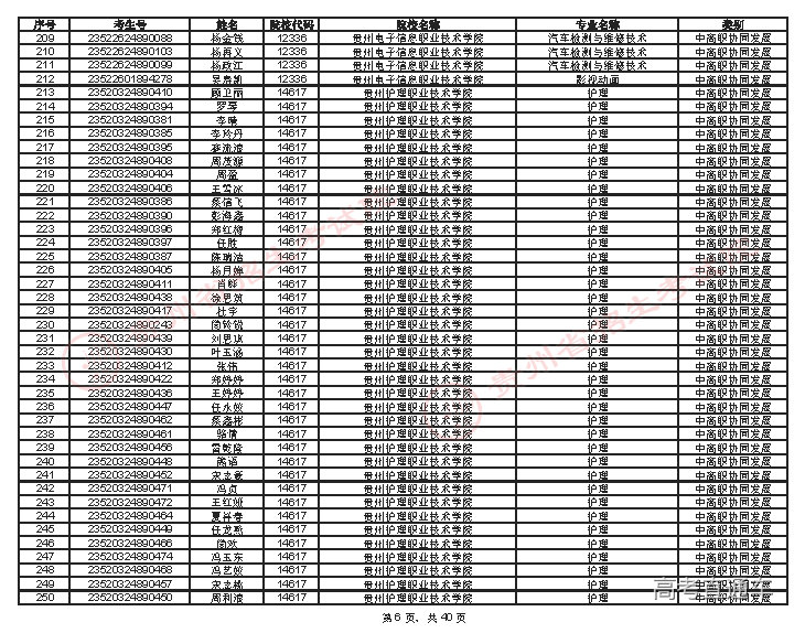
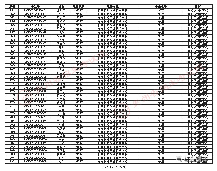
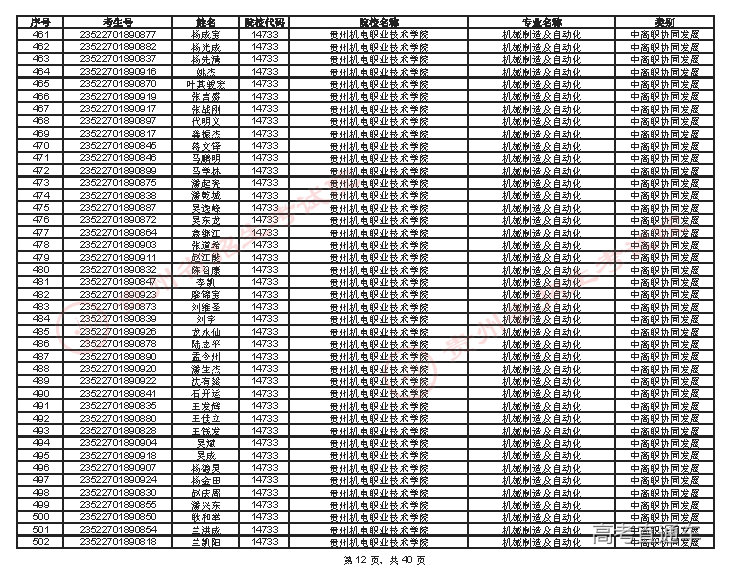
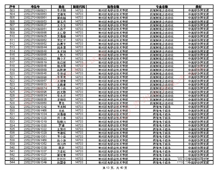
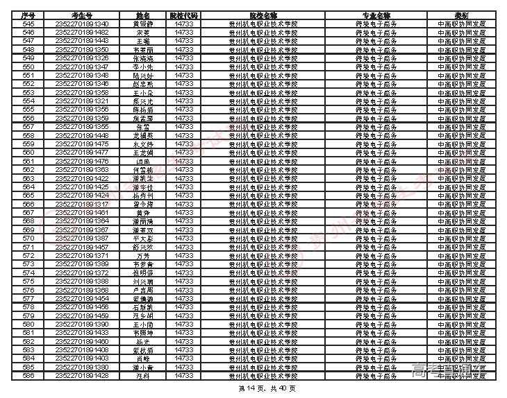
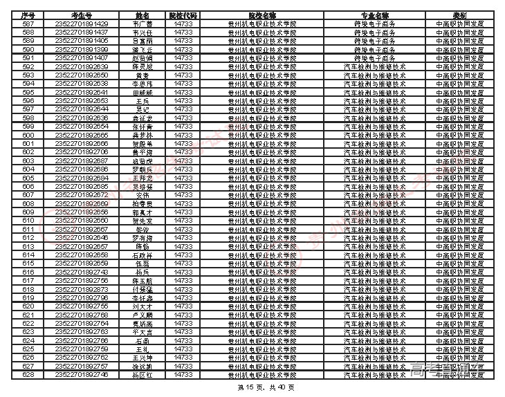
根据《省招生委员会关于做好2023年高职(专科)院校分类考试招生工作的通知》(黔招委〔2022〕29号)要求,现将贵州省2023年“3+3”中高职贯通分段制、中高职协同发展和五年一贯制转录学生名单予以公示。