【原题】22.阅读下面的材料,根据要求写作。(60分)
中国早已成为竞技体育强国。与之不相称的是:中小学体育课,经常被占用;强度稍高的运动项目,被移出了校运会;中国青少年的体质连续多年下降,力量、速度以及耐力等多项指标下滑……
这引起了人们的热议。
电视台为此举办“体育强国:少年何以强”主题论坛,请嘉宾们各抒己见。应邀嘉宾有:朱女士(女排队员),林先生(体育专栏记者),方女士(学生家长),王老师(高中班主任),康同学(高三学生)。观众席上有学生、家长和其他感兴趣的市民。
请你以其中一位嘉宾的身份,写一篇发言稿。要求:结合材料,切合身份,贴合情境;自拟标题;不要套作,不得抄袭;不得泄露个人信息;不少于800字。
作文标杆卷
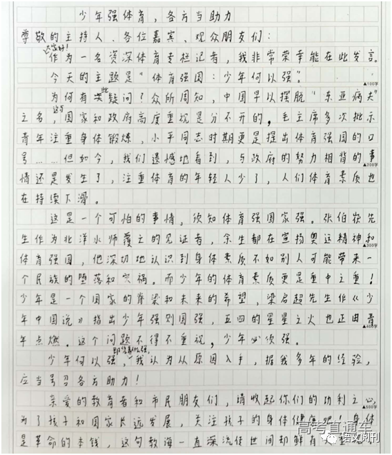
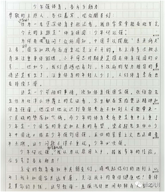
1号文:
1号文:
评分等级:20+19+19=58
标题“以强健之体魄,筑强健之中国”采用“1+1”的形式,表明了“少年强”和“强国”之间的关系。
文章开头点明发言背景和发言者身份。第二段阐述了体育锻炼对于青少年的全面发展的作用,并进一步论述了青少年的强健体魄和人格,与强健之国格、与国家和民族的未来的关系,切合“体育强国:少年何以强”的主题。第三段结合亲身感受分析了学生体育锻炼不如人意的现状。第四段从学生、学校、家长、社会的角度提出了呼吁与倡议,希望重视和加强体育锻炼,为之营造良好的社会环境。第五段联系朱女士的发言,再次强调“以强健之体魄,共筑我强健之中国”的希望与决心。
文章结合材料和个人体会,重点分析了“少年何以强”,即如何解决问题,符合举办此次论坛的主题与目的。分析了“少年强”和“国强”之间的关系,使文章具备了一定的高度。本次作文存在的共性问题是:侧重分析为什么要加强体育锻炼,忽视举办论坛的主要目的是提出解决问题的方法。本文作者审题准确,抓住了命题意图,重点突出,详略得当。语言生动,有真情实感。书写美观。
文章如果能增加典型的论据,在解决问题的方法上有更具体一点的措施,则更佳。
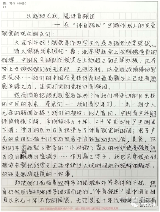
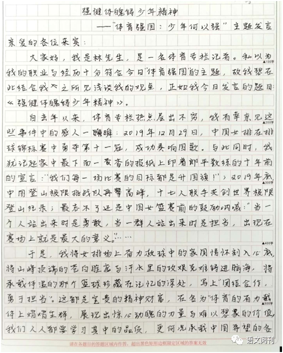
2号文:
2号文:
评分等级:18+19+19=56
本文的题目采用对称式结构,有韵律感,读起来朗朗上口,有形式上的美感;关键词“强健” “少年”贴合论坛的主题,表明了写作内容与体育、少年、健康有关,内容上与写作的大方向保持一致。
文章主体分三个层次进行论述。首先从记者视角阐述了学校和家长在观念和行为上对学生体育运动的轻视,并针对此现状提出了改进建议:学校要保障运动时间,家长要配合和鼓励学生运动。接着从学生的身体状态并结合自身体验,分析了体育运动的必要性和重要性,鼓励学生参加各项运动,提高身体素质,改善精神面貌。最后向校方、家长、学生提出加强体育运动的建议,并升华主旨:体育强国,少年以强健体魄强,以刚毅之心强。
本文的写作身份明确,符合记者的职业特征。有较强的场景感和对话感,如开头表明自己的发言是在朱女士的讲话之后有感而发,讲话时和学生有互动,结合自己的人生经验和学生交流等。语言有对话的亲切感,表达流畅,书写美观。
