今天为大家总结了高中数学的所有公式,无论你是文科生还是理科生,都来过一篇,绝对提分!建议收藏反复背~
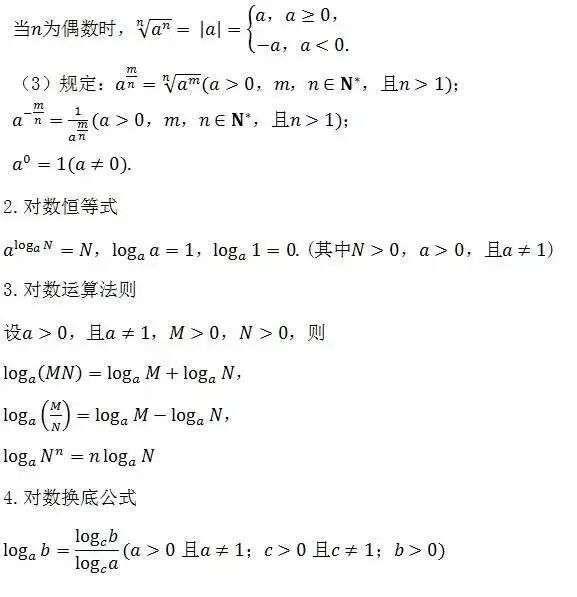
【集合】 【基本初等函数Ⅰ】 【函数应用】 【空间几何体】 【点、直线和平面的位置关系】 【空间向量与立体几何】 【直线与方程】 【圆与方程】 【圆锥曲线与方程】 【算法初步】 【统计】 【概率】 【离散型随机变量的分布列】 【三角函数】 【三角函数的图象与性质】 【三角恒等变换】 【解三角形】
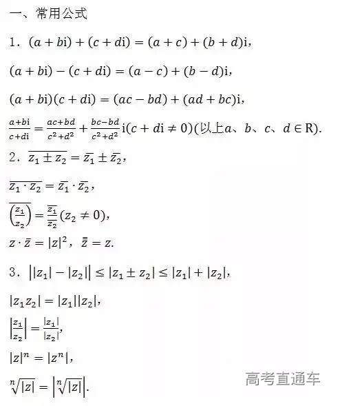
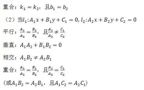
【平面向量】 【数列】 【不等式】 【常用逻辑用语】 【导数及其应用】 【复数】 【计数原理】 【坐标系与参数方程】
备注:点击右上角,复制链接,即可将页面发给打印店打印哦!收藏即可随时随地查看!觉得有用,欢迎分享给更多同学!
点击领取 | 更多高考复习资料 ↓


















