公示时间:2023年2月8日至2023年2月21日,共10个工作日。如有异议,请通过下列渠道反映。
通讯地址:贵州省贵阳市观山湖区石标路240号,邮编:550081。
举报电话:0851—85952835。
附件(点击下载):
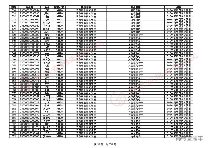
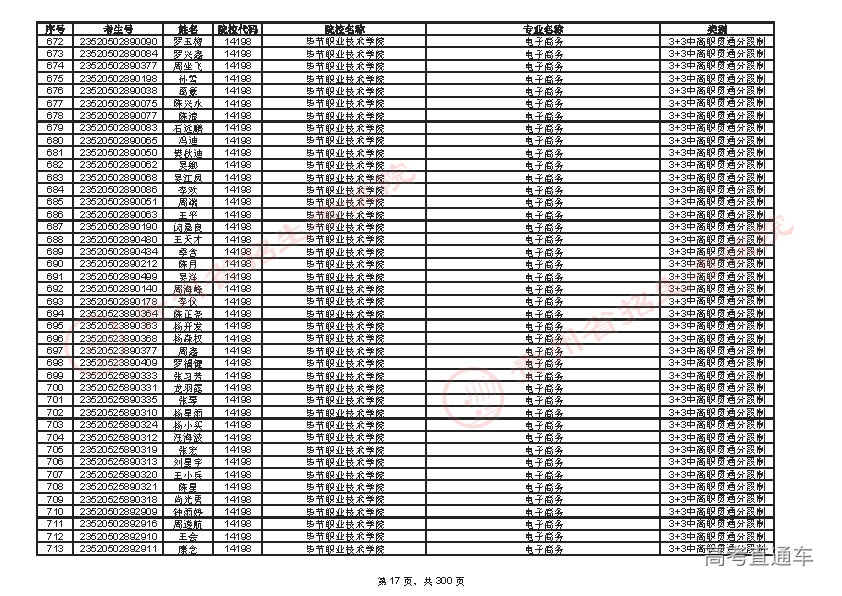
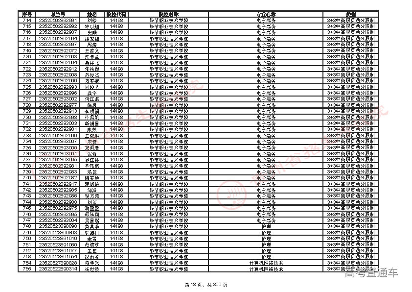
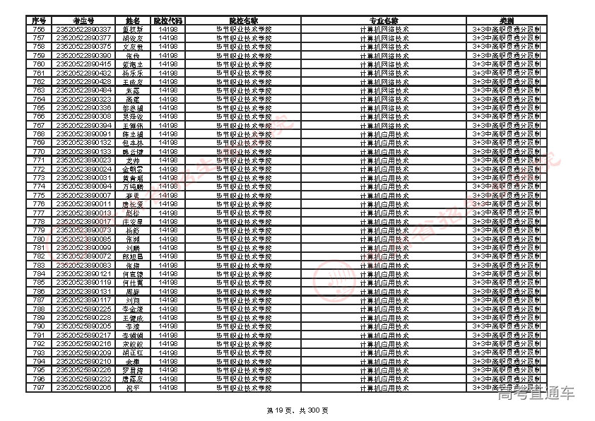
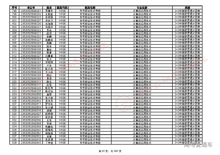
