推荐阅读:
只有学霸才会解"压轴题"嘛
在高考数学里,这个问题的答案一定是否定的,数学压轴题十之有九是对函数与导数问题的考查,此类题型确实不简单,但极具规律性,属于难,但是容易备考的题型。
今天的推文,帮你整理好了压轴题的所有题型和命题角度,无论你的数学成绩如何,请务必试试攻克它。
本文目录
题型一 切线型
1.求在某处的切线方程
2.求过某点的切线方程
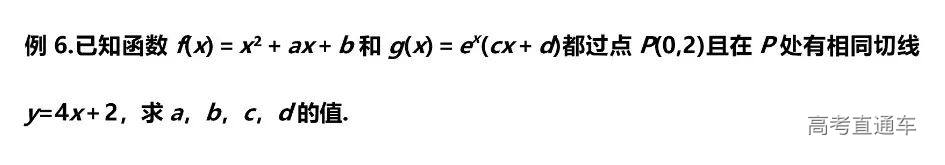
3.已知切线方程求参数
题型二 单调型
1.主导函数需“二次求导”型
2.主导函数为“一次函数”型
3.主导函数为“二次函数”型
4.已知函数单调性,求参数范围
题型三 极值最值型
1.求函数的极值
2.求函数的最值
3.已知极值求参数
4.已知最值求参数
题型四 零点型
1.零点(交点,根)的个数问题
2.零点存在性定理的应用
3.极值点偏移问题
题型五 恒成立与存在性问题
1.单变量型恒成立问题
2.单变量型存在性问题
3.双变量型的恒成立与存在性问题
4.等式型恒成立与存在性问题
题型六 与不等式有关的证明问题
1.单变量型不等式证明
2.含有ex与lnx的不等式证明技巧
3.多元函数不等式的证明
4.数列型不等式证明的构造方法













































