
志愿填报对象及方式
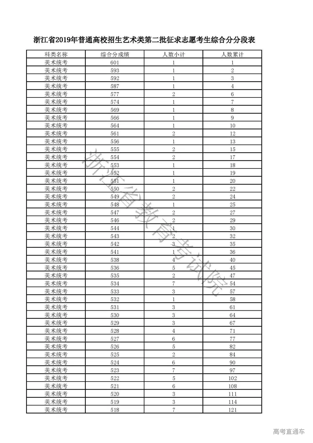
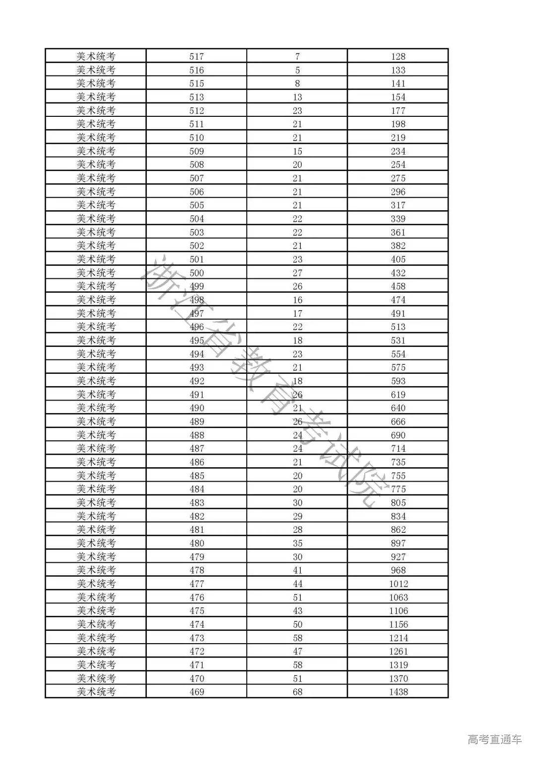
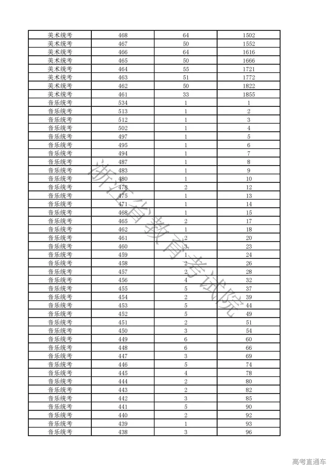
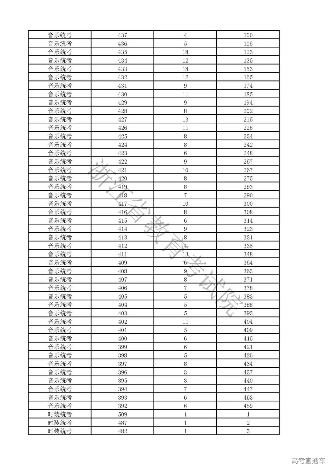
