给大家分享一下2019年公费师范生录取数据,供大家参考。
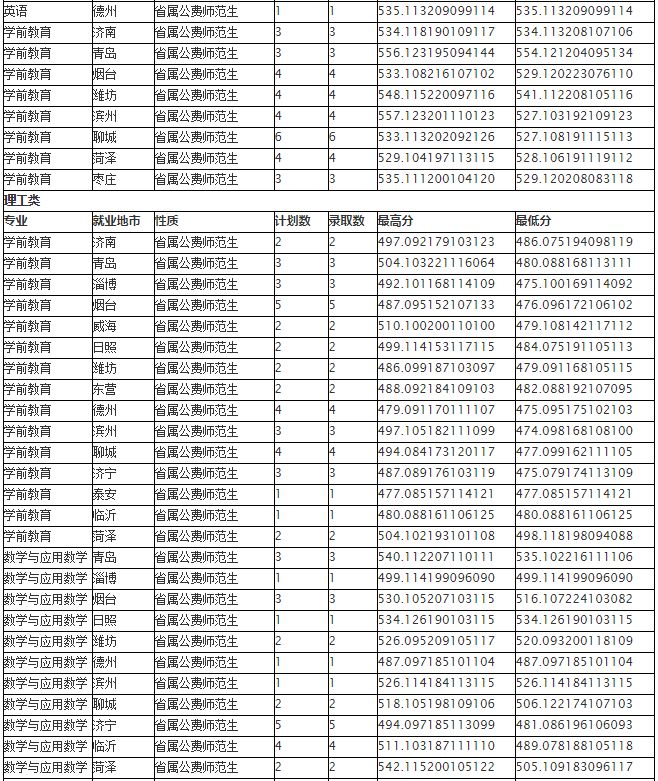
2019年山东省属院校公费师范生培养任务由山东师范大学、青岛大学、济南大学、山东理工大学、曲阜师范大学、聊城大学、鲁东大学、临沂大学、齐鲁师范学院、山东女子学院、潍坊学院、泰山学院、滨州学院、枣庄学院、菏泽学院、济宁学院、德州学院等17所高校承担。 委培师范生培养任务由山东师范大学、曲阜师范大学、聊城大学、鲁东大学、泰山学院、临沂大学、滨州学院等7所高校承担。 山东师范大学2019年公费师范生录取数据 2019年山东师范大学在山东省内共录取5330人。 山东省公费师范生、委培师范生、综合评价、普通文理类省内招生录取分数线再创历史新高。 本科提前批共录取1609人,其中录取公费师范生538人,文史类242人,最低分562分,录取位次13000名;理工类227人,最低分561分,录取位次43293名,较2018年文史类提升5000位次,理工类提升7000位次。 首次招收委培师范生,文史类最低分540分,理工类最低分556分。 2019年详细录取数据见下表: 青岛大学2019年公费师范生录取数据 2019年,公费师范生招生计划200人,比去年减少20人;招生专业5个,与去年持平。录取的文科最高分595分,高重点线53分;理科最高分586分,高重点线72分。 济南大学2019年公费师范生录取数据 济南大学在山东省属地方公费师范生招生录取结束。理工录取109人,省控线443分,录取成绩最低516分;文史录取106人,省控线503分,录取成绩最低539分。 山东理工大学2019年公费师范生录取数据 曲阜师范大学2019年公费师范生录取数据 聊城大学2019年公费师范生录取数据 聊城大学2019年在山东省本科提前批录取工作自7月2日开始,于7月10日顺利结束,首次志愿即完成招生计划。本科提前批包括公费师范生(含艺术类、体育类、普通文理类)、委培师范生及公费农科生招生专业,共录取752人。其中,公费师范生594人,委培师范生128人,公费农科生30人。 从录取情况看,生源数量充足,生源质量进一步提高。2019年,公费师范生文史类录取平均分为556分,超出自主招生录取控制参考线14分;理工类录取平均分为538分,超出自主招生录取控制参考线24分;艺术体育类生源质量较往年也有明显提高。 委培师范生是山东省2019年新增招生类型,生源数量充足,生源质量较高,文史类录取平均分为550分(面向泰安)、543分(面向滨州),分别超出自主招生录取控制参考线8分和1分;理工类录取平均分为536分(面向泰安)、523分(面向滨州),分别超出自主招生录取控制参考线22分和9分。公费农科生是我校2019年新增招生类型,招生专业为植物保护,录取平均分为512分,超出普通批录取控制分数线69分。 鲁东大学2019年公费师范生录取数据 齐鲁师范学院2019年公费师范生录取数据 7月10日,齐鲁师范学院本科提前批公费师范生已录取结束。共录取考生300人。 艺术文文化最高分492分,最低分448分,专业最高分246.66分,最低分216分。理科最高分569.114分,最低分504.083分。文科最高分577.123分,最低分529.114。 具体分专业分地市录取情况如下: 山东女子学院2019年公费师范生录取数据 枣庄学院2019年公费师范生录取数据 菏泽学院2019年公费师范生录取数据 济宁学院2019年公费师范生录取数据 德州学院2019年公费师范生录取数据 德州学院2019年山东省本科提前批公费师范生录取完成!共录取180名新生!


















































