高考数学最值问题
【基础方法介绍】
1、求函数最值常见的方法主要有这7种:
配方法,单调性法,均值不等式法,导数法,判别式法,三角函数有界性,数形结合图象法。
2、求几类重要函数的最值方法;
3、实际应用问题中的最值问题一般有下列两种模型: 直接法,目标函数法 (线性规划, 曲函数的最值 )
【各类最值题型通解方法】
【函数求最值常用10法例题解析】
方法1:利用一次函数的单调性








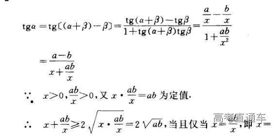
方法3:利用二次方程的判别式


































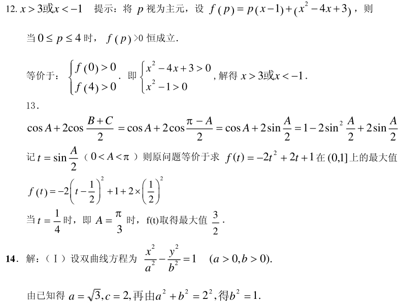
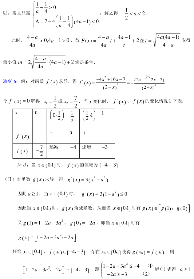
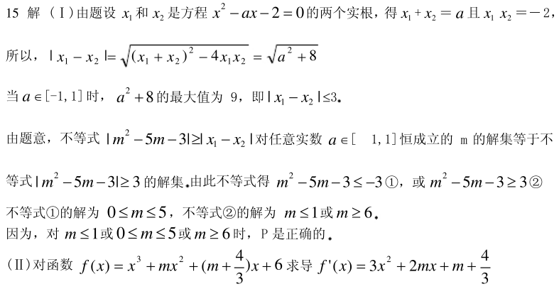
答案解析
【难题挑战】
点击查看更多数学压轴大题干货整理 | 每日更新 ↓
高考数学最值问题
【基础方法介绍】
1、求函数最值常见的方法主要有这7种:
配方法,单调性法,均值不等式法,导数法,判别式法,三角函数有界性,数形结合图象法。
2、求几类重要函数的最值方法;
3、实际应用问题中的最值问题一般有下列两种模型: 直接法,目标函数法 (线性规划, 曲函数的最值 )
【各类最值题型通解方法】
【函数求最值常用10法例题解析】
方法1:利用一次函数的单调性
方法3:利用二次方程的判别式
答案解析
【难题挑战】
点击查看更多数学压轴大题干货整理 | 每日更新 ↓
哇哦!快加入高考直通车APP,发现更多精彩内容,与学霸一起交流学习吧!