高中数学各题型详细方法总结+100个核心考点全汇总!

2022-01-12 00:01 综合整理自网络 评论
学习数学,其实包含两个方面:一个是数学知识,一个是数学方法。考察数学,就是在不同的题型下,利用恰当的数学方法将所学习的数学知识组合起来,解决不同的数学问题。
所以,学好数学有三点需要强调:学习知识,把握题型,提取方法。
关于基础知识,就不过多一一列举,主要是通过具体实例,来让同学们感受一下学习数学的核心思想:不同题型对应不同方法;学习数学,就是一个归纳题型和解题方法的过程。
一般情况下,高考数学后几道大题分别是:三角函数,立体几何,数列,圆锥曲线,函数与导数。每个题型都有对应的出题套路,每一种套路都有对应的解题方法。
三角函数
这个题型有两种考法,大概10%~20%的概率考解三角形,80%~90%的概率考三角函数本身。
(一)解三角形
不管题目是什么,作为被考察者,你要明白关于解三角形,你只学了三个公式——正弦定理,余弦定理和面积公式。所以,解三角形的题目,求面积的话肯定用面积公式。至于什么时候用正弦,什么时候用余弦,如果你不能迅速判断,都尝试一下也未尝不可。
(二)三角函数
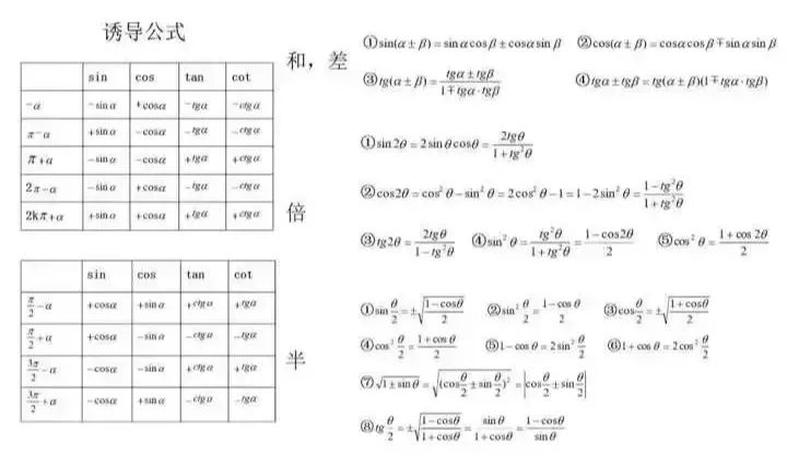
三角函数,套路一般是给出一个比较复杂的式子,问函数的定义域、值域、周期频率和单调性等问题。解决方法就是首先利用“和差倍半”对式子进行化简,化简成 图片
图片
图片
掌握以上公式,关于题型见下图。
图片

立体几何
相比于前面的三角函数,立体几何题型要稍微复杂一些,可能会卡住一些人。该题通常有2-3问,第一问求某条线的大小或证明某个线/面与另外一个线/面平行或垂直,最后一问求二面角。

图片
这类题解题方法主要有两种,传统法和空间向量法,其中各有利弊。
(一)向量法:
使用向量法的好处在于没有任何思维含量,肯定能解出最终答案。缺点是计算量大,且容易出错。
应用空间向量法,首先应该建立空间直角坐标系。建系结束后,根据已知条件可用向量确定每条直线。其形式为AB=(a,b,c)然后进行后续证明与求解。
图片
(二)传统法:
图片

图片
学习立体几何章节,虽然学了很多性质定理和判定定理,但针对高考立体几何大题而言,解题方法基本是唯一的,除了上图6和8有两种解题方法以外,其他都是有唯一的方法。所以,熟练掌握解题模型,拿到题目直接按照标准解法去求解便可。
另外,还有一类题,是求点到平面距离的,这类题百分之百用等体积法求解。
数列
从这里开始,题型难度开始明显增加,但只要掌握了套路和方法,同样并不困难。数列的考察主要是求解通项公式和前n项和。
(一)通项公式
观察题目中给出的条件形式,不同形式对应不同的解题方法。
图片通项公式的求法我给出了8种,着重掌握上图中的1、4、5、6、7、8,其实4-8可以算作一种。除了以上八种方法,还有一种叫定义法,就是题中给出首项和公差或者公比,按照等差等比数列的定义进行求解。
(二)求前n项和
求前n项和主要有四种方法——倒序相加法,错位相减法,分组求和法,裂项相消法。同样,每种方法都有对应的使用范围。
图片
图片
当然,还有课本上关于等差数列和等比数列求前n项和的基本方法,请大家牢记掌握。