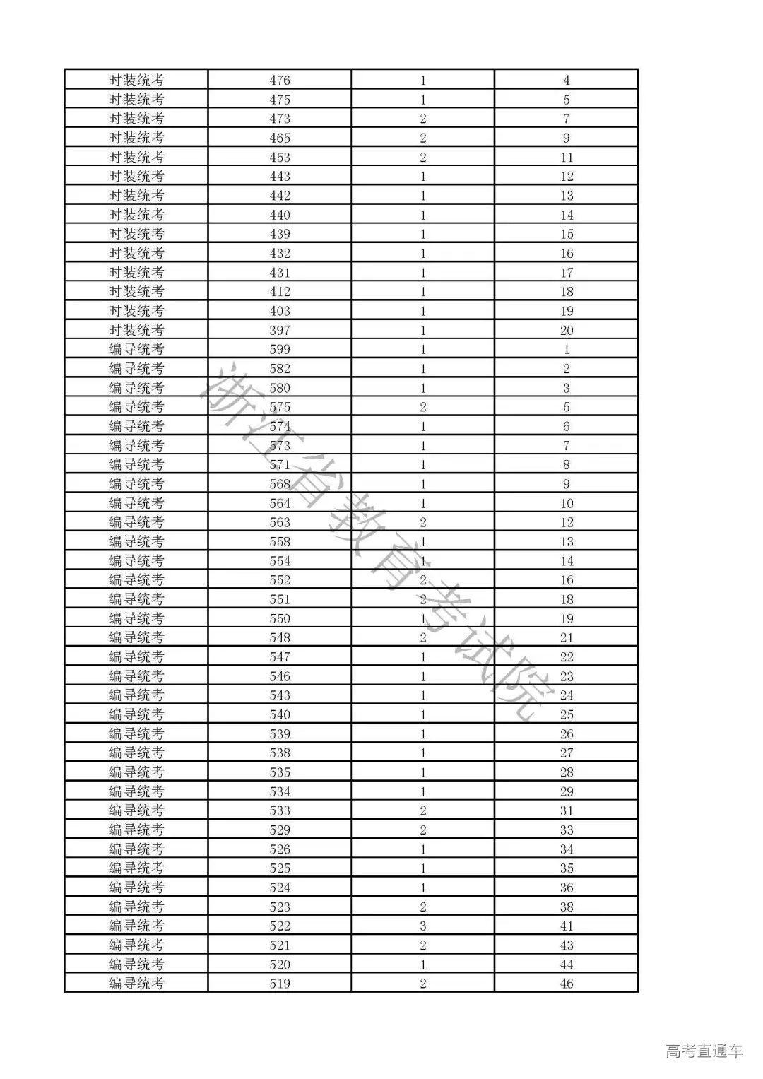
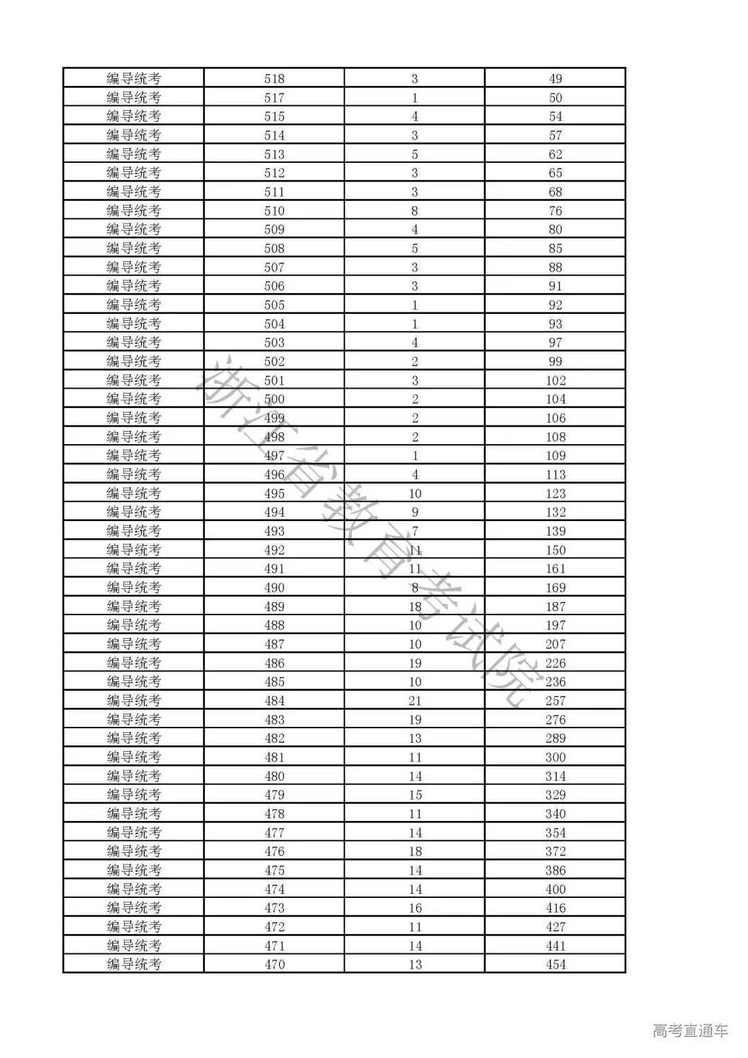
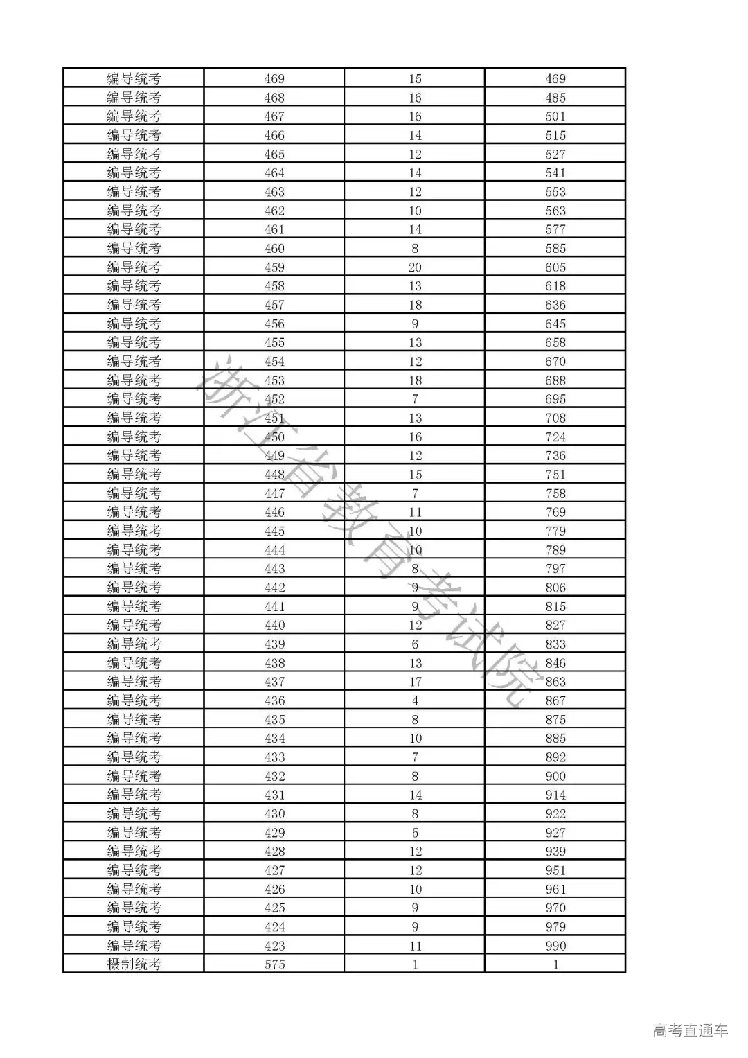
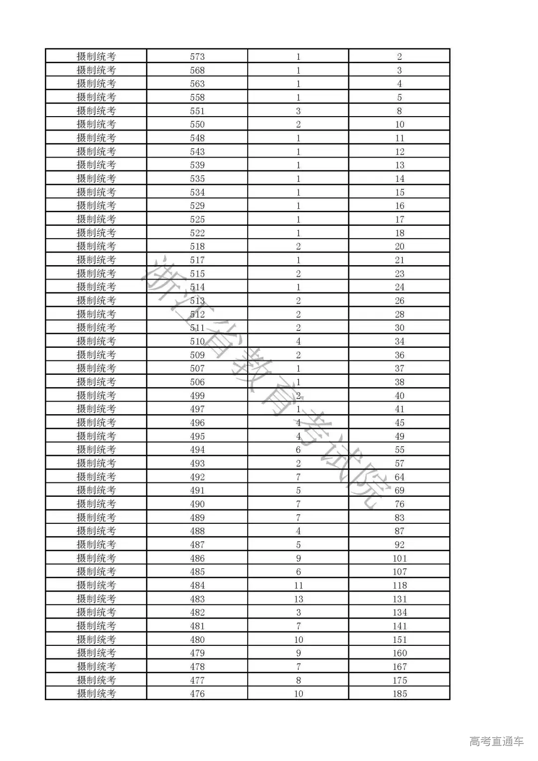
