高中数学:数学数列知识归纳,基础差的同学别错过!

2023-06-26 14:48 高考数学 评论

推荐阅读:

数列基础知识归纳


等差数列定义与性质
【基本概念引入】
数列的定义:(注:以下出现an时,n为下标)
1.按照一定顺序排列的一列数称为数列,数列中的每个数称为该数列的项. 
⑴数列中的数是按一定“次序”排列的,在这里,只强调有“次序”,而不强调有“规律”.因此,如果组成两个数列的数相同而次序不同,那么它们就是不同的数列.
  ⑵在数列中同一个数可以重复出现.
 ⑶项an与项数n是两个根本不同的概念.
  ⑷数列是特殊的函数:数列可以看作一个定义域为正整数集(或它的有限子集)的函数当自变量从小到大依次取值时对应的一列函数值,但函数不一定是数列。
  2.通项公式:如果数列an的第n项与序号之间可以用一个式子表示,那么这个公式叫做这个数列的通项公式,即an=f(n).

定义:an+1-an=d (d为常数),
   an= a1+(n-1)d
等差中项:x , A , y成等差数列: 2A=x+y
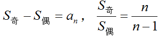
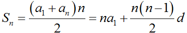
前n项和:图片
性质:{an}是等差数列
(1)若m+n=p+q,则am+an=ap+aq ;
(2)数列{a2n-1},{a2n},{a2n+1}仍为等差数列,Sn,S2n-Sn,S3n-S2n,等仍为等差数列,公差为n2d ;
(3)若三个成等差数列,可设为a-d,a,a+d ;
(4)若an,bn是等差数列,且前n项和分别为Sn,Tn,则
图片
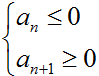
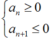
(5){an}为等差数列,则Sn=an2+bn(a,b为常数,是关于n的常数项为0的二次函数),Sn的最值可求二次函数Sn=an2+bn的最值;或者求出{an}中的正、负分界项,即:
当a1>0,d<0,解不等式组:
图片
可得Sn达到最大值时的n值。

当a1<0,d>0,解不等式组:
图片
可得Sn达到最小值时的n值。
(6)项数为偶数2n的等差数列{an},有
图片
图片
(7)项数为偶数2n-1的等差数列{an},有
图片
图片


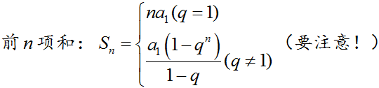
等比数列定义与性质


图片
图片
图片
性质:{an}是等比数列
(1) 若m+n=p+q,则am•an=ap•aq
(2)  Sn , S2n-Sn , S3n-S2n , 等仍为等比数列,公比为qn
注意:由Sn求an时应注意什么?
n=1时,a1=S1 ;
n≥2时,an=S1-Sn-1 .

数列基础知识归纳(二)


求数列通项公式的常用方法

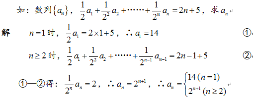
求差(商)法
图片
图片

叠乘法
图片

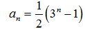
等差型递推公式

图片

图片
答案:图片

等比型递推公式

图片

倒数法

图片


登录高考直通车APP
查看完整试题答案
好的
查看完整试题
特别声明:
1. 本站注明稿件来源为其他媒体的文/图等稿件均为转载稿,本站转载出于非商业性的教育和科研之目的,并不意味着赞同其观点或证实其内容的真实性。如转载稿涉及版权等问题,请作者在两周内速来电或来函联系,本站根据实际情况会进行下架处理。
2. 任何媒体、网站或个人未经本网协议授权不得转载、链接、转贴或以其他方式复制发表,违者本站将依法追究责任。
全部评论
努力加载中...
开通会员后可解锁剩余内容
立即开通
举报理由选择
确定
高考直通车官网

哇哦!快加入高考直通车APP,发现更多精彩内容,与学霸一起交流学习吧!