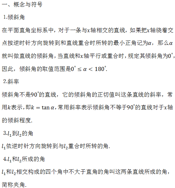
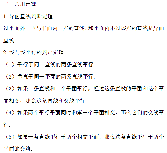
基本初等函数Ⅰ

函数的应用 空间几何体 点、直线和平面位置关系 空间向量与立体几何 直线与方程 圆与方程 圆锥曲线与方程 统计 概率 离散型随机变量的分布列 三角函数 三角函数的图像与性质 三角恒等变换 解三角形 平面向量 数列 不等式 常用逻辑用语 导数及其应用 复数 计数原理 坐标系与参数方程
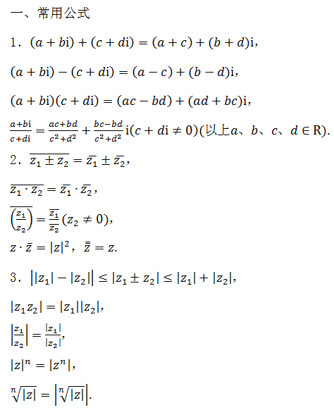
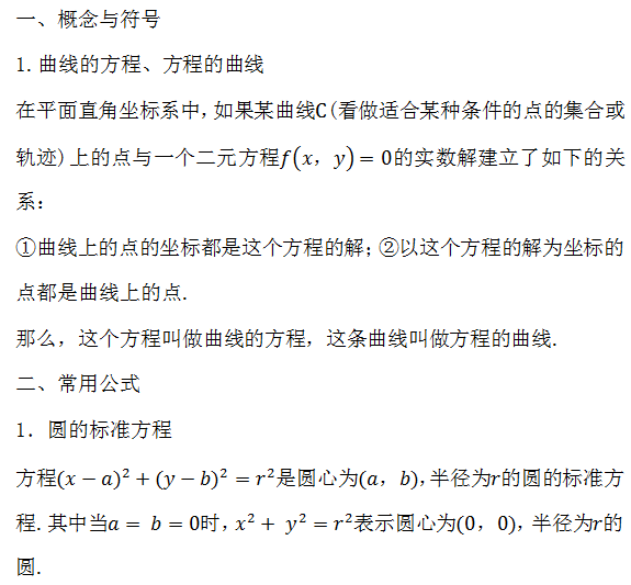
基本初等函数Ⅰ
函数的应用 空间几何体 点、直线和平面位置关系 空间向量与立体几何 直线与方程 圆与方程 圆锥曲线与方程 统计 概率 离散型随机变量的分布列 三角函数 三角函数的图像与性质 三角恒等变换 解三角形 平面向量 数列 不等式 常用逻辑用语 导数及其应用 复数 计数原理 坐标系与参数方程
哇哦!快加入高考直通车APP,发现更多精彩内容,与学霸一起交流学习吧!