高考数学大题考查的包括三角函数、立体几何、数列、圆锥曲线、函数与导数。
每类题都有对应的出题套路,每一种套路都有对应的解题方法:
三角函数
三角函数的题有两种考法,其中10%~20%的概率考解三角形,80%~90%的概率考三角函数本身。
1. 解三角形
不管题目是什么,要明白,关于解三角形,只学了三个公式——正弦定理、余弦定理和面积公式。
所以,解三角形的题目,求面积的话肯定用面积公式。至于什么时候用正弦,什么时候用余弦,如果你不能迅速判断,都尝试一下也未尝不可。
2. 三角函数
然后求解需要求的。套路一般是给一个比较复杂的式子,然后问这个函数的定义域、值域、周期、频率、单调性等问题。
解决方法就是,首先利用“和差倍半”对式子进行化简。化简成 :
掌握以上公式,足够了。
关于题型,见下图:
立体几何
立体几何的相关题目,稍微复杂一些,可能会卡住一些人。
这个题目一般有2~3问,一般会考查某条线的大小或者证明某个线/面与另外一个线/面平行或垂直,以及求二面角。
这类题目的解题方法有两种:空间向量法和传统法。这两种方法各有利弊。
向量法:
使用向量法的好处在于:没有任何思维含量,肯定能解出最终答案。缺点就是计算量大,且容易出错。
使用空间向量法,首先应该建立空间直角坐标系。建系结束后,根据已知条件可用向量确定每条直线。其形式为AB=(a,b,c),然后进行后续证明与求解。
箭头指的是利用前面的方法求解。如果有些同学会觉得比较乱,以下为无箭头标注的图。
传统法:
在学立体几何的时候,有很多性质定理和判定定理。但是针对高考立体几何大题而言,解题方法基本是唯一的,除了上图中6和8有两种解题方法以外,其他都是有唯一的方法。
所以,熟练掌握解题模型,拿到题目直接按照标准解法去求解便可。
另外,还有一类题,是求点到平面距离的,这类题百分之百用等体积法求解。
数 列
从这里开始,会明显感觉题目变难了,但是掌握了套路和方法,解决这类题目并不困难。
数列主要是求解通项公式和前n项和。
1. 通项公式
明确题目中给出的条件的形式,不同形式对应不同的解题方法。
通项公式的求法有以上8种,着重掌握1、4、5、6、7、8。其实4~8可以算作一种。
除了以上8种方法,还有一种叫定义法,就是题中给出首项和公差或者公比,按照等差等比数列的定义进行求解。
但一般情况下,高考大题不会出这么简单的。
2. 求前n项和
求前n项和总共4种方法——倒序相加法、错位相减法、分组求和法、裂项相消法。
遇到求前n项和类型的题目,可以从这四种方法考虑就可以了。
同样的,每种方法都有对应的使用范围。
当然,还有课本上关于等差数列和等比数列求前n项和的方法。在此就不列举了,请大家不要忘记。
圆锥曲线
高考对于圆锥曲线的考查也是有套路可循的。
一般套路是:前半部分是对基本性质的考查,后半部分考查与直线相交。
当你对高考题目积累量足够多的时候,会发现,后半部分的步骤基本是一致的。
即:设直线,然后将直线方程代入圆锥曲线,得到一个关于x的二次方程,分析判别式、韦达定理,利用韦达定理的结果求解待求量。
所以,学好圆锥曲线需要明白三件事。
1. 三种圆锥曲线的性质
大家在学习的过程中可以自行总结,以便加深记忆。
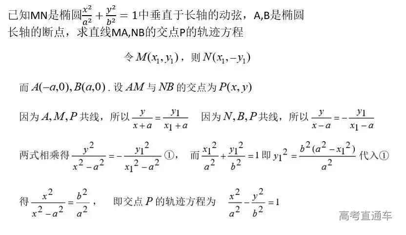
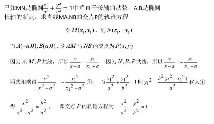
2. 求轨迹的方法
求动点的轨迹方程的方法有7种,下面将一一介绍。一般情况下,这部分考查的题目不会出特别难。
a)直接法(性质法)
