春季高考的备考一定要做模拟卷或真题卷的整卷训练,查漏补缺,分析试卷情况找出自己的弱项,针对性重点复习。如果基础太薄弱怎么办?敲黑板啦!!!基础薄弱的同学怎么考好数学,就看这篇干货了!
必拿分题主要分为以下两大类题型,下面分别举例讲解一下这大两类题型的解题技巧,告诉大家怎样更好得分:
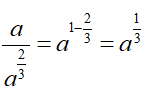
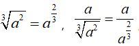
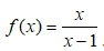
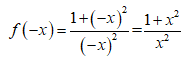
公式背诵计算类: 包括指对数运算、函数奇偶性、解不等式、平面向量的线性运算、数列、求直线斜率、三角函数相关公式、体对角线的计算 这类题型只需把相关公式牢记于心,答题时套公式计算,如: (1)指数运算:背诵公式,套入计算。 (2)函数的奇偶性:判断函数奇偶性可以直接代入公式: 符合 符合 (1)指数运算: 【解析】直接套上面公式⑥可得, (2)函数的奇偶性 (2021年真题)下列函数为偶函数的是( ) 这类题题型需在理解基础概念的基础上运用求解,一般考查形式单一直接,可直接记忆口诀,如: (1)数集间的交并补计算:记口诀“交集开口向下取相同,并集开口向上取全部,补集大C取没有” (2)求函数定义域: 记三种特殊函数定义域即可:(1)分数函数分母不为零;(2)偶次根式函数被开方数大于等于零;(3)对数函数真数大于零; (3)函数的单调性:记口诀:“x大y大为增,x大y小为减”,做题直接代数字计算即可。 (1)数集间的交互补计算: (2)求函数定义域: ①分数函数分母不为0: 例: ②偶次根式函数被开方数大于等于零 例: ③对数函数真数大于零 例: (3)函数单调性 (2021年真题)下列函数在其定义域内为减函数的是( ) 【解析】减函数要求x大y小,直接代入数字,例如对选项A,代入x=1计算得





















