高考数学难度比例大致为7:2:1,也就是说80%都是基础题。然而数学却是高考中最拉分的。90%的学生都缺少一套科学,高效的提分方法,尤其到了冲刺阶段!
为大家整理了高考数学历年必考题型,赶快利用碎片时间看一遍,掌握技巧,考场上多几分胜算!
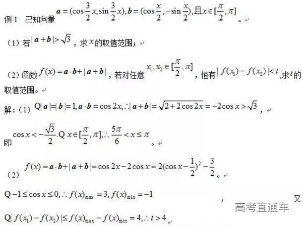
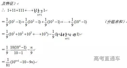
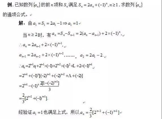
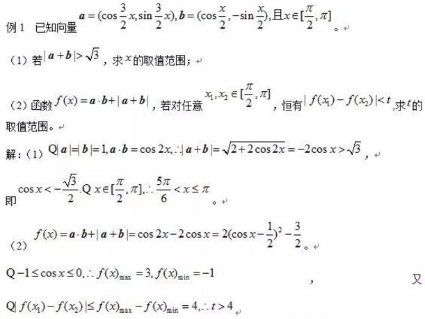
13个必考题型 题型一 运用同三角函数关系、诱导公式、和、差、倍、半等公式进行化简求值类。 题型二 运用三角函数性质解题,通常考查正弦、余弦函数的单调性、周期性、最值、对称轴及对称中心。 题型三 解三角函数问题、判断三角形形状、正余弦定理的应用。 题型四 数列的通向公式得求法。 题型五 数列的前n项求和的求法。 题型六 利用导数研究函数的极值、最值。 题型七 利用导数几何意义求切线方程。 题型八 利用导数研究函数的单调性,极值、最值 题型九 利用导数研究函数的图像。 题型十 求参数取值范围、恒成立及存在性问题。 题型十一 数形结合确定直线和圆锥曲线的位置关系。 题型十二 焦点三角函数、焦半径、焦点弦问题。 题型十三 动点轨迹方程问题。


