这类方法最常见,一般设置为第一问,题干中给出圆锥曲线的类型,并给出部分性质,比如离心率、焦点、端点等,根据圆锥曲线的性质求解a,b。
b)定义法
即题目中给出的条件,其实是某种我们学过的曲线的定义。这种情况下,可以根据题目描述,确定曲线类型,再根据曲线的性质,确定曲线的参数。
各曲线的定义如下:
到定点的距离为定值的动点轨迹为圆;
到两个定点的距离之和为定值的动点轨迹为椭圆;
到两个定点的距离之差为定值的动点轨迹为双曲线;
到定点与定直线的距离之比为定值的动点轨迹为圆锥曲线,根据比值大小确定是哪一种曲线。
c)直译法
顾名思义,就是直接翻译题目中的条件。将题目中的文字用数学方程表达出来即可。
d)相关点法
假如题目中已知动点P的轨迹,另外一个动点M的坐标与P有关系。可根据此关系,用M的坐标表示P的坐标,再代入P的满足的轨迹方程,化简即可得到M的轨迹方程。
e) 参数法
当动点坐标x、y之间的直接关系难以找到时,可以先找到x、y与另一参数t的关系,再消去参变数t,得到轨迹方程。
f) 交轨法
若题目中给出了两个曲线,求曲线交点的轨迹方程时,应将两动曲线方程中的参数消去,得到不含参数的方程,即为两动曲线交点的轨迹方程。
g)点差法
只要是中点弦问题,就用点差法。
3. 与直线相交
这道题目一般为必考,而且每年形式基本都一样。
大概是这样:有一条直线,与这个圆锥曲线相交于两个点A,B,问balabala……
首先,从理论上说说这道题的解题步骤:
步骤1:先考虑直线斜率不存在的情况。求结果。(此过程仅需很简短的过程)
步骤2:设直线解析式为 y=kx+b(随机应变,也可设为两点式……)
步骤3:一般,所设直线具有某种特征,根据其特征,消去上式中k或b中的一个。
步骤4:联立直线方程和圆锥曲线方程,得到:
步骤5:求出判别式△ ,令 △>0(先空着,必要时候再求 △>0 时的取值范围)
步骤6:利用韦达定理求出 x1x2,x1+x2(先空着,必要时再求y1y2)
步骤7:翻译题目,利用韦达定理的结果求出所求量。
我们可以以下面的题目为例,看一下解题步骤。
如果考试时间充足的话,计算量最大、最消耗时间的地方,也是需要计算的。如果时间来不及,可以暂且放下。
函数与导数
这一类题型以求导然后分析函数为主。导数这部分的步骤是比较固定的。
导数与函数的题型,大体分为三类:
1. 关于单调性,最值,极值的考查。
2. 证明不等式。
3. 函数中含有字母,分类讨论字母的取值范围。
无论是哪种题型,解题的流程只有一个。如下图所示:
例题比较简单,但是注意两点:一是任何导数题的核心步骤都是以上四步;二是时刻提醒自己定义域。
上面的例题属于第一类题型。
第二类题型,证明不等式。需要先移项,构造一个新函数,可以使不等号左边减去右边,构成新函数。
利用以上四个步骤,分析新函数的最值与0的大小关系,可以得证。此为作差法。
还有一种方法叫作商,即左边除以右边,其结果与1做对比。不过此方法不建议使用,因为分母有可能为0,或者正负号不确定。
除此之外,还要注意逻辑。如果证明 A ≤ B,新函数设为 A - B,那么,需要 A - B的最大值小于等于0。
第三类问题,求字母的取值范围。先闭着眼睛当成已知数算,算完以后列表,针对列表中的结果进行分情况讨论。(一般,题目都会写明字母不为0)
以上就是总结的题型和解题套路,当然并没有把所有的题型总结完,只是提出一个思路和解方法,大家可以参考以上模式自行总结。
最后,重申三点:记住基础知识素材,总结题型,提取解题策略。




