不足:一是对“何以强国”的论述不够丰富,对“少年强”和“国强”之间的内在联系只点到为止,缺少深入分析;二是“青春之体强健,成长之路顺畅”“少年之心澎湃,精神之心刚毅”,这两句话单独成段,显得突兀,不如去掉,文章更流畅。
3号文:
3号文:
评分等级:19+18+18=55
本文紧扣作文材料,能在真实的语言运用情境中,正确地解读材料,有效地分析“体育强国:少年何以强”这一核心问题。
本文中心突出,说理逻辑清晰。考生针对“少年何以强”这一中心问题展开论述,从多维度说理论证。文章主体部分首先以本次论坛的主题切入,引出作文材料中涉及的目前青少年体育存在的问题,让后文的分析论证具有很强的针对性;然后简要阐明少年之身体素质对于国家的重要意义。紧接着从教育者、学生家长、学生本人三个层面重点分析了目前体育存在问题的原因及解决办法,呼吁各方“助力”让少年强起来。最后再次强调少年强国才强,少年强各方当助力。文章较好的体现了考生的思维广度,也有一定的思维深度。
本文能够出色地完成所有的任务指令。写作者身份明确,“作为一名资深体育专栏记者”“据我多年的经验”等很好的体现了写作者的身份特点。主体部分以面对面交流的形式与教育者、家长、学生沟通,写作对象感强,写作情境真实。文章既能言及考生个人对材料的认识和思考,又能提出希望和具体可行的建议,内容丰富充实,语言简洁流畅。
不足:“一名资深体育专栏记者”的身份特征在关键内容中体现不够,身份具有可替代性;“少年何以强”这一关键问题中“何以”的分析还不够突出;个别语句表达不够准确。
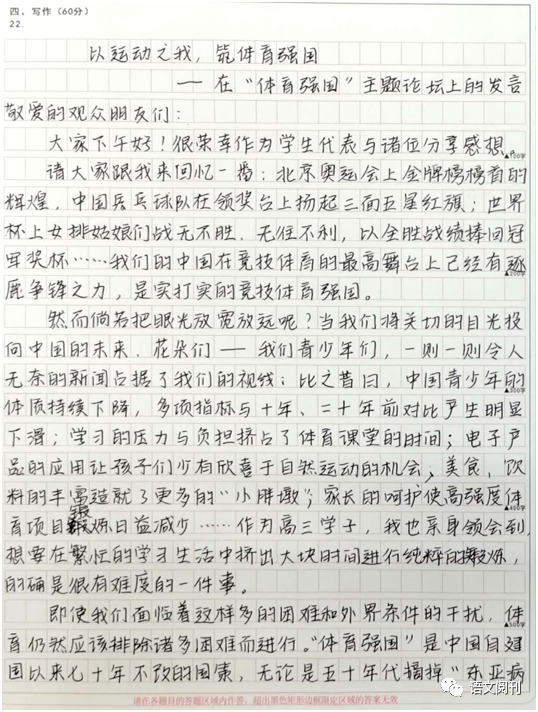
4号文:
4号文:
评分等级:18+17+17=52
本文思路清晰,详略得当。文章先写“体育强国”,再写“青少年体质下降”,最后写“何以强”——为何要提高青少年体质和如何提高青少年体质。这是一个紧贴命题的思路,最容易构思成文,也最容易切合题意。
文章用一个文段略写“体育强国”,明确了讨论问题的背景,之后立刻进入“青少年体质下降”的写作。这两部分都是相对略写的内容。“何以强”是本文详写的部分。考生把“体育强国”和“提高青少年体质”联系起来,谈二者之间的关系,首先解决了“为何要提高青少年体质”的问题,然后解决“如何提高青少年体质”的问题。“为何要提高青少年体质”部分谈“青少年与国家”的关系,体现了文章的高度,是文章的增分点。
本文以学生身份写作,身份感清晰。“作为高三学生,我也亲身领会到……”“以我,一名高三学生而言……”这些内容清晰地体现了行文的身份感。
文章具有一定的现场感。除格式语言之外,在行文中也有所体现。如“请大家跟我来回忆一番”“当我们将关切的目光投向中国的未来,花朵们”等等。
本文内容丰富,排比手法突出,语言有个性特点,有文采。如“青少年是国家的未来,是麦田里新冒芽的麦穗,是奔涌着的‘后浪’”。
不足:1.“如何提高青少年体质”强调的是个人的体育锻炼,偏离了题目中的“校园体育”。2.现场感不够强。如原文第三段首句“倘若把目光放宽方远些”,可以改为“倘若我们把目光放宽放远些”。这样就和上一段首句“请大家跟我来回忆一番”呼应,强化现场感。
