推荐阅读:
学习数学,其实包含两个方面:一个是数学知识,一个是数学方法。考察数学,就是在不同的题型下,利用恰当的数学方法将所学习的数学知识组合起来,解决不同的数学问题。
所以,学好数学有三点需要强调:学习知识,把握题型,提取方法。
关于基础知识,就不过多一一列举,主要是通过具体实例,来让同学们感受一下学习数学的核心思想:不同题型对应不同方法;学习数学,就是一个归纳题型和解题方法的过程。
一般情况下,高考数学后几道大题分别是:三角函数,立体几何,数列,圆锥曲线,函数与导数。每个题型都有对应的出题套路,每一种套路都有对应的解题方法。
三角函数
这个题型有两种考法,大概10%~20%的概率考解三角形,80%~90%的概率考三角函数本身。
(一)解三角形
不管题目是什么,作为被考察者,你要明白关于解三角形,你只学了三个公式——正弦定理,余弦定理和面积公式。所以,解三角形的题目,求面积的话肯定用面积公式。至于什么时候用正弦,什么时候用余弦,如果你不能迅速判断,都尝试一下也未尝不可。
(二)三角函数
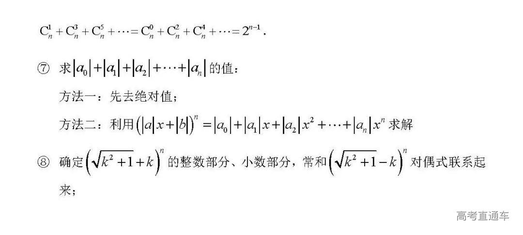
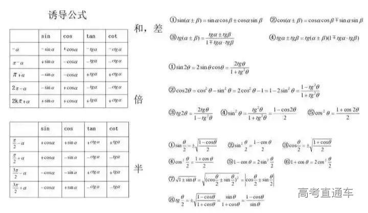
三角函数,套路一般是给出一个比较复杂的式子,问函数的定义域、值域、周期频率和单调性等问题。解决方法就是首先利用“和差倍半”对式子进行化简,化简成
掌握以上公式,关于题型见下图。
立体几何
相比于前面的三角函数,立体几何题型要稍微复杂一些,可能会卡住一些人。该题通常有2-3问,第一问求某条线的大小或证明某个线/面与另外一个线/面平行或垂直,最后一问求二面角。
这类题解题方法主要有两种,传统法和空间向量法,其中各有利弊。
(一)向量法:
使用向量法的好处在于没有任何思维含量,肯定能解出最终答案。缺点是计算量大,且容易出错。
应用空间向量法,首先应该建立空间直角坐标系。建系结束后,根据已知条件可用向量确定每条直线。其形式为AB=(a,b,c)然后进行后续证明与求解。
(二)传统法:
学习立体几何章节,虽然学了很多性质定理和判定定理,但针对高考立体几何大题而言,解题方法基本是唯一的,除了上图6和8有两种解题方法以外,其他都是有唯一的方法。所以,熟练掌握解题模型,拿到题目直接按照标准解法去求解便可。
另外,还有一类题,是求点到平面距离的,这类题百分之百用等体积法求解。
数列
从这里开始,题型难度开始明显增加,但只要掌握了套路和方法,同样并不困难。数列的考察主要是求解通项公式和前n项和。
(一)通项公式
观察题目中给出的条件形式,不同形式对应不同的解题方法。
通项公式的求法我给出了8种,着重掌握上图中的1、4、5、6、7、8,其实4-8可以算作一种。除了以上八种方法,还有一种叫定义法,就是题中给出首项和公差或者公比,按照等差等比数列的定义进行求解。
(二)求前n项和
求前n项和主要有四种方法——倒序相加法,错位相减法,分组求和法,裂项相消法。同样,每种方法都有对应的使用范围。
当然,还有课本上关于等差数列和等比数列求前n项和的基本方法,请大家牢记掌握。
圆锥曲线
高考对于圆锥曲线的考察也是有套路可循的。一般套路就是:前半部分是对基本性质的考察,后半部分考察与直线相交。
如果高考题做得足够多,你会发现后半部分的步骤基本是一致的。即:设直线,然后将直线方程带入圆锥曲线,得到一个关于x的二次方程,分析判别式,韦达定理,利用定理的结果求解待求量。
所以,学好圆锥曲线需要明白三件事:
(一)三种圆锥曲线的性质
在此不再列举,请同学们自行总结。
