


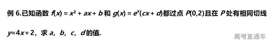
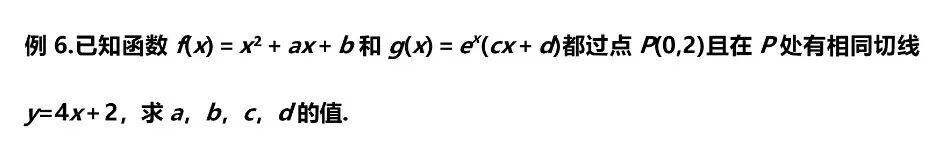
........................................................................................................................

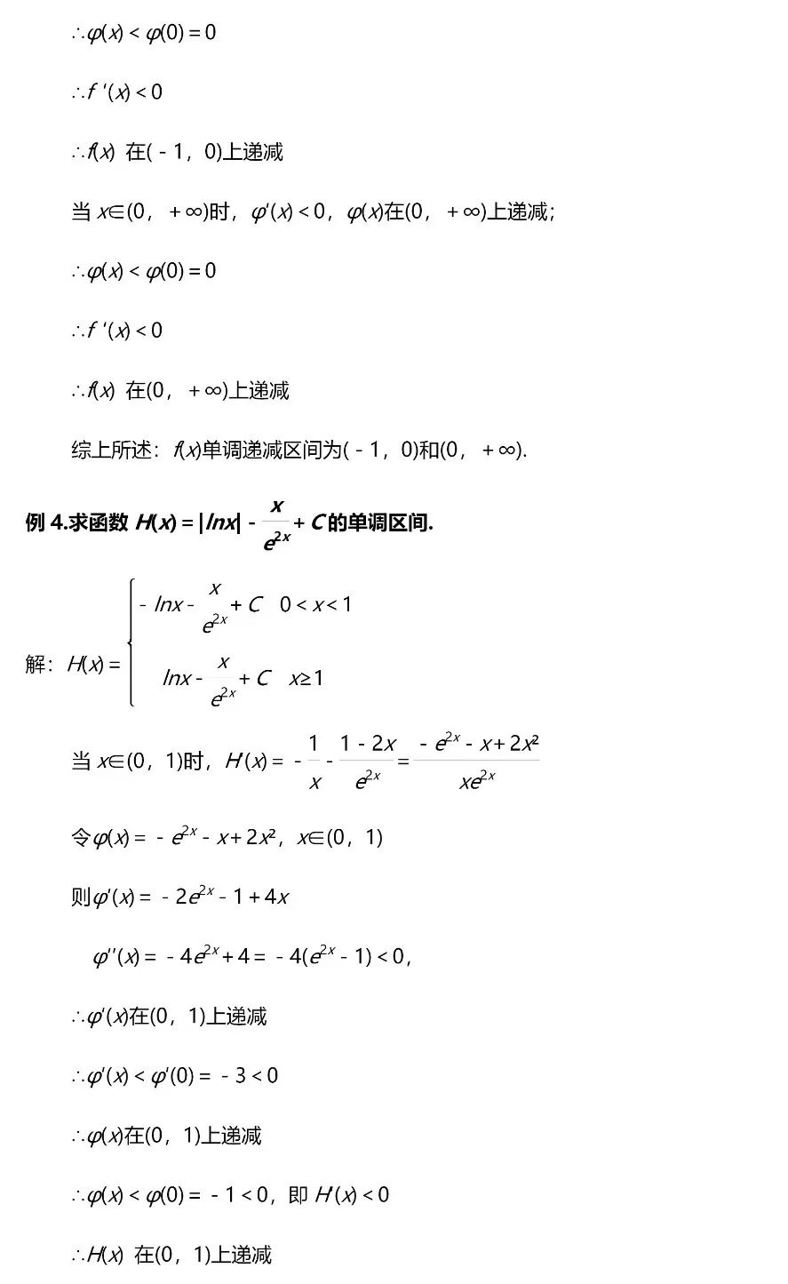
........................................................................................................................

........................................................................................................................

........................................................................................................................







