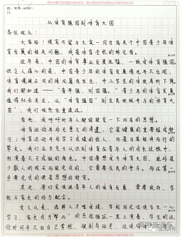
5号文:
5号文:
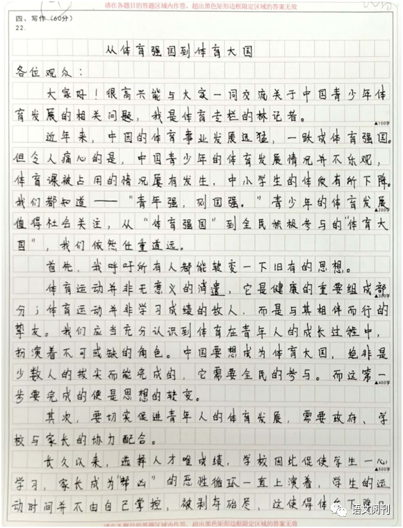
评分等级:18+17+17=52
本文做到“三合”:结合材料,切合身份,贴合情境。
首先标题扣住“体育强国”题眼。开头点明记者身份和发言主题。第二段指出竞技强国和中国青少年体育现状的冲突,引发“中国由体育强国到体育大国任重道远”的思考。接着考生从三角度提出解决问题的办法:一是转变旧有思想,体育运动很重要,需要全民参与运动;二是需要政府、学校、家长等协同合作;三是青少年要负压前行,热爱体育。最后以一个体育栏目记者身份再次强调青年运动的重要性,并提出希望。全文结合材料,中心突出,重心在写如何做才能“少年强”,扣住少年和体育强国的关系,符合记者身份,代入感强,有情境意识。
不足:命题者强调的是“体育强国”,不要自己再生造一个“体育大国”的概念;要认识到现在我们已经是竞技体育强国,但是不是体育强国;三种解决问题的角度可以再落实具体些,更有说服力;记者身份体现再明显一些;结尾不需要落款和日期,格式扣1分。
6号文:
6号文:
评分等级:16+18+16=50
本文思路清晰。主体部分的第二段、第三段从一名体育专栏记者的角度列举了当下中国作为“体育强国”的种种现象,阐述了体育在当下中国的重大意义,很好的的照应了作文材料中“中国早已成为竞技体育强国”,为后问的论述提供了背景。接着话题一转,联系当下体育教育存在的问题,结合现实论述体育之于青少年的重要意义,最后提出希望,提及解决问题的办法。
写作任务完成好。文章结合材料中涉及的谈话背景和核心问题展开论述,有说服力。对话性感召力兼具,作者始终具有强烈的身份意识,能够契合体育专栏记者的身份与论坛发言的文体特征,与预设的听众进行平和、得体而深入的思想交流,语言有文采,有温度,感染力强。
不足:前文关于体育强国的内容分析多,后文针对当下体育存在的问题的论述,尤其是“少年何以强”的分析不够,重点不突出。
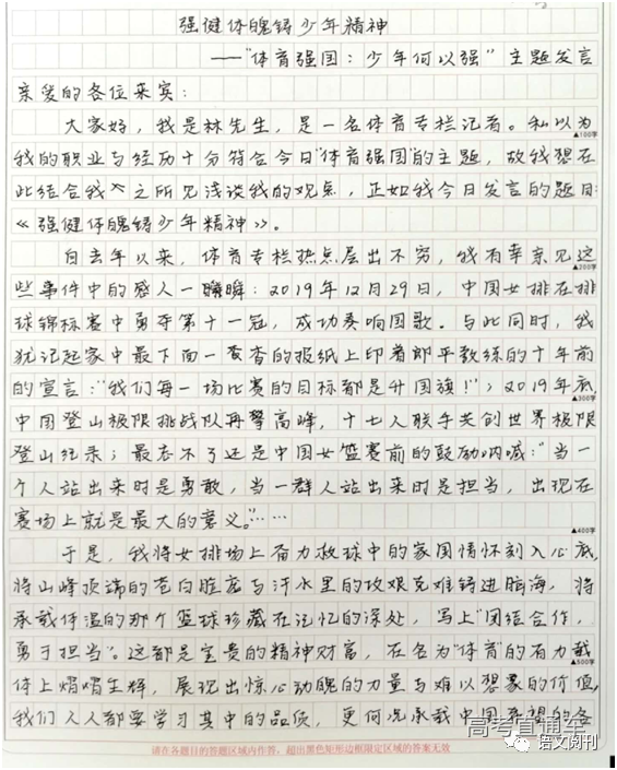
7号文:
7号文:
评分等级:16+16+16=48
本文以“青少年体育”为中心写作,中心明确,符合题意。第二段以自己的切身体验写校园体育,真切可感。第三段把“青少年的体育状况”与国家未来、社会发展联系起来,确立了写作的思想高度。第五段“亲爱的爸妈和老师,各位关怀青少年的叔叔阿姨们”,既突出了发言者的身份,也与现场进行了互动。写作中,“校园体育”比较突出。
不足:1.竞技体育、大众体育、校园体育,三个概念还比较模糊。本文的重点应该是“校园体育”,而在第六段发言结尾却说,“更重要的是形成全民体育的氛围”,“这,正当从少年抓起”,“校园”被抛弃了。2.一些素材论述不够清楚。如第二段“美国一项研究”,第三段“清华大学的体育精神”。这些素材与“青少年何以强”之间的关系还不够清楚。
8号文:
8号文:
评分等级:17+16+15=48
