来源:高考直通车综合自网络
在每年各地的高考卷中几乎都有关于斜面模型的试题在前面的复习中,我们对这一模型的例举和训练也比较多,遇到这类问题时,以下结论可以帮助大家更好、更快地理清解题思路和选择解题方法,今天给大家总结了斜面模型的8类情况。
斜面模型的8类情况
1.自由释放的滑块能在斜面上(如图9-1 甲所示)匀速下滑时,m与M之间的动摩擦因数μ=gtanθ.
2.自由释放的滑块在斜面上(如图9-1 甲所示):
(1)静止或匀速下滑时,斜面M对水平地面的静摩擦力为零;
(2)加速下滑时,斜面对水平地面的静摩擦力水平向右;
(3)减速下滑时,斜面对水平地面的静摩擦力水平向左.
3.自由释放的滑块在斜面上(如图9-1乙所示)匀速下滑时,M对水平地面的静摩擦力为零,这一过程中再在m上加上任何方向的作用力,(在m停止前)M对水平地面的静摩擦力依然为零(见一轮书中的方法概述).
4.悬挂有物体的小车在斜面上滑行(如图9-2所示):
(1)向下的加速度a=gsin θ时,悬绳稳定时将垂直于斜面;
(2)向下的加速度a>gsin θ时,悬绳稳定时将偏离垂直方向向上;
(3)向下的加速度a<gsin θ时,悬绳将偏离垂直方向向下.
5.在倾角为θ的斜面上以速度v0平抛一小球(如图9-3所示):
(1)落到斜面上的时间
(2)落到斜面上时,速度的方向与水平方向的夹角α恒定,且tan α=2tan θ,与初速度无关;
6.如图9-4所示,当整体有向右的加速度a=gtan θ时,m能在斜面上保持相对静止.
7.在如图9-5所示的物理模型中,当回路的总电阻恒定、导轨光滑时,ab棒所能达到的稳定速度
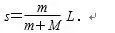
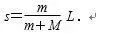
8.如图9-6所示,当各接触面均光滑时,在小球从斜面顶端滑下的过程中,斜面后退的位移








