今天为大家整理了高中数学18个常用二级结论,教你快速解题,轻松应对选择题、填空题!

1.函数图象对称性的相关结论



2.奔驰定理



3.平面向量中的极化恒等式




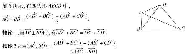
4.对角线向量定理



5.等和线定理



6.三角形内角平分线定理



7.面积射影定理



8.三余弦定理和三正弦定理



9.关于几何体外接球、内切球的常用结论



10.曲线系方程



11.椭圆、双曲线的焦点三角形



12.椭圆、双曲线的第三定义



13.椭圆、双曲线的焦半径公式



14.双曲线的渐近线



15.抛物线的焦点弦



16.抛物线的阿基米德三角形



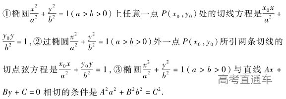
17.直线与圆锥曲线相切的有关结论

直线与椭圆相切的有关结论:

直线与双曲线相切的有关结论:

直线与抛物线相切的有关结论:


18.相交弦所在直线斜率与弦中点的关系