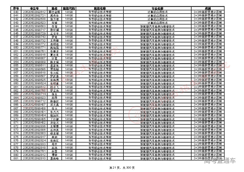
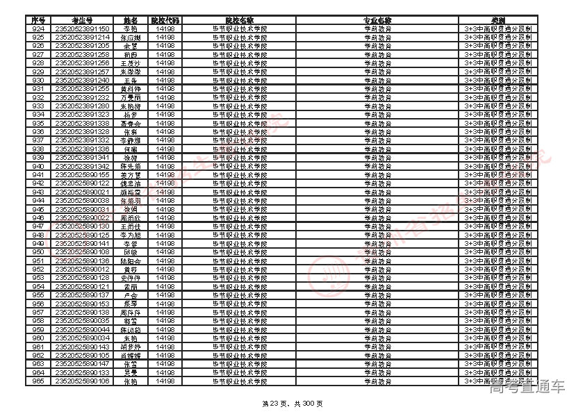
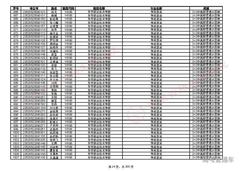
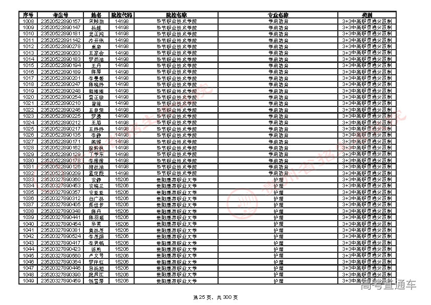
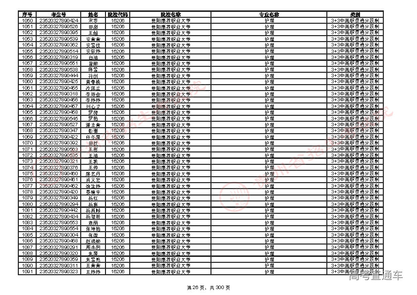
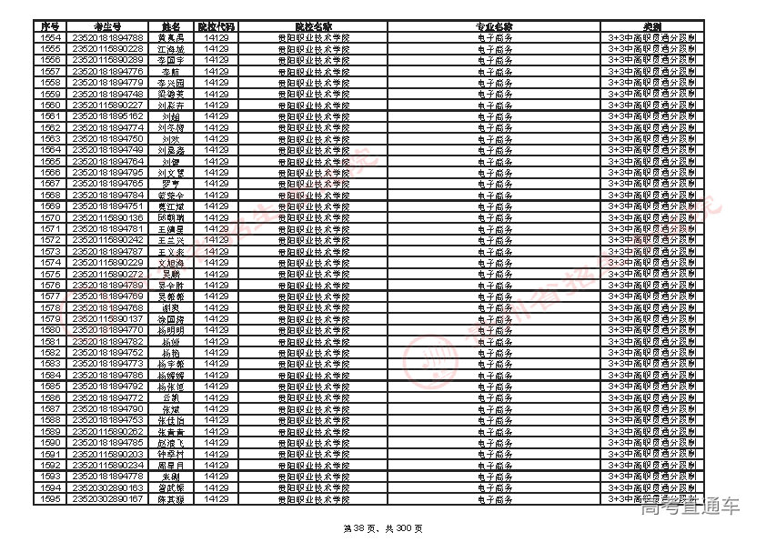
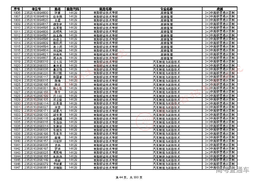
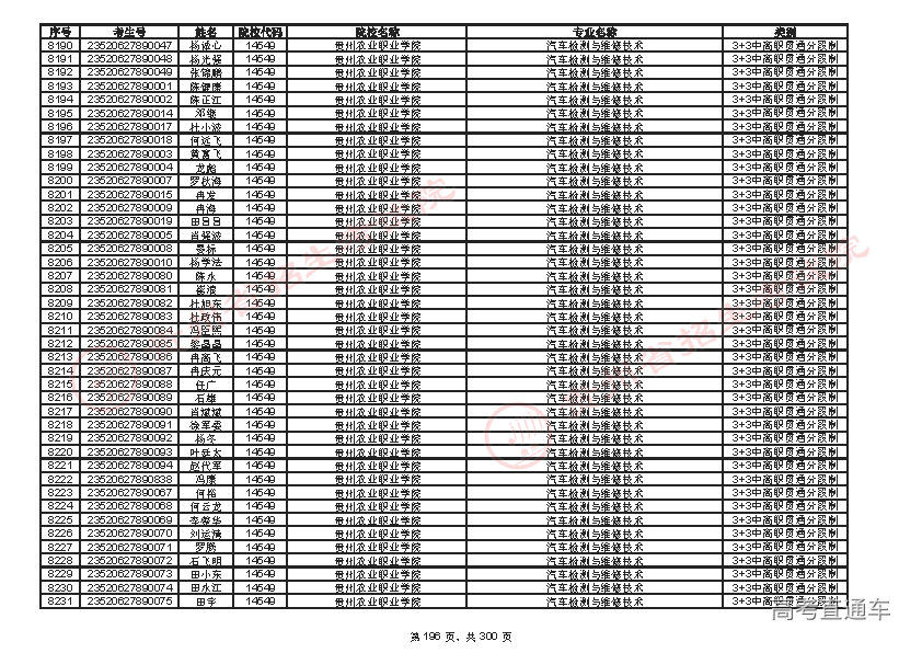
