求双曲线的标准方程主要是求实半轴长(a)和虚半轴长(b)。基本思路有两条途径:一是根据条件直接求得a与b的值;二是根据题设条件设出(a>0,b>0)标准方程,再建立关于a与b的方程组,进而求得a与b的值。
一、直接法
直接法就是不设出双曲线的标准方程,而是根据双曲线及相关圆锥曲线的几何性质等建立方程(组)直接求出a与b的值。但是求解时,必须首先明确焦点在哪条坐标轴上。
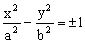
例1、已知双曲线的离心率为2,焦点是(-4,0),(4,0),则双曲线方程为( )
A.
B.
C.
D.
分析:由焦点坐标可以知道双曲线焦点位置及半焦距的长c,由离心率可得到实半轴长a与c的关系。
解析:由条件知双曲线的焦点在x轴上,半焦距c=4,离心率。所以a=2,
=
,所以双曲线方程为
,故选A。
总结:解答此类题型的关键是要正确判定双曲线焦点的位置(有焦点在x轴或y轴上或两种情况并存的情况),以确定标准方程的类型及所求方程的个数。
二、定义法
此方法主要适用于求动点的轨迹方程,解答时必须首先根据题设条件判定所求点的轨迹为双曲线,然后根据条件中的其他条件确定a、b的值,进而得到双曲线的标准方程,即为所求点的轨迹。
例2、已知动圆M与C1:,C2:
均外切,则动圆圆心M的轨迹方程是______________。
分析:根据两圆相切的条件可以确定出等式。由此知动圆圆心M的轨迹为双曲线的一支,然后再根据相关条件求得实半轴长a与虚半轴长b的值。
解析:设动圆M的半径为r,
则,
。
∴,
故点M的轨迹是以C1、C2为焦点,
实轴长为1的双曲线的一支,
。
∴(x<0),
M的轨迹为该双曲线的左支。
总结:本题充分挖掘题设中所给的几何性质,巧妙运用平面几何的知识,得到相关线段间的几何关系,结合圆锥曲线的定义判断所求点的轨迹的类型,这体现了平面几何知识在解析几何中的简化作用。
三、待定系数法
利用待定系数法,就是根据题设条件设出所求的双曲线方程,然后建立方程或方程组求得参数。但在求解过程中,若能将条件与双曲线标准方程特征联系起来,巧妙设出相应的双曲线标准方程或变式方程,则可达到避繁就简的目的。
例3、求中心在原点,对称轴为坐标轴,且经过点P()和Q(
,6)两点的双曲线方程。
分析:此题若设双曲线的标准方程,需分两种情况来解,比较繁琐,如果设方程
(mn≠0)来解,则要简单得多。
解析:设双曲线方程为。
因为点P、Q在双曲线上,
所以,
解得
所求双曲线方程为。
总结:若已知曲线经过两点,则求椭圆或双曲线标准方程时,都可将方程设为=1。
而且这种设法,可用来解决焦点不确定的情况。
备注:点击右上角,复制链接,即可将页面发给打印店打印哦!收藏即可随时随地查看!觉得有用,欢迎分享给更多同学!
