1、牢记核心知识点
核心的知识点是基础,好多同学在做圆锥曲线题时,特别是小题,比如椭圆,双曲线离心率公式和范围记不清,焦点分别在x轴,y轴上的双曲线的渐近线方程也傻傻分不清,在做题时自然做不对。
2、计算能力与速度
计算能力强的同学学圆锥曲线相对轻松一些,计算能力是可以通过多做题来提升的。后期可以尝试训练自己口算得到联立后的二次方程,然后得到判别式,两根之和,两根之积的整式。
当然也要掌握一些解题的小技巧,加快运算速度。
3、思维套路
拿到圆锥曲线的题,很多同学说无从下手,从表面感觉很难。老师建议:山重水复疑无路,没事你就算两步。大部分的圆锥曲线大题,都有共同的三部曲:一设二联立三韦达定理。
一设:设直线与圆锥曲线 的两个交点,坐标分别为(x1,y1),(x2,y2),直线方程为y=kx+b。
二联立:通过快速计算或者口算得到联立的二次方程。
三韦达定理:得到二次方程后立马得出判别式,两根之和,两根之积。
走完三部曲之后,在看题目给出了什么条件,要求什么。例如涉及弦长问题,常用“根与系数的关系”设而不求计算弦长(即应用弦长公式);涉及弦的中点问题,常用“点差法”设而不求,将弦所在直线的 斜率、弦的中点坐标联系起来,相互转化.总结起来:找值列等量关系,找范围列不等关系,通常结合判别式,基本不等式求解。
4、题型总结
圆锥曲线中常见题型总结
这类问题主要采用分析判别式,有
△>0,直线与圆锥曲线相交;
△=0,直线与圆锥曲线相切;
△<0,直线与圆锥曲线相离.
若且a=0,b≠0,则直线与圆锥曲线相交,且有一个交点.
注意:设直线方程时一定要考虑斜率不存在的情况,可单独提前讨论。
2、圆锥曲线与向量结合问题
这类问题主要利用向量的相等,平行,垂直去寻找坐标间的数量关系,往往要和根与系数的关系结合应用,体现数形结合的思想,达到简化计算的目的。
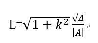
3、圆锥曲线弦长问题
弦长问题主要记住弦长公式:设直线l与圆锥曲线C相交于A(x1,y1),B(x2,y2)两点,则:
4、定点、定值问题
(1)定点问题可先运用特殊值或者对称探索出该定点,再证明结论,即可简化运算;
(2)直接推理、计算,并在计算推理的过程中消去变量,从而得到定值.
5、最值、参数范围问题
这类常见的解法有两种:几何法和代数法.
(1)若题目的条件和结论能明显体现几何特征和意义,则考虑利用图形性质来解决,这就是几何法;
(2)若题目的条件和结论能体现一种明确的函数关系,则可首先建立起目标函数,再求这个函数的最值,这就是代数法.
在利用代数法解决最值与范围问题时常从以下五个方面考虑:
(1)利用判别式来构造不等关系,从而确定参数的取值范围;
(2)利用已知参数的范围,求新参数的范围,解这类问题的核心是在两个参数之间建立等量关系;
(3)利用隐含或已知的不等关系建立不等式,从而求出参数的取值范围;
(4)利用基本不等式求出参数的取值范围;
(5)利用函数的值域的求法,确定参数的取值范围.
6、轨迹问题
轨迹问题一般方法有三种:定义法,相关点法和参数法。
定义法:
(1)判断动点的运动轨迹是否满足某种曲线的定义;
(2)设标准方程,求方程中的基本量
(3)求轨迹方程
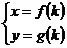
相关点法:
(1)分析题目:与动点M(x,y)相关的点P(x0,y0)在已知曲线上;
(2)寻求关系式,x0=f(x,y),y0=g(x,y);
(3)将x0,y0代入已知曲线方程;
(4)整理关于x,y的关系式得到M的轨迹方程。
参数法求轨迹的一般步骤:
(1)选取参数k,用k表示动点M的坐标;
(2)得动点M的轨迹的参数方程
(3)消去参数k得的M轨迹方程;
(4)由k的范围确定x,y的范围,确保答案的准确性和完备性。
7、探索型,存在性问题
这类问题通常先假设存在,然后进行计算,最后再证明结果满足条件得到结论。对于较难的题目,可从特殊情况入手,找到特殊点进行分析验算,然后再得到一般性结论。
圆锥曲线简化技巧
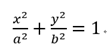
1、给定一个椭圆和一条直线:
椭圆方程:
直线方程:y=kx+b
一般做法:
上面的运算数不是有点复杂呢,那接着往下看看小数老师提供的计算技巧吧:
巧运算:
2、此外,常用的两个结论还有:
1、直线交椭圆的弦长:
(因为只要联立了方程组,就一定要求判别式,将判别式代入这个式子求弦长会比一般做法简单很多)
2、y1+y2=k(x1+x2)+2m
y1y2=k2x1x2+km(x1+x2)+m2
用此方法可大幅节省运算时间,圆锥曲线是不是简单了不少呢?
例子
这里给出了两道非常简单的例题,快用简洁的方法算一算吧。
1、若椭圆
2、若直线y=kx+与椭圆


答案:1.a=9
2. 1/4<k2<1 3<="" k<="" span=""></k2<1>
圆锥曲线公式集锦