本文“三合”做的比较好,尤其是家长身份贴合,以一个殷切希望的家长身份,嘱咐学校“我把孩子放心地交给你们”,希望培养出一个阳光健壮的青年,感情深沉。同时结合材料情境,谈孩子体育健康的重要性,更重要的是主要提出了解决问题的办法:一是嘱咐学校重视体育课,让孩子们多运动;二是嘱咐孩子们重视学习的同时多参与体育锻炼。最后提出希望,强化少年和体育强国的关系。全文符合家长身份,代入感强,有情境意识,突出“怎么做”。
不足:“你们”所指不太明确,如果是指学校,那第二个主体段解决问题的办法中嘱咐孩子们重视学习的同时多参与体育锻炼,就不符合对象。没有兼顾到现场其他嘉宾和电视机前的观众,全文带着“嘱托”写,但是忽略的家长自己可以做些什么,现场把控的分寸感还要加强。
9号文:
9号文:
评分等级:16+15+14=45
本文以“请归还我们的‘体育课’”为标题,旗帜鲜明,中心突出。在众多没有自身特点的考场作文中,这种小切口,鲜明而朴实的写作让人眼前一亮。
文章行为思路清晰。以“首先”“其次”“最后”“总之”引领行文,文章思路清晰,具有层次感。这种用词也符合电视台谈话类节目的语境。
本文以自己的切身经历与体验写作,能够很好地体现学生的身份特点。
不足:1.没有顾及“体育强国”这个前提。2.虽然以“校园体育”为中心,但是对“少年何以强”的“强”理解停留在表层。3.文章主要以“老师”为对象要求“归还体育课”,解决问题的路径过于狭窄。思路没有打开,缺少格局。
10号文:
10号文:
评分等级:15+15+15-1=44
文章符合题意,提出了用提高体育应试分数的方法来强制进行体育运动,提升身体素质。重点分析了重视体育锻炼的原因和意义,并向学生、家长和其他市民提出了希望。有明确的写作身份和写作背景、交际对象和内容。
文章针对“少年何以强”,提出了用提高体育应试分数的方法来强制进行体育运动,比较实在,但方法单一,格局不高。后面的原因分析没有针对“为什么要用提高体育应试分数的方法来强制进行体育运动”,而是转而分析重视体育锻炼的原因,结构不严谨,重点不突出。全文谈原因,忽视了“怎么做”,缺乏主题情境意识。
语言平淡,书写良好,卷面整洁。
“才此以往”应该是“长此以往”,错别字扣1分。
11号文:
11号文:
评分等级:13+15+14=42
从具体的写作内容看,本文中心明确,层次分明,逻辑清晰。首先结合材料提及了竞技体育强国这一背景,然后针对当前青少年体育存在的问题分析了原因、阐述了青少年体育的重要意义,最后给出了合理化建议。应该说本文较好的完成了关于“体育强国:少年何以强”这一主题的分析。
但本文最大的问题在于无身份认同感,发言人及听众身份均未明确,全文也缺乏交流情境,几乎只在自说自话,不符合本次真实情景交际写作的要求。
12号文:
12号文:
评分等级:10+14+11=35
1.本文缺少“三合”:(1)没有明显体现家长身份,如第三段讲中国体育辉煌是过往,看当下青年等,模糊身份;(2)没有围绕“体育强国,少年何以强”主题行文。表现为:标题《料得明日花更红》拟题不能体现材料关键词;部分段落严重偏题,如第二段写中国历史和经济发展等,第四段写羡慕青年有选择的权利,有套作五四视频《奔涌吧,后浪》之嫌;(3)没有时代格局。对于青少年体育强和国家强的关系阐释不清。
2.思维混乱。如第五段写解决问题,希望有关部分重视青少年的体育,但是后面却强调身体和学习的关系,是谈为什么。
