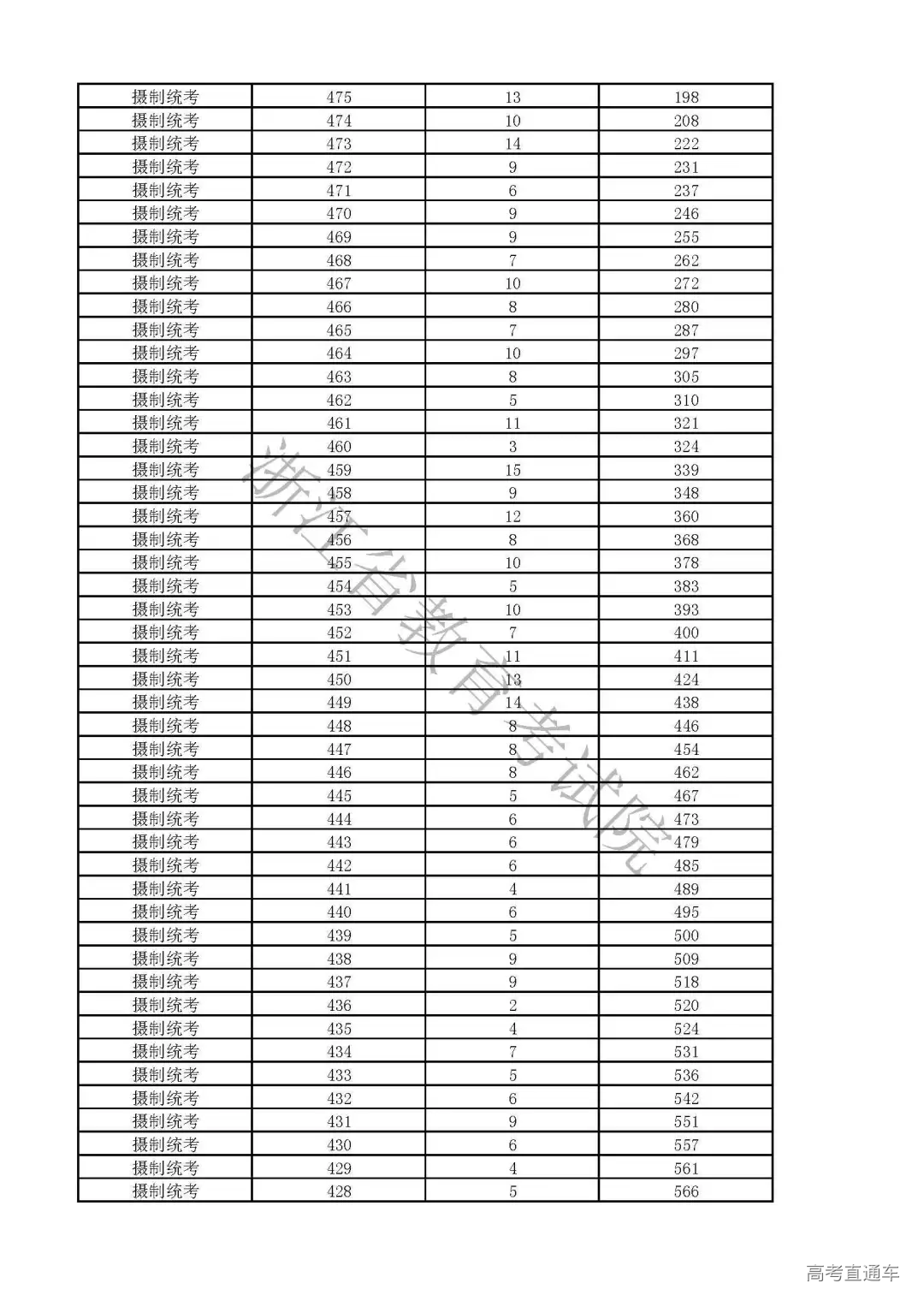
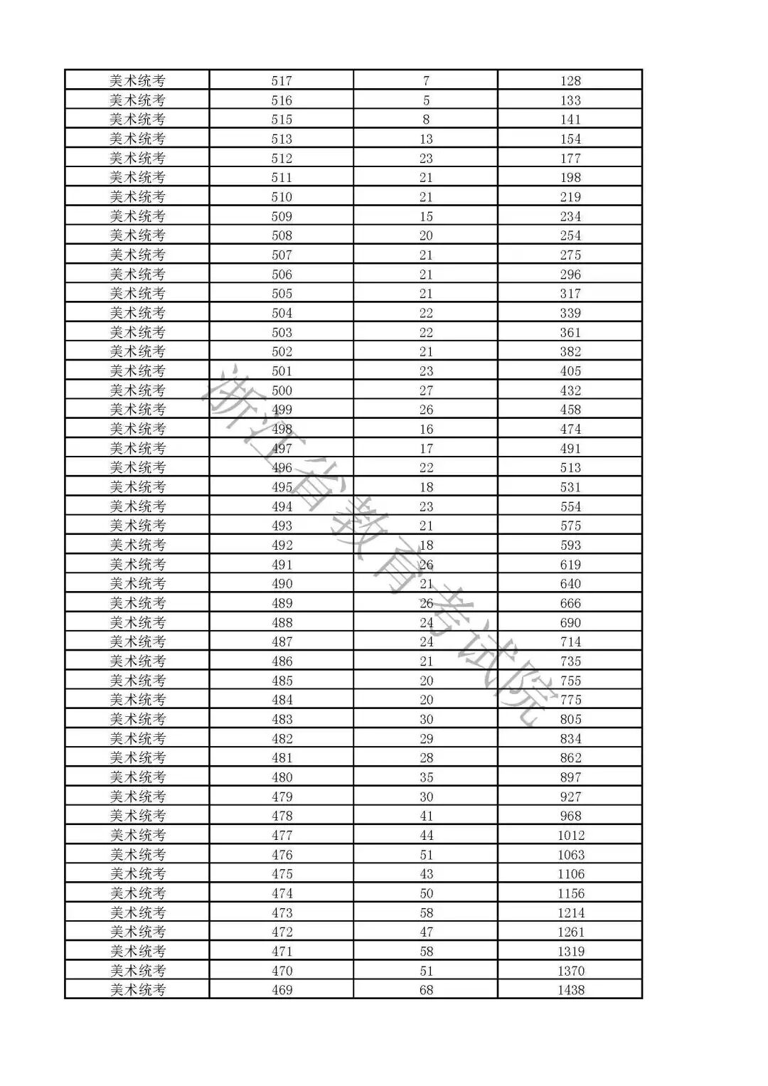
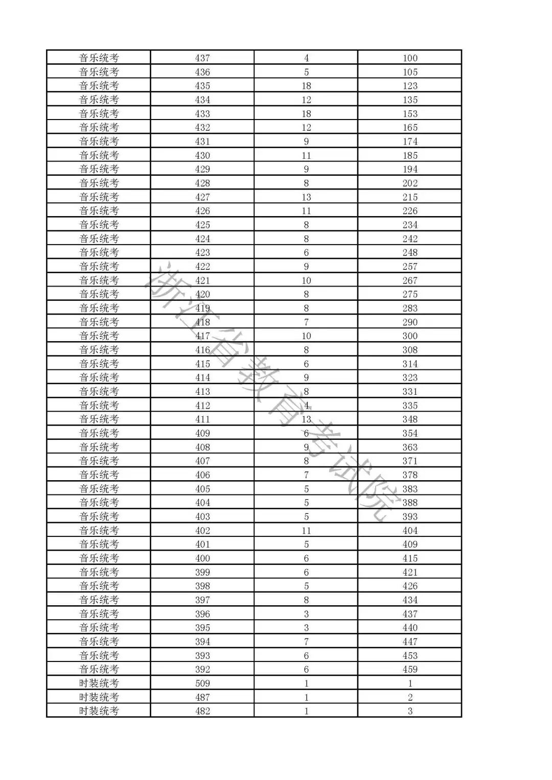
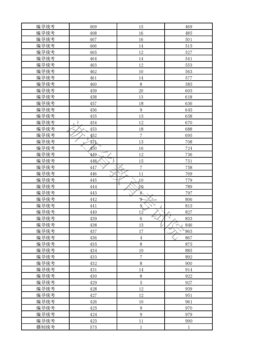
