推荐阅读:
1. 集合与常用逻辑用语
2. 复数
3. 平面向量
4. 算法、推理与证明
5.不等式、线性规划
6. 计数原理与二项式定理
7. 函数、基本初等函数的图像与性质
8. 函数与方程、函数模型及其应用
9.导数及其应用
10.三角函数的图形与性质
11.三角恒等变化与解三角形
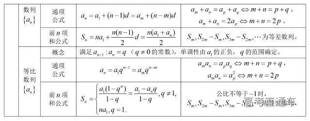
12.等差数列、等比数列
13.数列求和及数列的简单应用
14.空间几何体
15.空间点、直线、平面位置关系
16.空间向量与立体几何
17.直线与圆的方程
18.圆锥曲线的定义、方程与性质
19.圆锥曲线的热点问题
20.概率
21.离散型随机变量及其分布
22.统计与统计案例
23.函数与方程思想,数学结合思想
24.分类与整合思想,化归与转化思想
25.坐标系与参数方程
26.不等式选讲




