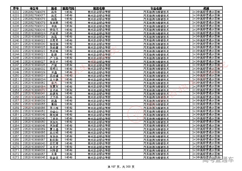
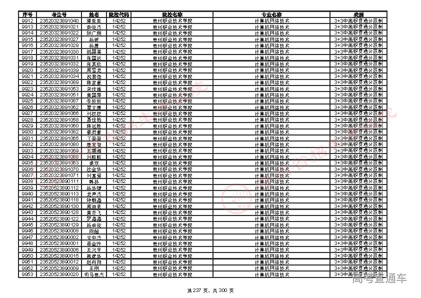
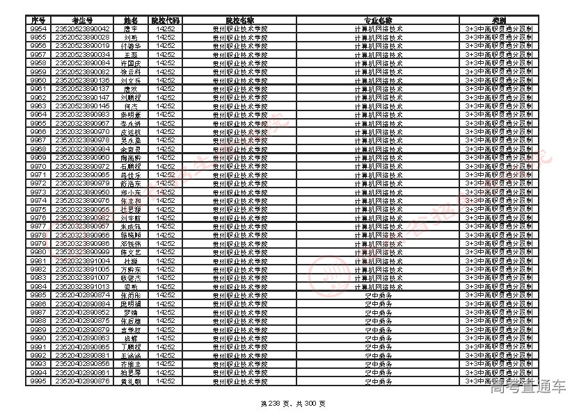
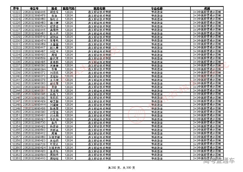
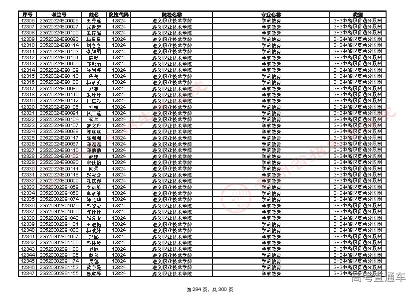
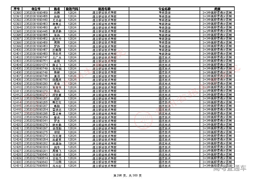
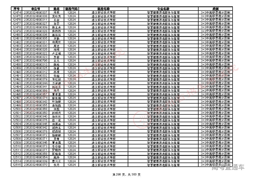
附件1:贵州省2023年“3+3”中高职贯通分段制转录学生名单(共12567名学生).pdf
