高中的知识点又多又杂,对于已经学习到的知识,必须要及时巩固,及时复习,查漏补缺,这对于准高三们来说是非常重要的。接下来,小编就为大家整理了高中数学的知识点,涵盖了高中数学所有考试的重点,一起来看!
1.集合与常用逻辑用语
2.平面向量
3.不等式、线性规划
4.计数原理与二项式定理
5.函数、基本初等函数的图像与性质
6.函数与方程、函数模型及其应用
7.导数及其应用
8.三角函数的图形与性质
9.三角恒等变化与解三角形
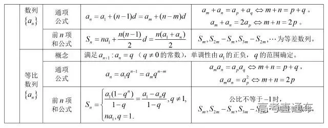
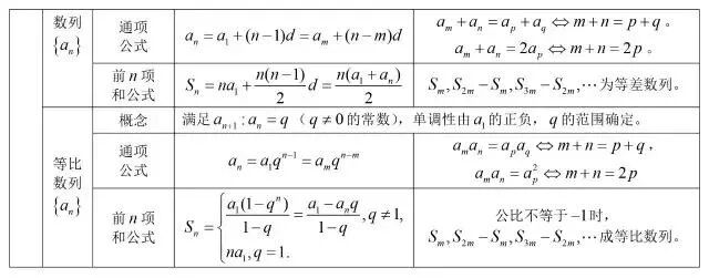
10.等差数列、等比数列
11.数列求和及数列的简单应用
12.空间几何体
13.空间点、直线、平面位置关
14.空间向量与立体几何
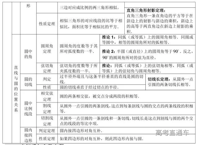
15.直线与圆的方程
16.圆锥曲线的定义、方程与性质
17.圆锥曲线的热点问题
18.概率
19.离散型随机变量及其分布
20.统计与统计案例
21.函数与方程思想、数学结合思想
22.分类与整合思想、划归与转化思想
23.几何证明选讲
24.坐标系与参数方程
25.不等式选讲
数学是一切学科的基础,以上便是小编为大家整理的高考数学中的知识点,希望可以帮助同学们解决在学习中遇到的问题!


































