高中数学:常见题型【通用答题模板】+必背公式

2024-01-04 10:07 高考数学 评论
1、解三角形

【必背公式】

图片

图片

图片

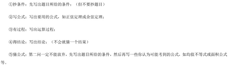
【答题模板】


图片


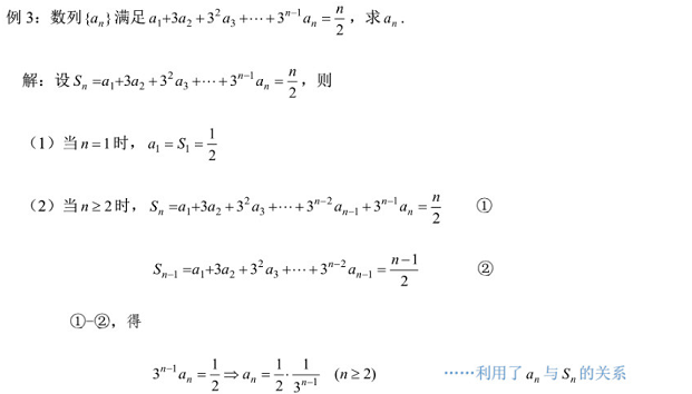
【例题解析】

图片

图片


2、数列


【必背公式】

图片

图片

图片

图片

图片

图片

图片

图片

【答题模板】

图片


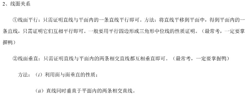
3、空间立体几何


【必背公式】

图片

图片

图片

【答题模板】

图片

【例题解析】

图片

图片

图片

图片

图片


4、概率与统计


【必背公式】

图片

图片

图片

图片

图片


【答题模板】线性回归方程

图片

【例题解析】

图片

图片


5、圆锥曲线


【必背公式】

图片

图片

图片

图片

图片

【答题模板】

图片

【例题解析】

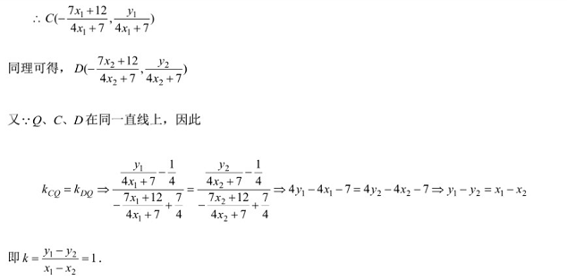
图片

图片

图片

图片

图片

图片

图片

图片

图片

图片

图片


6、导数


【必背公式】

图片

图片

【答题模板】

图片

【例题解析】

图片

图片


登录高考直通车APP
查看完整试题答案
好的
查看完整试题
特别声明:
1. 本站注明稿件来源为其他媒体的文/图等稿件均为转载稿,本站转载出于非商业性的教育和科研之目的,并不意味着赞同其观点或证实其内容的真实性。如转载稿涉及版权等问题,请作者在两周内速来电或来函联系,本站根据实际情况会进行下架处理。
2. 任何媒体、网站或个人未经本网协议授权不得转载、链接、转贴或以其他方式复制发表,违者本站将依法追究责任。
全部评论
努力加载中...
开通会员后可解锁剩余内容
立即开通
举报理由选择
确定
高考直通车官网

哇哦!快加入高考直通车APP,发现更多精彩内容,与学霸一起交流学习吧!