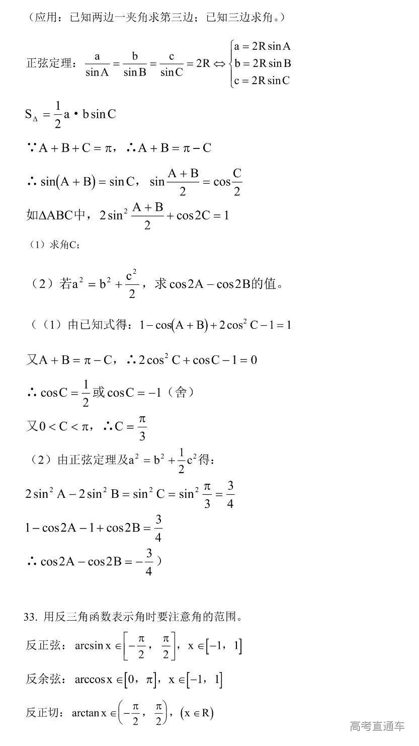
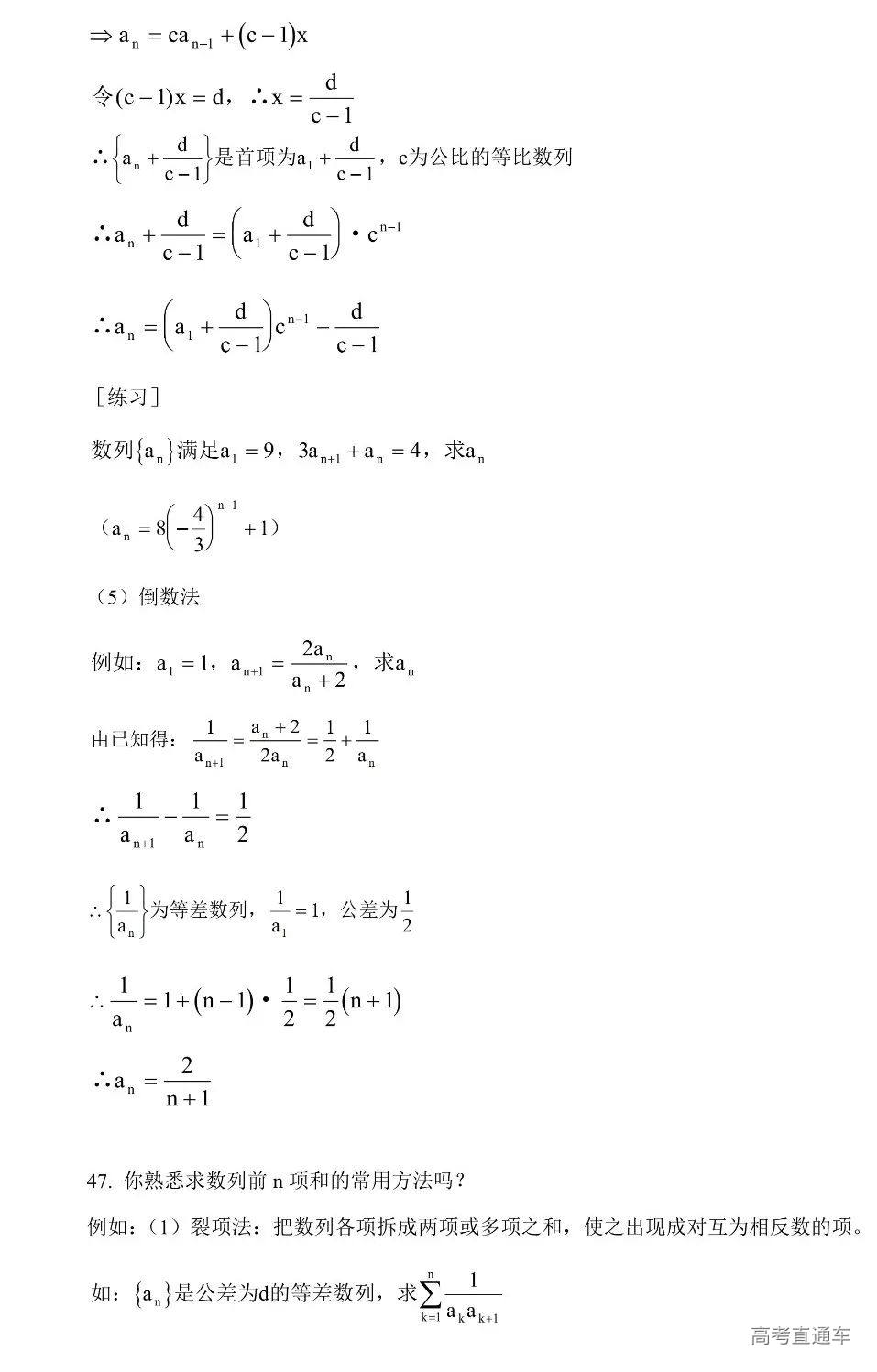
推荐阅读:
临近高考,有人慌了神,越学越没自信;也有的人突然察觉到了危机,爆发出惊人的潜能,成绩提升明显。
无论你是哪种,胜不骄,败不馁,平稳的心态是高考前最重要的事。
张爱玲在《小团圆》中说:“在最坏的时候懂得吃,舍得穿,不会乱。”
给自己买杯奶茶,放首歌,扎进数学题里猛刷一天叭











































推荐阅读:
临近高考,有人慌了神,越学越没自信;也有的人突然察觉到了危机,爆发出惊人的潜能,成绩提升明显。
无论你是哪种,胜不骄,败不馁,平稳的心态是高考前最重要的事。
张爱玲在《小团圆》中说:“在最坏的时候懂得吃,舍得穿,不会乱。”
给自己买杯奶茶,放首歌,扎进数学题里猛刷一天叭
哇哦!快加入高考直通车APP,发现更多精彩内容,与学霸一起交流学习吧!