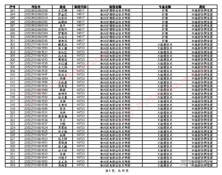
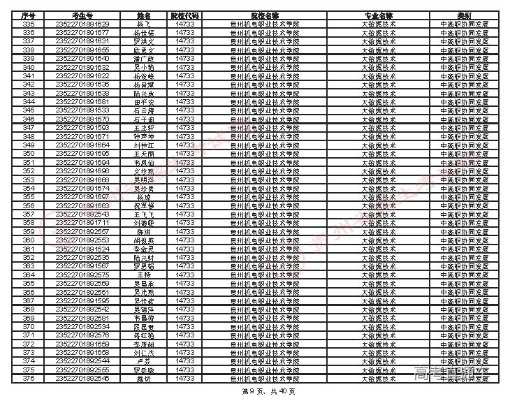
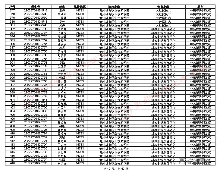
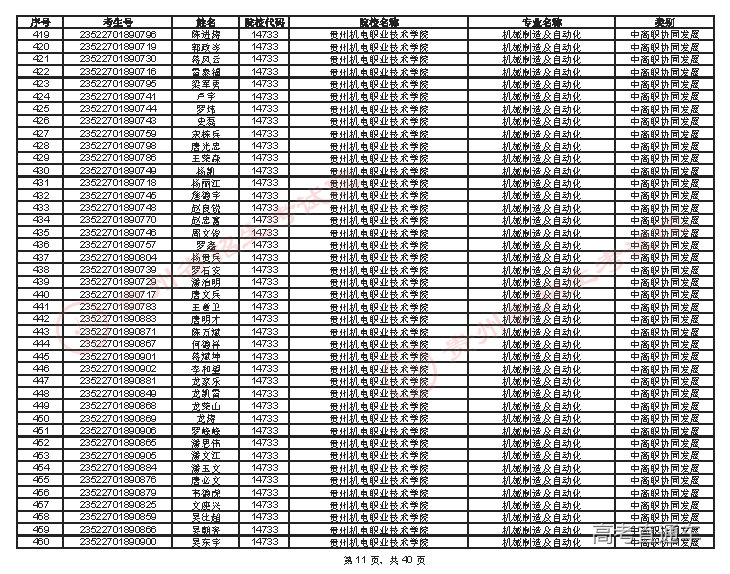
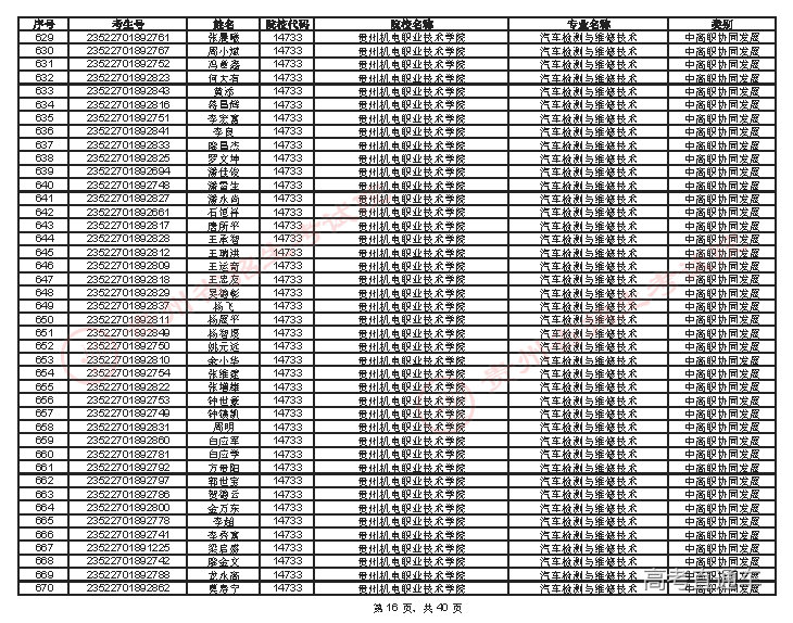
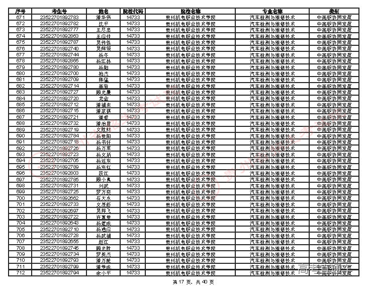
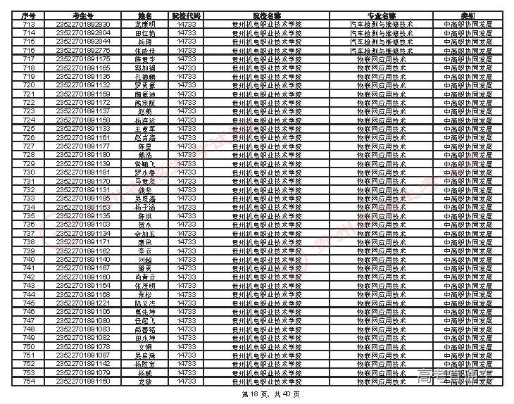
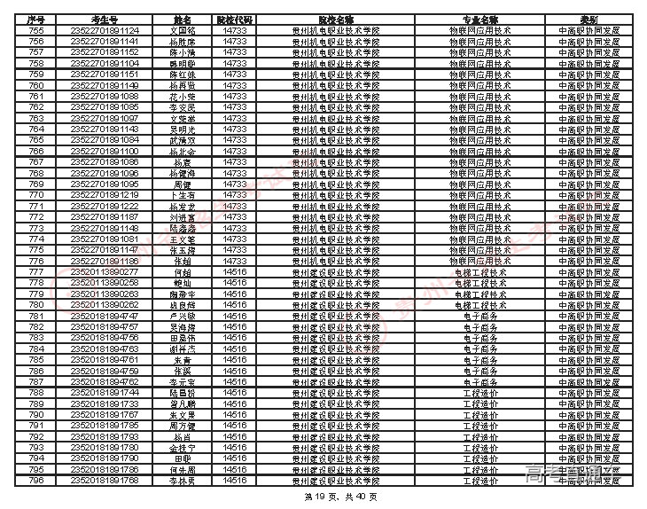