圆锥曲线
高考对于圆锥曲线的考察也是有套路可循的。一般套路就是:前半部分是对基本性质的考察,后半部分考察与直线相交。
如果高考题做得足够多,你会发现后半部分的步骤基本是一致的。即:设直线,然后将直线方程带入圆锥曲线,得到一个关于x的二次方程,分析判别式,韦达定理,利用定理的结果求解待求量。
所以,学好圆锥曲线需要明白三件事:
(一)三种圆锥曲线的性质
在此不再列举,请同学们自行总结。
(二)求轨迹的方法
求动点的轨迹方程的方法有7种,下面将一一介绍。
1.性质法
这类方法最常见,一般设置为第一问,题干中给出圆锥曲线的类型,并给出部分性质,比如离心率,焦点,端点等,根据圆锥曲线的性质求解a,b。
2.定义法
定义法的意思呢,就是题目中给出的条件其实是某种我们学过的曲线的定义,这种情况下,可以根据题目描述,确定曲线类型,再根据曲线的性质,确定曲线的参数。各曲线的定义如下:
到定点的距离为定值的动点轨迹为圆;
到两个定点的距离之和为定值的动点轨迹为椭圆;
到两个定点的距离之差为定值的动点轨迹为双曲线;
到定点与定直线的距离之比为定值的动点轨迹为圆锥曲线;
图片
3.直译法
顾名思义,就是直接翻译题目中的条件。将题目中的文字用数学方程表达出来即可。
4.相关点法
假如题目中已知动点P的轨迹,另外一个动点M的坐标与P有关系,可根据此关系,用M的坐标表示P的坐标,再带入P的满足的轨迹方程,化简即可得到M的轨迹方程。
图片
5.参数法
当动点坐标x、y之间的直接关系难以找到时,可以先找到x、y与另一参数t的关系,得再消去参变数t,得到轨迹方程。
图片
6.交轨法
若题目中给出了两个曲线,求曲线交点的轨迹方程时,应将两动曲线方程中的参数消去,得到不含参数的方程,即为两动曲线交点的轨迹方程。
图片
7.点差法
只要是中点弦问题,就用点差法。
图片
(三)与直线相交
必考题,且每年形式基本一致,先从理论上说说这道题的解题步骤。
步骤1:先考虑直线斜率不存在的情况。求结果。(此过程仅需很简短的过程)
步骤2:设直线解析式为 y=kx+b(随机应变,也可设为两点式)
步骤3:一般,所设直线具有某种特征,根据其特征,消去上式中k或b中的一个。
步骤4:联立直线方程和圆锥曲线方程,得到:图片
步骤5:求出判别式 △,令 △>0(先空着,必要时候再求 △>0 时的取值范围)
步骤6:利用韦达定理求出 x1x2,x1+x2(先空着,必要时再求y1y2) 
步骤7:翻译题目,利用韦达定理的结果求出所求量。
图片

函数与导数
导数这块的步骤也是固定的,导数与函数的题型,大体分为三类。
1.关于单调性,最值,极值的考察;
2.证明不等式;
3.函数中含有字母,分类讨论字母的取值范围;
无论是哪种题型,解题的流程只有一个,如下图所示。
图片
例题比较简单,但是注意两点:一是任何导数题的核心步骤都是以上四部,二是时刻提醒自己定义域。以上例题属于第一类题型。
第二类题型,证明不等式,需要先移项,构造一个新函数,可以使不等号左边减去右边,构成的新函数,利用以上四个步骤分析新函数的最值与0的大小关系,可以得证。此为作差法。还有一种方法叫作商,即左边除以右边,其结果与1做对比。不过此方法不建议使用,因为分母有可能为0,或者正负号不确定。
还要注意逻辑。如果证明 A ≤ B,新函数设为 A - B,那么,需要 A - B的最大值小于等于0。
第三类问题,求字母的取值范围。先闭着眼睛当成已知数算,算完以后列表,针对列表中的结果进行分情况讨论。(一般,题目都会写明字母不为0)
以上就是为各位同学总结的题型和解题套路,并没有把所有的题型完整总结,只是提供一个思路和示范,此外下方还为大家整理归纳了高中数学100个核心考点,同学们可以按照这种模式自行总结。最后,重申三点:记住基础知识素材,总结题型,提取解题策略。

高中数学100个核心考点全汇总





图片
图片
图片
图片
图片
图片
图片
图片
图片
图片
图片
图片
图片
图片
图片
图片
图片
图片
图片
图片
图片
图片
图片
图片
图片
图片
图片
图片



登录高考直通车APP
查看完整试题答案
好的
查看完整试题
特别声明:
1. 本站注明稿件来源为其他媒体的文/图等稿件均为转载稿,本站转载出于非商业性的教育和科研之目的,并不意味着赞同其观点或证实其内容的真实性。如转载稿涉及版权等问题,请作者在两周内速来电或来函联系,本站根据实际情况会进行下架处理。
2. 任何媒体、网站或个人未经本网协议授权不得转载、链接、转贴或以其他方式复制发表,违者本站将依法追究责任。
全部评论
努力加载中...
开通会员后可解锁剩余内容
立即开通
举报理由选择
确定
高考直通车官网

哇哦!快加入高考直通车APP,发现更多精彩内容,与学霸一起交流学习吧!