邀请上传
我要上传
2022冬奥会新题速递数学试题及参考答案-试题详情

优质![]()
![]()
![]()
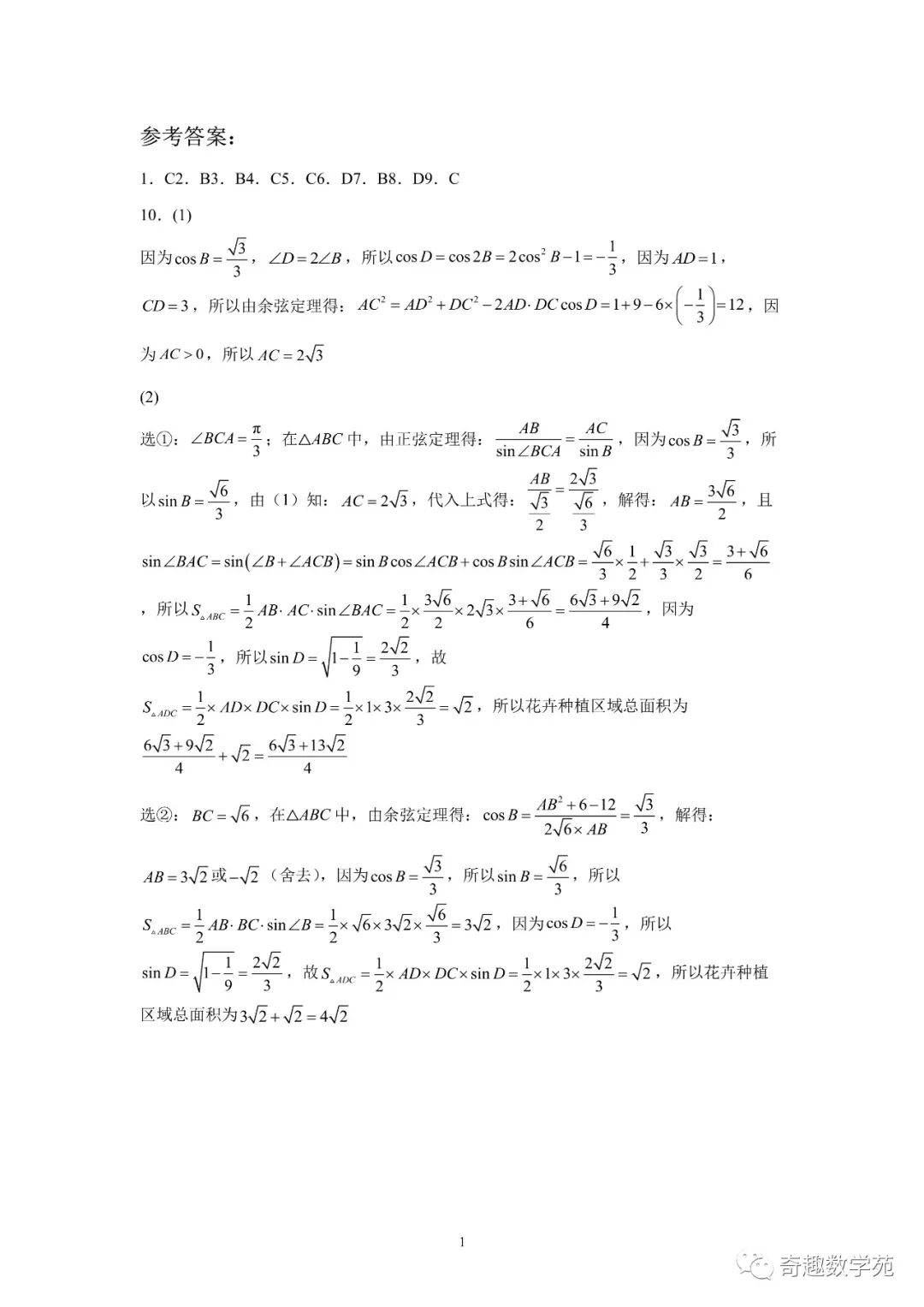
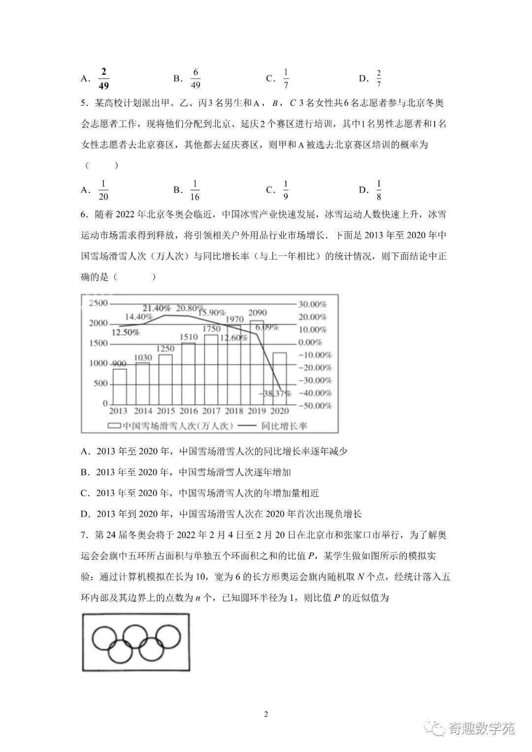
参考答案
![]()
展开阅读全部
开通会员查看试卷全部内容
本文档由用户提供并上传,若内容存在侵权,请进行举报或认领
快来评价一下难度吧~
平均分 0
0 分
确定
你的预估分数是多少?拖动后可查看大家的估分统计哦~
估分统计
人数
