带电粒子在电磁场中运动时受到电场力、洛伦兹力有时还有考虑重力的作用,发生偏转或做直线运动,处理方法有很多共同的特点,同时在高考中也连年不断,实际应用有电磁流量计、磁流体发电机、霍尔效应等,所以我们特设模型为“电磁流量计”模型。
例1.图1是电磁流量计的示意图,在非磁性材料做成的圆管道外加一匀强磁场区域,当管中的导电液体流过此磁场区域时,测出管壁上的ab两点间的电动势


图1
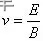
解析:a,b两点的电势差是由于带电粒子受到洛伦兹力在管壁的上下两侧堆积电荷产生的。到一定程度后上下两侧堆积的电荷不再增多,a,b两点的电势差达到稳定值





①该题是带电粒子在复合场中的运动,但原先只有磁场,电场是自行形成的,在分析其他问题时,要注意这类情况的出现。
②联系宏观量I和微观量的电流表达式
例2. 磁流体发电是一种新型发电方式,图2和图3是其工作原理示意图。图2中的长方体是发电导管,其中空部分的长、高、宽分别为


由于运动的电离气体受到磁场作用,产生了电动势。发电导管内电离气体流速随磁场有无而不同。设发电导管内电离气体流速处处相同,且不存在磁场时电离气体流速为

图2 图3
(1)不存在磁场时电离气体所受的摩擦阻力F多大;
(2)磁流体发电机的电动势E的大小;
(3)磁流体发电机发电导管的输入功率P。
解析:
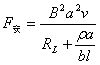
(1)不存在磁场时,由力的平衡得
(2)设磁场存在时的气体流速为v,则磁流体发电机的电动势





(3)磁流体发电机发电导管的输入功率
由能量守恒定律得

模型特征
“电磁流量计”模型设计到两种情况:一种是粒子处于直线运动状态;另一种是曲线运动状态。
处于直线运动线索:合外力为0,粒子将做匀速直线运动或静止:当带电粒子所受的合外力与运动方向在同一条直线上时,粒子将做变速直线运动。
处于曲线运动状态线索:当带电粒子所受的合外力充当向心力时,粒子将做匀速圆周运动;当带电粒子所受的合外力的大小、方向均是不断变化的,则粒子将做变加速运动,这类问题一般只能用能量关系处理。
所以分析带电粒子在电场、磁场中运动,主要是两条思路:(1)力和运动的关系。根据带电粒子所受的力,运用牛顿第二定律并结合运动学规律求解。
(2)功能关系。根据场力及其他外力对带电粒子做功引起的能量变化或全过程中的功能关系,从而可确定带电粒子的运动情况,这条线索不但适用于均匀场,也适用于非均匀场。
因此要熟悉各种力做功的特点。 模型诠释速度选择器:路径不发生偏转的离子的条件是

图4
磁流体发电机(霍尔效应):如图5所示的是磁流体发电机原理图,其原理是:等离子气体喷入磁场,正、负离子在洛伦兹力作用下发生上下偏转而聚集到两极板上,在两极板上产生电势差。
设A、B平行金属板的面积为S,相距L,等离子气体的电阻率为


图5
电磁流量计:(略见例题) 误区点拨
处理带电粒子在场中的运动问题应注意是否考虑带电粒子的重力。这要依据具体情况而定,质子、α粒子、离子等微观粒子,一般不考虑重力;液滴、尘埃、小球等宏观带电粒子由题设条件决定,一般把装置在空间的方位介绍的很明确的,都应考虑重力。
在题目中有明确交待的是否要考虑重力的,这种情况比较正规,也比较简单。若是直接看不出是否要考虑重力,根据题目的隐含条件来判断。但在进行受力分析与运动分析时,要由分析结果,先进行定性确定再决定是否要考虑重力。电场力可以对电荷做功,能改变电荷的功能;洛伦兹力不能对电荷做功,不能改变电荷的动能。
模型演练如图6甲所示,一带电粒子以水平初速度






A. 一定是
B. 一定是
C. 一定是
D. 可能是
图6
答案:A。
点击查看 | 更多干货尽在2021精选干货合辑 ↓









