圆锥曲线8种常见题型分类练习,含填空选择题~

2021-01-16 22:01 评论

圆锥曲线8种常见题型分类练习



题型1:圆锥曲线的定义及标准方程


图片

图片

图片


题型2:中点弦问题

高考直通车

 1、求中点弦所在直线方程问题

图片

图片

 2、 求弦中点的轨迹方程问题

图片

3、 弦中点的坐标问题

图片

图片


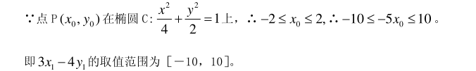
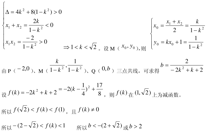
题型3: 离心率的取值范围

高考数学

图片


题型4:动点轨迹方程6大方法


高考直通车

1、直接法

图片

图片


2、待定系数法

图片


3、定义法

图片

图片


4、代入法

图片


5、参数法

图片


6、交轨法

图片


题型5:直线与曲线交点问题

高考直通车

图片

图片

图片

图片


题型6:圆锥曲线中的最值问题

高考直通车

图片

图片


题型7:圆锥曲线关于直线对称的问题

高考直通车

图片

图片


题型8:存在性问题

高考直通车

图片

图片

图片

图片



点击查看更多数学压轴大题干货整理 | 每日更新 ↓

数学压轴专题.jpg

登录高考直通车APP
查看完整试题答案
好的
查看完整试题
特别声明:
1. 本站注明稿件来源为其他媒体的文/图等稿件均为转载稿,本站转载出于非商业性的教育和科研之目的,并不意味着赞同其观点或证实其内容的真实性。如转载稿涉及版权等问题,请作者在两周内速来电或来函联系,本站根据实际情况会进行下架处理。
2. 任何媒体、网站或个人未经本网协议授权不得转载、链接、转贴或以其他方式复制发表,违者本站将依法追究责任。
全部评论
努力加载中...
开通会员后可解锁剩余内容
立即开通
举报理由选择
确定
高考直通车官网

哇哦!快加入高考直通车APP,发现更多精彩内容,与学霸一起交流学习吧!