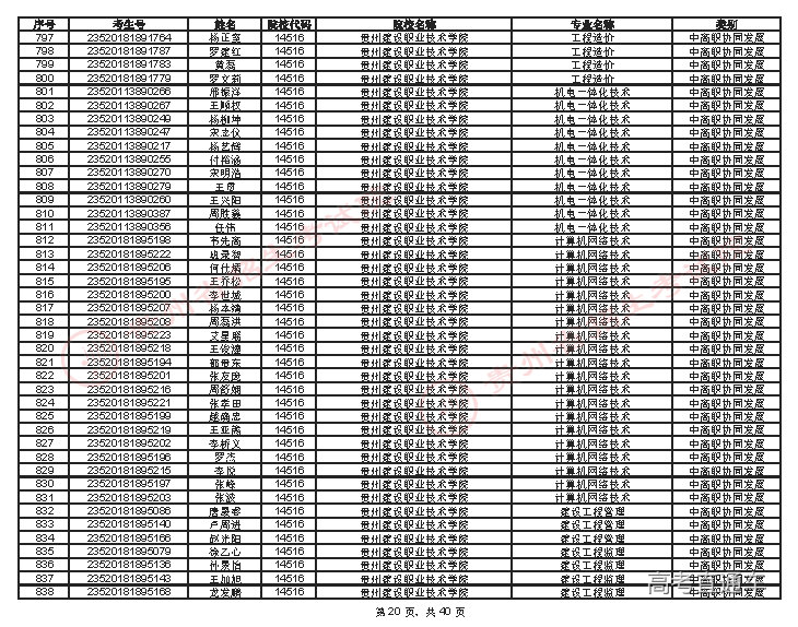
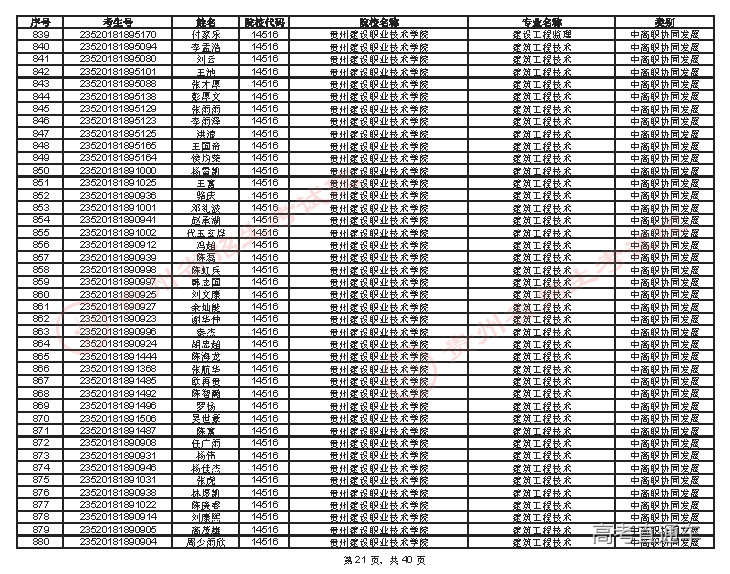
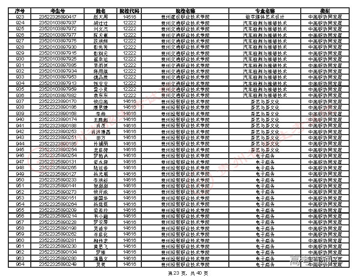
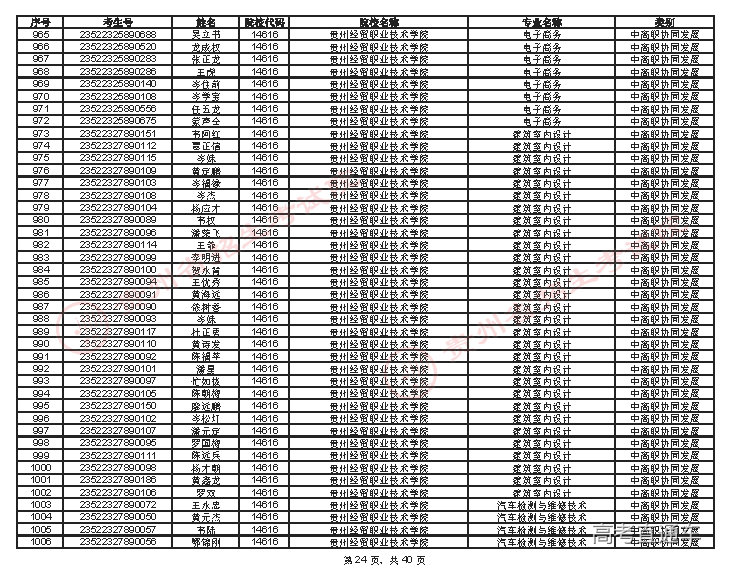
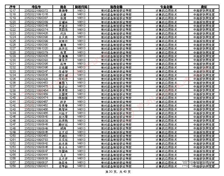
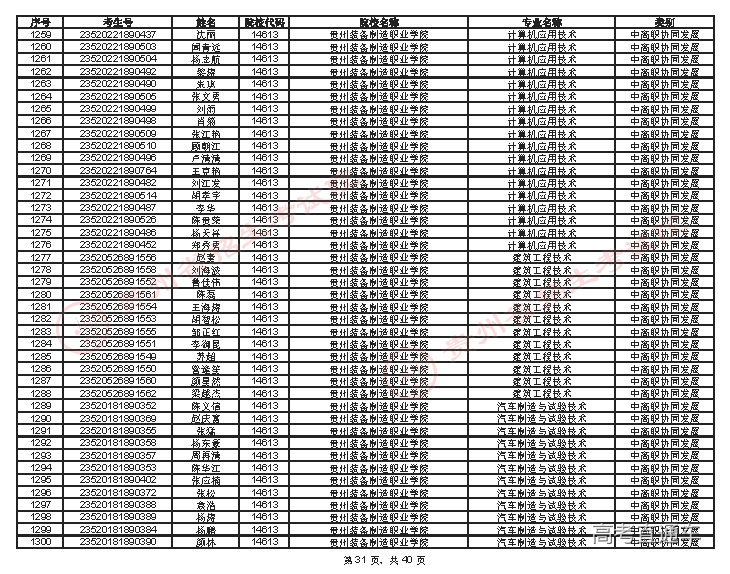
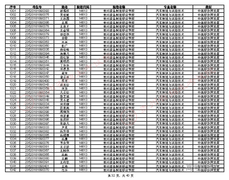
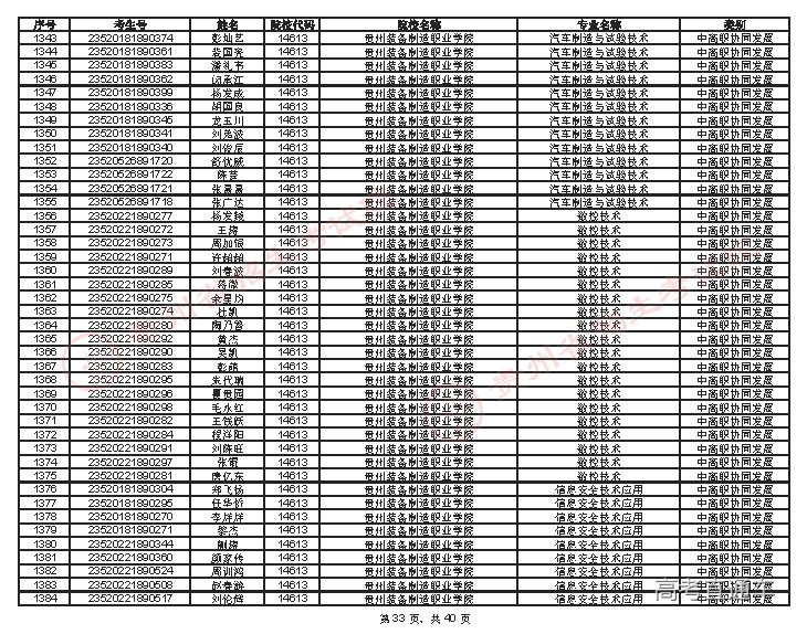
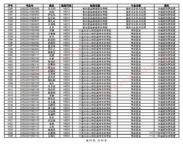
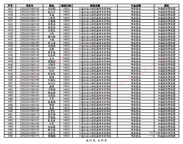
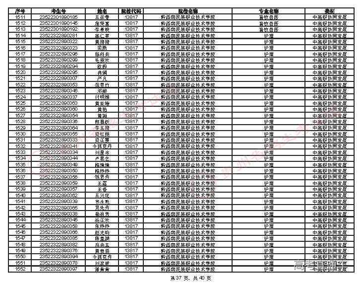
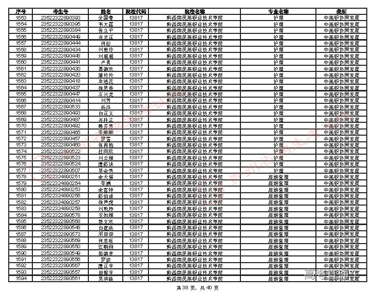
附件2:贵州省2023年中高职协同发展转录学生名单(共1666名学生).pdf
附件3:贵州省2023年五年一贯制转录学生名单(共2599名学生).pdf
























































































































































































































































































































































































































