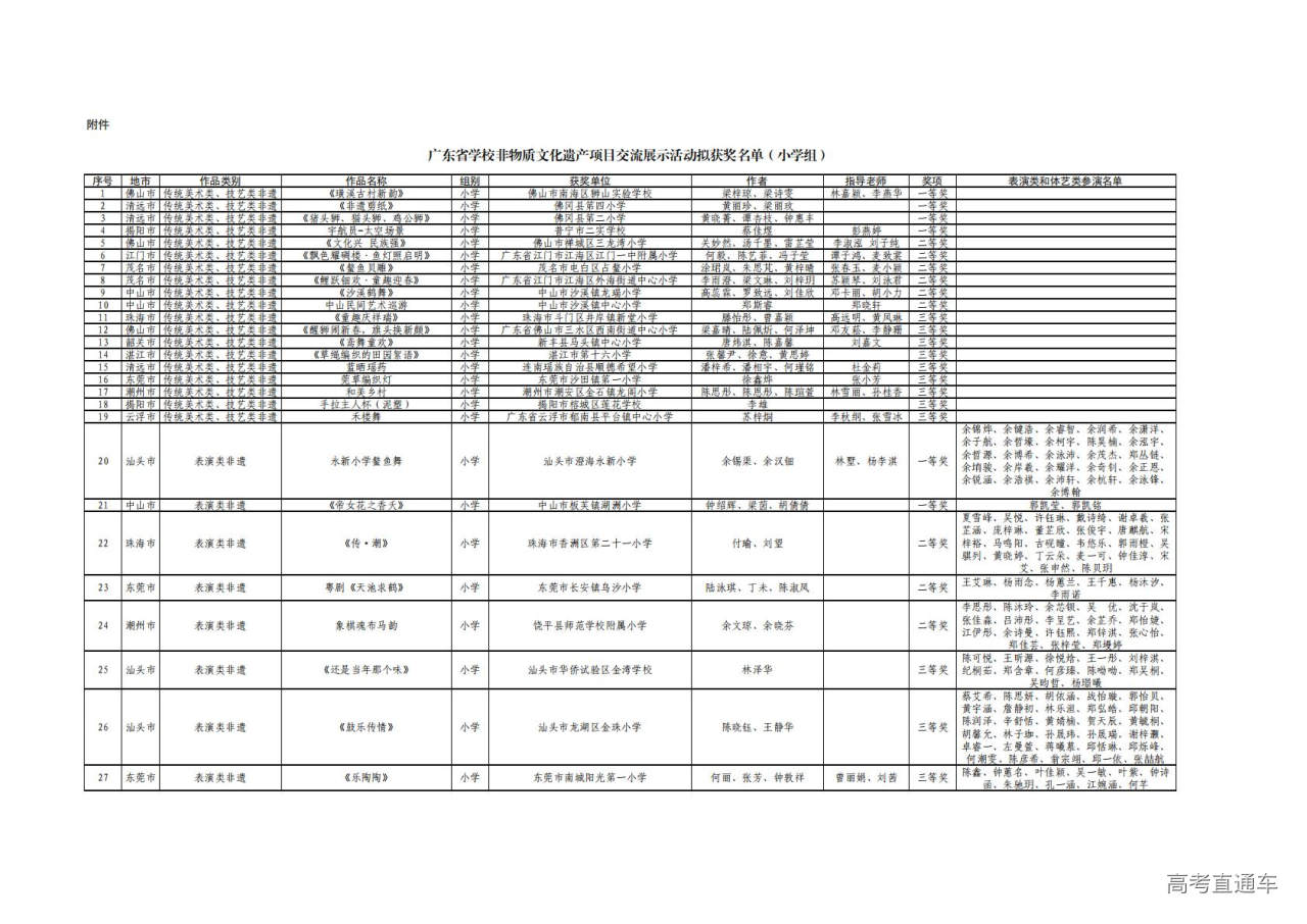
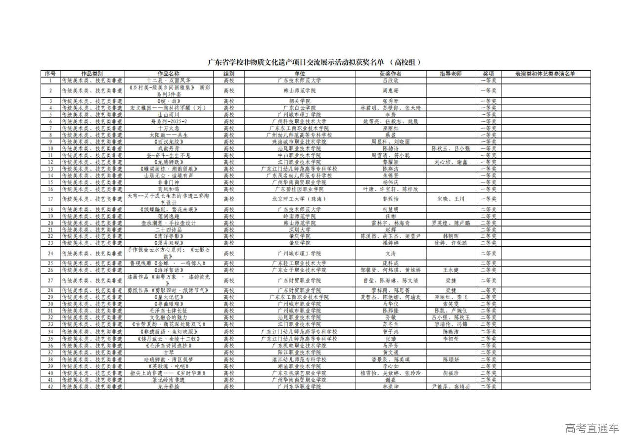
根据《广东省教育厅关于举办广东省学校非物质文化遗产项目交流展示活动的通知》要求,省教育厅组织专家评审,确定了广东省学校非物质文化遗产项目交流展示活动拟获奖名单。
现对名单进行公示,公示时间为2026年1月30日至2026年2月5日(五个工作日)。如对名单有异议,请在公示期内向省教育厅体育卫生与艺术教育处反映。以个人名义反映情况的,请提供真实姓名、联系方式和反映事项证明材料;以单位名义反映情况的,请提供单位真实名称(加盖公章)、联系人、联系方式和反映事项证明材料。相关材料扫描件和可编辑版发送至指定电子邮箱,原件邮寄至指定地址。逾期及匿名反映不予受理。反映公示对象的情况和问题,应坚持实事求是,不得借机诽谤和诬告。
联系电话:020-37628256、020-37628259
电子邮箱:gdmeiyu@gdedu.gov.cn
联系地址:广州市越秀区农林下路72号广东省教育厅体卫艺处
广东省教育厅
2026年1月29日
附件可下载:
附件:广东省学校非物质文化遗产项目交流展示活动拟获奖名单
















