2024年上海市普通高校招生专科志愿填报将于7月29日9:00至16:00进行,市教育考试院将在上述时段于“上海招考热线”网站开通志愿填报通道,请考生在规定时间内填报志愿。 经审定,2024年上海市普通高校招生专科批次文化考试(语、数、外三门科目成绩总和,满分为450分)录取控制分数线、艺术类专业专科文化控制分数线、体育类专业专科文化控制分数线均为100分。建议语文、数学、英语三科成绩合计达到100分及以上的考生积极填报专科志愿。 请考生务必仔细研读各校招生章程,根据本人实际情况在专科提前批次、艺体类批次和普通批次中充分酝酿,合理选择心仪志愿。
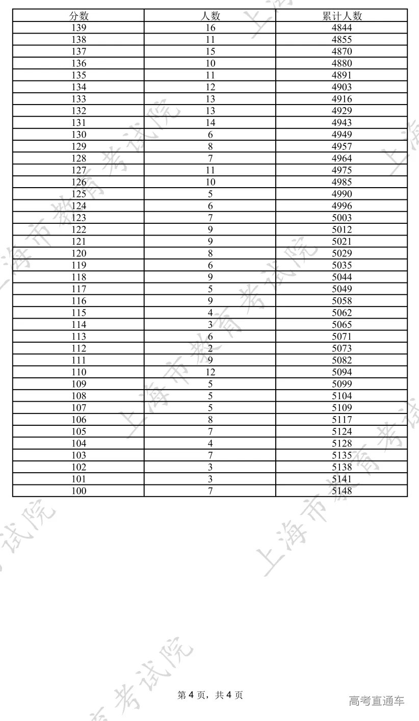
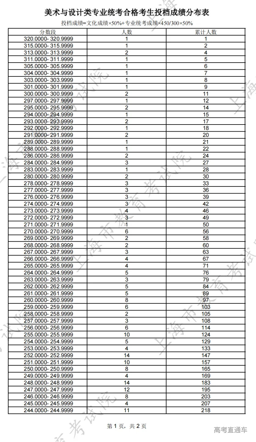
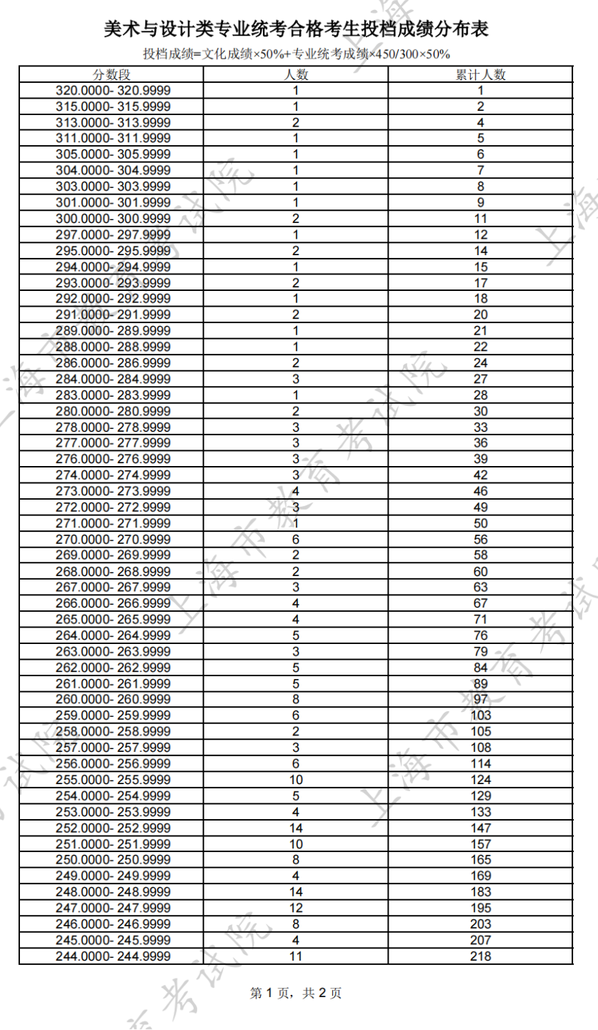
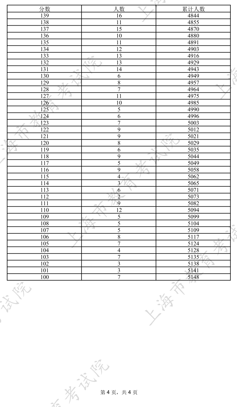
附2024年专科阶段考生各类别成绩分布表,供考生填报参考,详见↓
2024年可参加专科志愿填报考生“语、数、外”三门成绩分布情况详见↓
2024年艺术类、体育类考生成绩分布情况详见↓