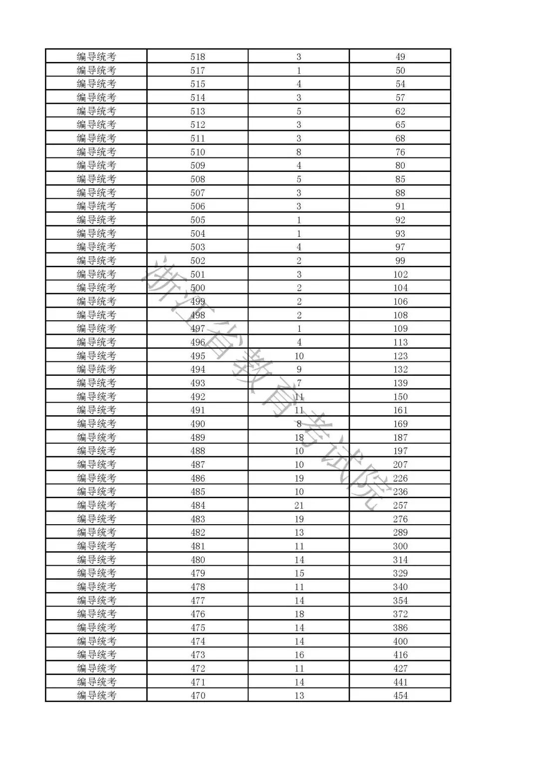
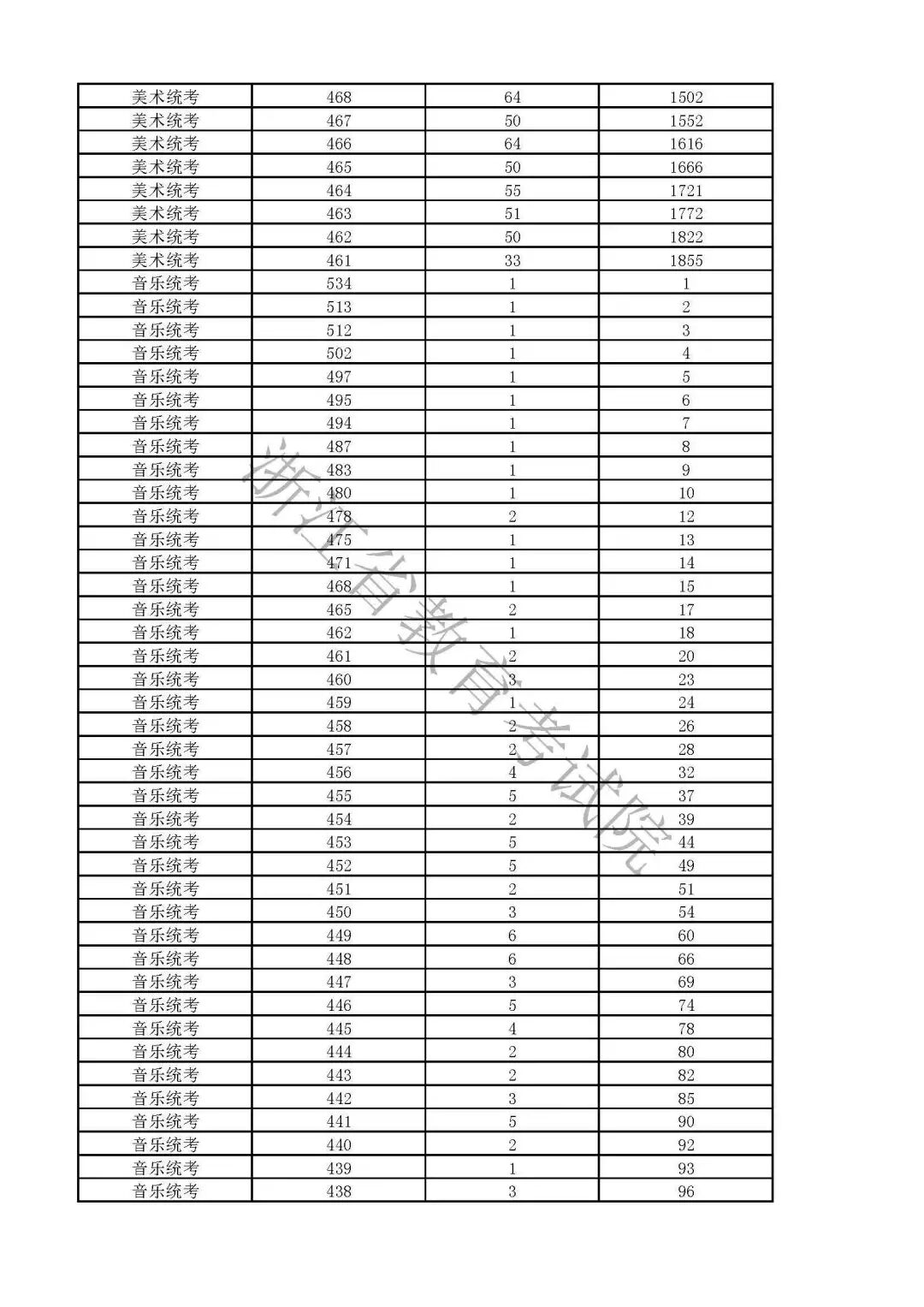
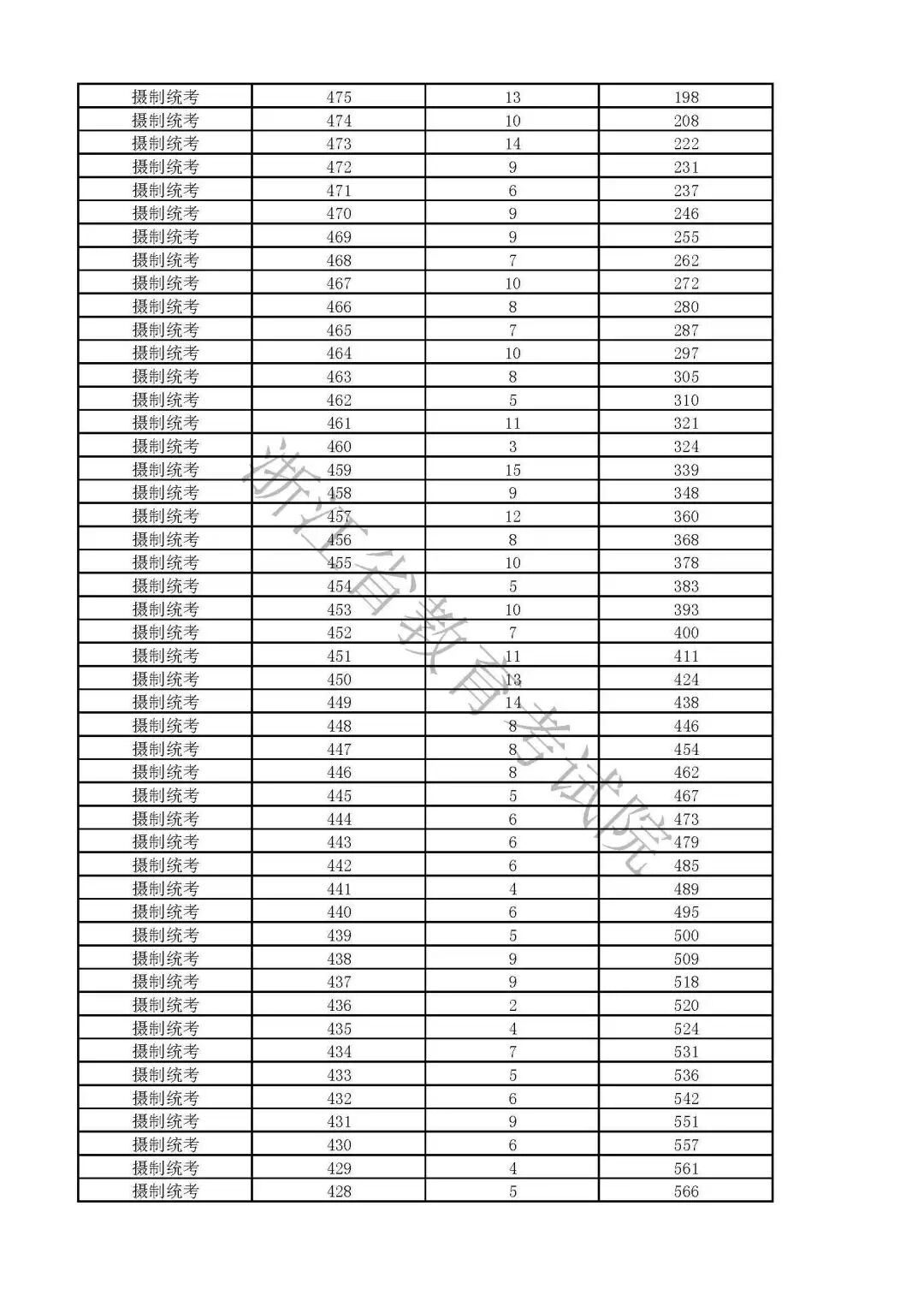