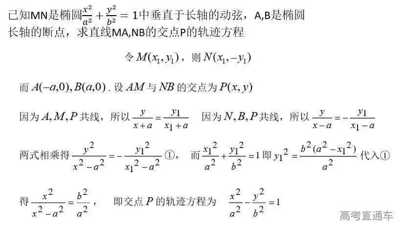
(二)求轨迹的方法
求动点的轨迹方程的方法有7种,下面将一一介绍。
1.性质法
这类方法最常见,一般设置为第一问,题干中给出圆锥曲线的类型,并给出部分性质,比如离心率,焦点,端点等,根据圆锥曲线的性质求解a,b。
2.定义法
定义法的意思呢,就是题目中给出的条件其实是某种我们学过的曲线的定义,这种情况下,可以根据题目描述,确定曲线类型,再根据曲线的性质,确定曲线的参数。各曲线的定义如下:
到定点的距离为定值的动点轨迹为圆;
到两个定点的距离之和为定值的动点轨迹为椭圆;
到两个定点的距离之差为定值的动点轨迹为双曲线;
到定点与定直线的距离之比为定值的动点轨迹为圆锥曲线;
3.直译法
顾名思义,就是直接翻译题目中的条件。将题目中的文字用数学方程表达出来即可。
4.相关点法
假如题目中已知动点P的轨迹,另外一个动点M的坐标与P有关系,可根据此关系,用M的坐标表示P的坐标,再带入P的满足的轨迹方程,化简即可得到M的轨迹方程。
5.参数法
当动点坐标x、y之间的直接关系难以找到时,可以先找到x、y与另一参数t的关系,得再消去参变数t,得到轨迹方程。
6.交轨法
若题目中给出了两个曲线,求曲线交点的轨迹方程时,应将两动曲线方程中的参数消去,得到不含参数的方程,即为两动曲线交点的轨迹方程。
7.点差法
只要是中点弦问题,就用点差法。
(三)与直线相交
必考题,且每年形式基本一致,先从理论上说说这道题的解题步骤。
步骤1:先考虑直线斜率不存在的情况。求结果。(此过程仅需很简短的过程)
步骤2:设直线解析式为 y=kx+b(随机应变,也可设为两点式)
步骤3:一般,所设直线具有某种特征,根据其特征,消去上式中k或b中的一个。
步骤4:联立直线方程和圆锥曲线方程,得到:
步骤5:求出判别式 △,令 △>0(先空着,必要时候再求 △>0 时的取值范围)
步骤6:利用韦达定理求出 x1x2,x1+x2(先空着,必要时再求y1y2)
步骤7:翻译题目,利用韦达定理的结果求出所求量。
函数与导数
导数这块的步骤也是固定的,导数与函数的题型,大体分为三类。
1.关于单调性,最值,极值的考察;
2.证明不等式;
3.函数中含有字母,分类讨论字母的取值范围;
无论是哪种题型,解题的流程只有一个,如下图所示。
例题比较简单,但是注意两点:一是任何导数题的核心步骤都是以上四部,二是时刻提醒自己定义域。以上例题属于第一类题型。
第二类题型,证明不等式,需要先移项,构造一个新函数,可以使不等号左边减去右边,构成的新函数,利用以上四个步骤分析新函数的最值与0的大小关系,可以得证。此为作差法。还有一种方法叫作商,即左边除以右边,其结果与1做对比。不过此方法不建议使用,因为分母有可能为0,或者正负号不确定。
还要注意逻辑。如果证明 A ≤ B,新函数设为 A - B,那么,需要 A- B的最大值小于等于0。
第三类问题,求字母的取值范围。先闭着眼睛当成已知数算,算完以后列表,针对列表中的结果进行分情况讨论。(一般,题目都会写明字母不为0)
以上就是为各位同学总结的题型和解题套路,并没有把所有的题型完整总结,只是提供一个思路和示范,此外下方还为大家整理归纳了高中数学100个核心考点,同学们可以按照这种模式自行总结。最后,重申三点:记住基础知识素材,总结题型,提取解题策略。
高中数学100个核心考点全汇总



















































