高中数学椭圆、双曲线、抛物线的重点知识归纳和常用结论汇总!

2021-12-14 09:35 综合整理自网络 评论
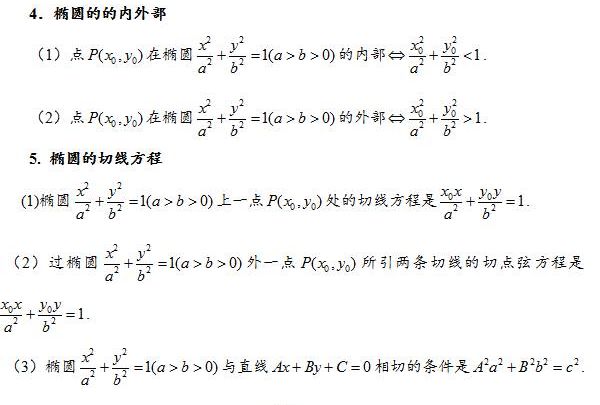
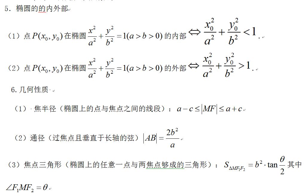
椭圆
图片
图片

双曲线
图片
图片
抛物线
图片
图片
圆锥曲线的综合问题
图片
图片
图片
  椭圆方程的第一定义
图片
椭圆及其标准方程
图片
椭圆的简单几何性质
图片图片图片图片图片图片图片

备注:点击右上角,复制链接,即可将页面发给打印店打印哦!收藏即可随时随地查看!觉得有用,欢迎分享给更多同学!


点击领取 | 更多高考复习资料 ↓

登录高考直通车APP
查看完整试题答案
好的
查看完整试题
特别声明:
1. 本站注明稿件来源为其他媒体的文/图等稿件均为转载稿,本站转载出于非商业性的教育和科研之目的,并不意味着赞同其观点或证实其内容的真实性。如转载稿涉及版权等问题,请作者在两周内速来电或来函联系,本站根据实际情况会进行下架处理。
2. 任何媒体、网站或个人未经本网协议授权不得转载、链接、转贴或以其他方式复制发表,违者本站将依法追究责任。
全部评论
努力加载中...
开通会员后可解锁剩余内容
立即开通
举报理由选择
确定
高考直通车官网

哇哦!快加入高考直通车APP,发现更多精彩内容,与学霸一起交流学习吧!