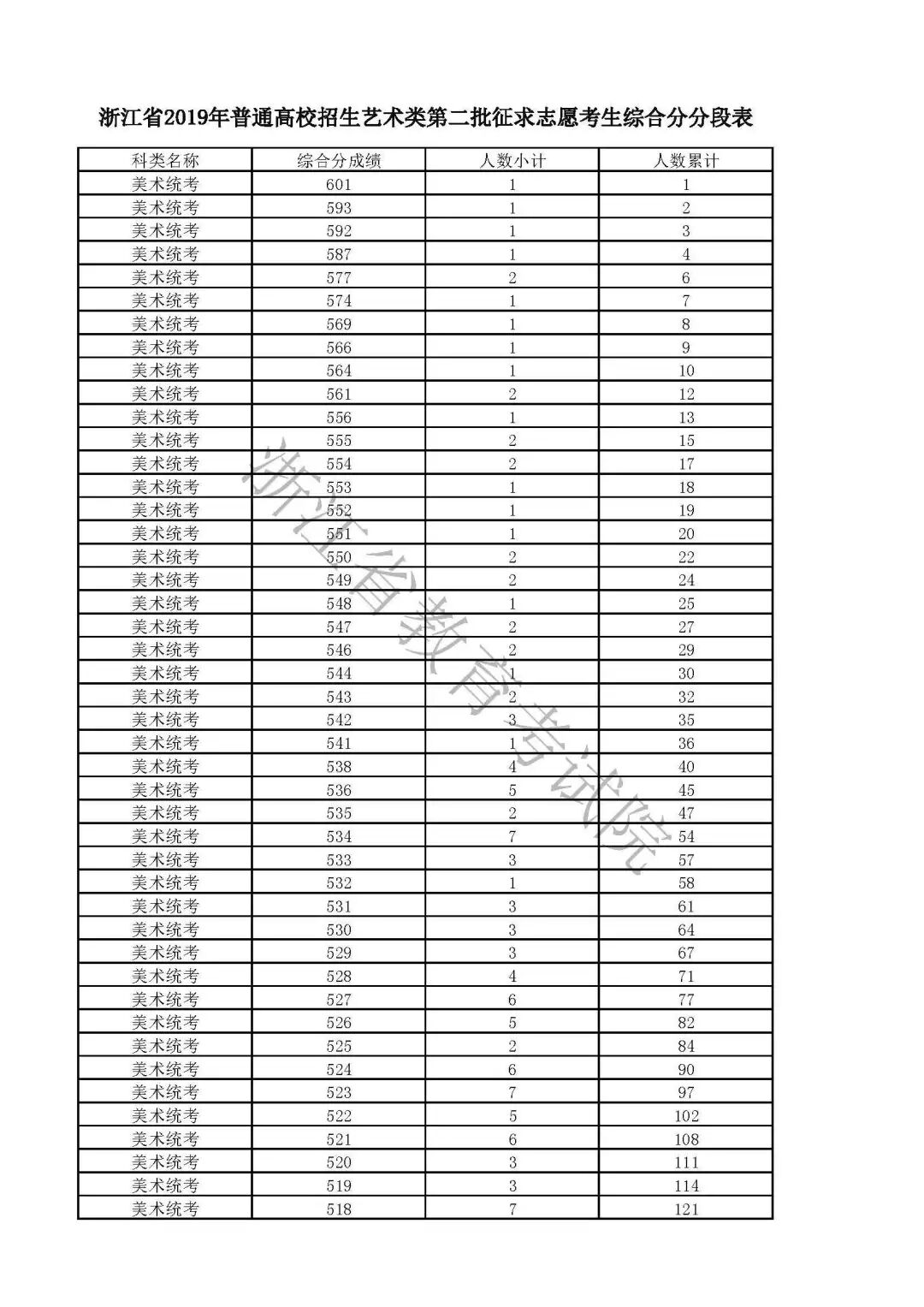
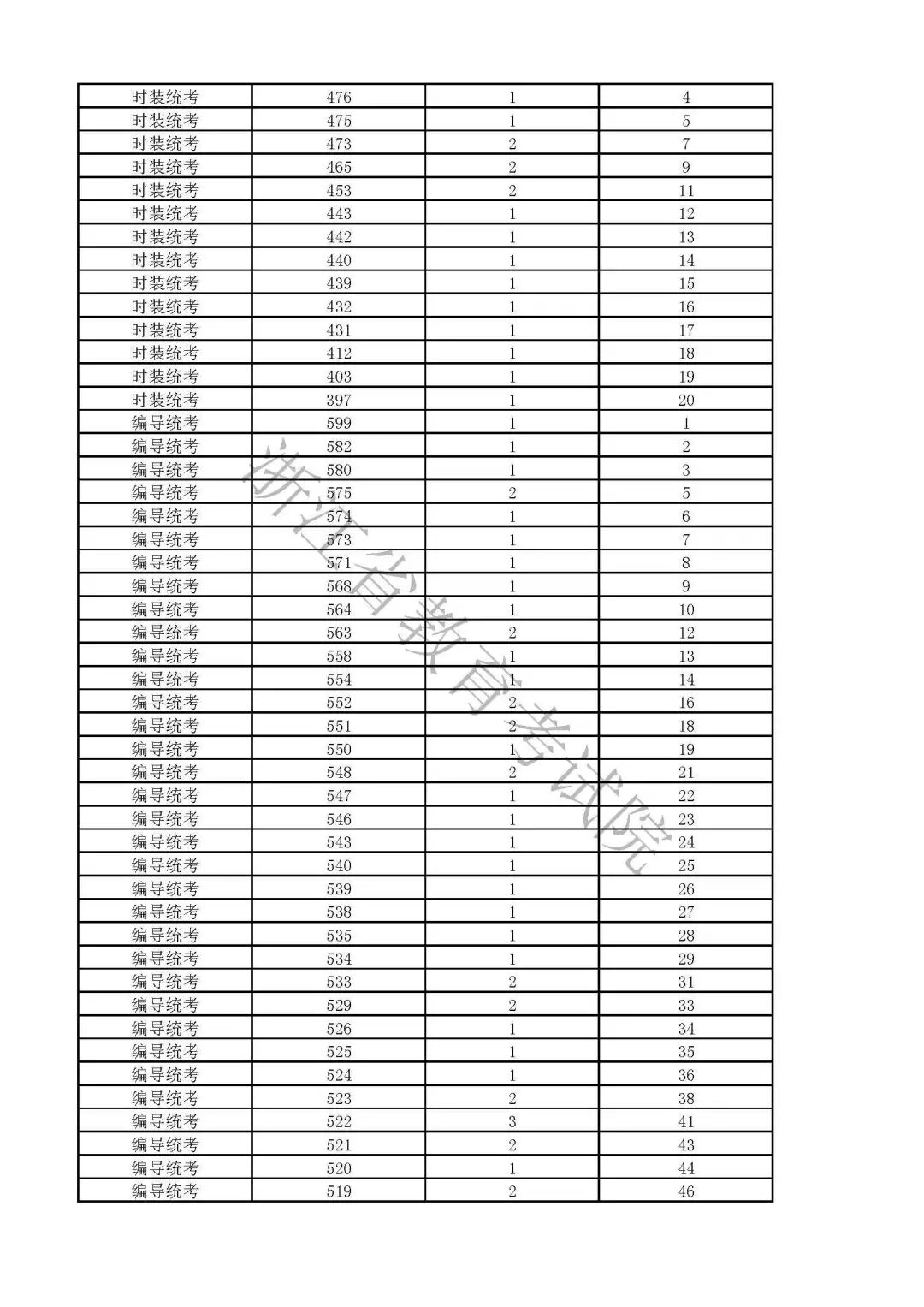
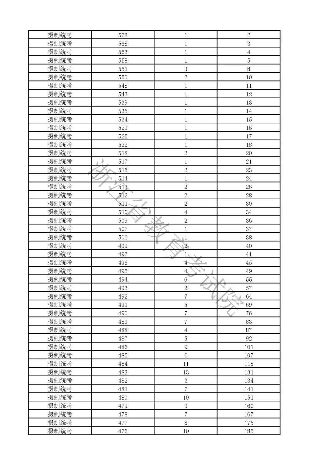
普通类第三段平行志愿仅限于总分(报考省内院校含省内地方性政策加分)达到264分及以上、尚未录取(预录取视为录取)的考生;艺术类第二批征求志愿仅限于各类别综合分成绩上线(美术类461分,音乐类392分,时装表演类394分,编导类423分,摄制类423分)、尚未录取(预录取视为录取)的考生;艺术类第二批舞蹈类、影视表演类、播音主持类和体育类计划已全部完成,不再组织征求志愿。
填报艺术类第二批征求志愿的艺术类考生,如果总分不低于264分,还可兼报普通类第三段平行志愿。录取时先参加艺术类志愿投档录取,艺术类已投档的考生不再参加普通类投档录取,未被投档考生可按志愿参加普通类投档录取。
网上填报后不需办理现场确认手续。考生须妥善保管好密码,谨防志愿被人篡改。
我省高考普通类第三段平行志愿填报将于8月3-4日进行。艺术类还有少量计划尚未招足,也在上述时间征求志愿。考生可登录浙江省教育考试院网站(www.zjzs.net)“浙江省高校招生考试信息管理系统”,查看可填报的院校专业计划。三段线上考生总分成绩分段表刚刚出炉,赶紧来看看考生分布情况,帮助自身定位吧。
普通类三段线上考生总分分段表






艺术类第二批征求志愿考生综合分分段表



















