高中数学快速做题秘诀——18个常用二级结论

2024-11-08 14:53 高考数学 评论

今天为大家整理了高中数学18个常用二级结论,教你快速解题,轻松应对选择题、填空题!


1
函数图象对称性的相关结论


图片


2
2.奔驰定理


图片


3
平面向量中的极化恒等式


图片

图片


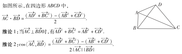
4
对角线向量定理


图片


5
等和线定理


图片


6
三角形内角平分线定理


图片


7
面积射影定理


图片


8
三余弦定理和三正弦定理


图片


9

关于几何体外接球、内切球的常用结论


图片


10
曲线系方程


图片


11
椭圆、双曲线的焦点三角形


图片


12
椭圆、双曲线的第三定义


图片


13
椭圆、双曲线的焦半径公式


图片

14
双曲线的渐近线


图片


15
抛物线的焦点弦


图片

16
抛物线的阿基米德三角形


图片


17
直线与圆锥曲线相切的有关结论


直线与椭圆相切的有关结论:

图片


直线与双曲线相切的有关结论:

图片


直线与抛物线相切的有关结论:

图片


18
相交弦所在直线斜率与弦中点的关系


图片


登录高考直通车APP
查看完整试题答案
好的
查看完整试题
特别声明:
1. 本站注明稿件来源为其他媒体的文/图等稿件均为转载稿,本站转载出于非商业性的教育和科研之目的,并不意味着赞同其观点或证实其内容的真实性。如转载稿涉及版权等问题,请作者在两周内速来电或来函联系,本站根据实际情况会进行下架处理。
2. 任何媒体、网站或个人未经本网协议授权不得转载、链接、转贴或以其他方式复制发表,违者本站将依法追究责任。
全部评论
努力加载中...
开通会员后可解锁剩余内容
立即开通
举报理由选择
确定
高考直通车官网

哇哦!快加入高考直通车APP,发现更多精彩内容,与学霸一起交流学习吧!