天津2023年高考一分一段表(艺体类)

2023-06-24 14:14 天津市教育招生考试院 评论

1.美术与设计学类综合分分数段情况

图片

图片

图片

图片

图片

2.戏剧与影视学类综合分分数段情况

图片

图片

3.舞蹈学类(非体育舞蹈专业)综合分(市级统考专业成绩)分数段情况

图片

4.舞蹈学类(体育舞蹈专业)综合分(市级统考专业成绩)分数段情况

图片

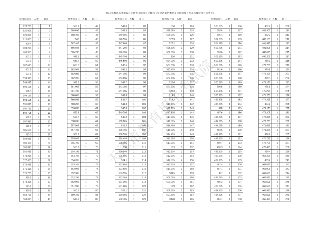
5.播音与主持专业综合分分数段情况

图片

图片

6.音乐类(声乐)综合分分数段情况

图片

7.音乐类(器乐)综合分分数段情况

图片

8.体育类综合分分数段情况

图片

图片


登录高考直通车APP
查看完整试题答案
好的
查看完整试题
特别声明:
1. 本站注明稿件来源为其他媒体的文/图等稿件均为转载稿,本站转载出于非商业性的教育和科研之目的,并不意味着赞同其观点或证实其内容的真实性。如转载稿涉及版权等问题,请作者在两周内速来电或来函联系,本站根据实际情况会进行下架处理。
2. 任何媒体、网站或个人未经本网协议授权不得转载、链接、转贴或以其他方式复制发表,违者本站将依法追究责任。
举报理由选择
确定
高考直通车官网

哇哦!快加入高考直通车APP,发现更多精彩内容,与学霸一起交流学习吧!